Art. 1 Gegenstand
Diese Verordnung regelt die Mindesteigenmittel zur Unterlegung von Kreditrisiken.
952.033.21
vom 6. März 2024 (Stand am 19. Mai 2025)
Die Eidgenössische Finanzmarktaufsicht (FINMA),
gestützt auf die Artikel 50 Absatz 4, 57 Absatz 2, 58 Absatz 2, 59 Absatz 1,
59a Absatz 3, 59b Absatz 5, 61 Absatz 3, 62 Absatz 7, 63 Absatz 4, 63a Absatz 3, 69 Absatz 4, 70b Absatz 3, 72b Absatz 8, 72c Absatz 4, 72d Absatz 2, 72g,
77 Absatz 5, 77b Absatz 4, 77g Absatz 1, 77h Absatz 2 und 77j Absatz 3 der Eigenmittelverordnung vom 1. Juni 20121 (ERV),
verordnet:
Diese Verordnung regelt die Mindesteigenmittel zur Unterlegung von Kreditrisiken.
In dieser Verordnung gelten als:
1 Bei Anwendung des Standardansatzes zur Berechnung der Kreditäquivalente von Derivaten (Standardised Approach for Measuring Counterparty Credit Risk, SA-CCR) ist für jedes Netting-Set ein separates Kreditäquivalent (Exposure at Default, EAD) zu berechnen.
2 In den folgenden Fällen ist das Kreditäquivalent auf der Stufe der Margenvereinbarung zu berechnen:
3 Findet keine Verrechnung statt, so ist das Kreditäquivalent für jeden einzelnen Kontrakt zu berechnen. In diesem Fall ist der Kontrakt wie ein Netting-Set zu behandeln.
4 Als Netting-Set gilt eine Gruppe von zwischen zwei Parteien bestehenden Kontrakten, welche die Voraussetzungen nach Artikel 4 erfüllen.
1 Forderungen und Verbindlichkeiten aus Verträgen mit Novationsklauseln oder anderen Formen der bilateralen Verrechnung, einschliesslich Close-Out-Netting, dürfen unter folgenden Voraussetzungen verrechnet werden:
2 Forderungen und Verbindlichkeiten aus Verträgen mit Ausstiegsklauseln (Walkaway-Klauseln) können nicht verrechnet werden.
1 Das Kreditäquivalent wird nach der Formel in Anhang 1 Ziffer 1 berechnet.
2 Bei Derivatgeschäften mit Margenausgleich darf das Kreditäquivalent nach oben begrenzt werden durch das entsprechende Kreditäquivalent für Derivatgeschäfte ohne Margenausgleich. Alternativ dürfen Derivatgeschäfte mit Margenausgleich wie solche Geschäfte ohne Margenausgleich behandelt werden.
3 In folgenden Fällen darf das Kreditäquivalent gleich null gesetzt werden:
4 Für Kreditderivate, durch die die Bank Kreditschutz verkauft und die nicht Bestandteil eines Netting-Sets oder einer Margenvereinbarung sind, darf das Kreditäquivalent auf die Summe der ausstehenden Prämien beschränkt werden.
5 In den Fällen nach Absatz 3 Buchstabe a und nach Absatz 4 darf die Bank diese Derivatgeschäfte von ihren rechtlichen Netting-Sets trennen und sie als einzelne Positionen ohne Verrechnung und ohne Margenausgleich behandeln.
1 Für Derivatgeschäfte ohne Margenausgleich berechnen sich die aufsichtsrechtlichen Wiederbeschaffungskosten (Replacement Costs, RC) nach der Formel in Anhang 1 Ziffer 2.
2 Für Derivatgeschäfte mit Margenausgleich berechnen sich die aufsichtsrechtlichen Wiederbeschaffungskosten nach der Formel in Anhang 1 Ziffer 3.
Sind nicht alle Derivatgeschäfte eines Netting-Sets in der Margenvereinbarung eingeschlossen oder werden die Transaktionen im Netting-Set durch mehrere verschiedene Margenvereinbarungen besichert, so berechnen sich die aufsichtsrechtlichen Wiederbeschaffungskosten nach der Formel in Anhang 1 Ziffer 3; dabei sind zur Bestimmung der Schwellenwerte (Thresholds, TH) und Mindesttransferbeträge (Minimum Transfer Amounts, MTA) die Schwellenwerte beziehungsweise Mindesttransferbeträge sämtlicher Margenvereinbarungen zu summieren, die die Transaktionen im Netting-Set besichern.
1 Umfasst eine Margenvereinbarung mehrere Netting-Sets oder sind Sicherheiten in Bezug auf mehrere Netting-Sets anrechenbar, so erfolgt die Berechnung der Wiederbeschaffungskosten abhängig davon, ob der Nettowert der Sicherheiten (Net Collateral Value, CN) (Art. 9) positiv oder negativ ist.
2 Bei positivem Nettowert der Sicherheiten berechnen sich die Wiederbeschaffungskosten nach der Formel in Anhang 1 Ziffer 4.
3 Bei negativem Nettowert der Sicherheiten berechnen sich die Wiederbeschaffungskosten nach der Formel in Anhang 1 Ziffer 5.
1 Der Nettowert der Sicherheiten berechnet sich nach der Formel in Anhang 1 Ziffer 6.
2 Bei Derivatgeschäften ohne Margenausgleich ist dabei für die Anpassung der Sicherheitsabschläge (Haircuts, H) nach Artikel 95 für NR die Laufzeit der Transaktion mit der längsten Laufzeit zu verwenden, höchstens jedoch 250 Tage; die maximale Höhe eines angepassten Sicherheitsabschlags ist auf 100 Prozent begrenzt. Bei Derivatgeschäften mit Margenausgleich ist für die Anpassung der Sicherheitsabschläge nach Artikel 95 für TM die Nachschuss-Risikodauer (Art. 15) zu verwenden.
3 Der Nettowert der marktpreisunabhängigen Sicherheiten (Net Independent Collateral Amount, NICA) entspricht dem Nettobetrag der von der Gegenpartei gestellten marktpreisunabhängigen Sicherheiten abzüglich der durch die Bank gestellten marktpreisunabhängigen Sicherheiten.
4 Als marktpreisunabhängige Sicherheiten gelten:
5 Durch die Bank gestellte Sicherheiten müssen nicht berücksichtigt werden, wenn sie gegenüber der Gegenpartei keinem Insolvenzrisiko ausgesetzt sind.
1 Der potenzielle Wertanstieg (Potential Future Exposure, PFE) entspricht dem Produkt aus dem Multiplikator nach Anhang 1 Ziffer 7 und dem aggregierten Wertaufschlag des Netting-Sets nach dem 3. Abschnitt.
2 Umfasst eine Margenvereinbarung mehrere Netting-Sets oder sind Sicherheiten in Bezug auf mehrere Netting-Sets anrechenbar, so ist für jedes Netting-Set ein separater potenzieller Wertanstieg zu berechnen. Die berechneten Werte sind zu addieren.
3 Im Fall nach Absatz 2 sind die Sicherheiten wie folgt den einzelnen Netting-Sets zuzuordnen:
4 Unter den Voraussetzungen von Absatz 2 kann alternativ zu Absatz 3 der potenzielle Wertanstieg auf der Stufe der Margenvereinbarung berechnet werden, indem für jedes Netting-Set ein separater Wertaufschlag SN berechnet, die Summe der Wertaufschläge gebildet und auf diese der aggregierte Multiplikator, berechnet nach der Formel in Anhang 1 Ziffer 8, angewendet wird.
1 Der Wertaufschlag für ein Derivat basiert auf dem skalierten effektiven Nominalwert (SEN).
2 Der SEN ist für jedes einzelne Derivatgeschäft zu berechnen. Er entspricht dem Produkt von:
3 Für ein einzelnes Derivatgeschäft ohne Verrechnung entspricht der Wertaufschlag dem absoluten Betrag des SEN.
1 Jedes Derivatgeschäft ist entsprechend seinen Basiswerten mindestens einer der folgenden Risikofaktorkategorien zuzuordnen:
2 Die Zuordnung erfolgt auf Basis desjenigen Basiswerts, der der primäre Risikotreiber ist. Hat ein Derivatgeschäft nur einen Basiswert, so erfolgt die Zuordnung direkt auf dessen Basis. Hat es mehrere Basiswerte, so bestimmt sich der primäre Risikotreiber aufgrund der Sensitivitäten des Derivats gegenüber diesen Basiswerten und der Volatilität dieser Basiswerte.
3 Komplexe Derivatgeschäfte mit mehreren gleichwertigen Risikotreibern müssen mehreren Risikofaktorkategorien zugeordnet werden. In diesem Fall ist für jede Risikofaktorkategorie ein separater SEN zu berechnen und in die Berechnung des potenziellen Wertanstiegs einzubeziehen.
1 Der angepasste Nominalwert ist für jedes Derivatgeschäft zu berechnen. Er entspricht:
2 Findet bei Währungsderivaten die Transaktion zwischen zwei Fremdwährungen statt, so gilt der grössere der beiden Beträge nach Umrechnung in Franken als angepasster Nominalwert.
3 Erzeugt die Struktur des Derivatgeschäfts eine Hebelwirkung, so gilt der Nominalwert einer gleichwertigen Transaktion ohne Hebelwirkung als angepasster Nominalwert.
4 Handelt es sich beim Nominalwert um eine Funktion von Basiswerten, so sind für die Berechnung des angepassten Nominalwerts die aktuellen Marktwerte dieser Basiswerte zu verwenden.
5 Nominalwerte in Fremdwährungen müssen zum Kassakurs in Franken umgerechnet werden.
1 Der Maturitätsfaktor berechnet sich:
2 Die Restlaufzeit zur Berechnung des Maturitätsfaktors nach Absatz 1 Buchstabe a ist die längste Zeitdauer, innerhalb deren vertragliche Zahlungen aus der Transaktion fällig werden können. Ist eine Transaktion so gestaltet, dass an bestimmten Daten alle ausstehenden Forderungen und Verpflichtungen glattgestellt werden und die Kontraktparameter so angepasst werden, dass der Marktwert des Geschäfts an diesen Daten null ist, dann gilt als Restlaufzeit die Zeit bis zum nächsten solchen Datum.
3 Der Maturitätsfaktor von Derivatgeschäften mit täglicher Abrechnung kann nach Absatz 1 Buchstabe a oder b berechnet werden. Wird er nach Absatz 1 Buchstabe a berechnet, so ist die Maturität (Maturity, M) gleich zehn Geschäftstage.
4 Umfasst eine Margenvereinbarung mehrere Netting-Sets, so ist der Maturitätsfaktor für die Geschäfte in diesen Netting-Sets nach Absatz 1 Buchstabe a zu berechnen.
1 Die Nachschuss-Risikodauer (Margin Period of Risk, MPOR) ist der Zeitraum vom letzten Austausch von Sicherheiten zur Absicherung eines Netting-Sets, bestehend aus Geschäften mit einer Gegenpartei, deren Ausfall angenommen wird, bis zur Glattstellung dieser Geschäfte und der Wiederabsicherung des daraus resultierenden Marktrisikos.
2 Die Bank muss die MPOR für das Netting-Set schätzen. Liegt die Schätzung tiefer als die folgenden Untergrenzen, so sind diese als MPOR zu verwenden:
3 Erfüllt ein Netting-Set eine der Voraussetzungen nach Artikel 96 Absatz 1 Buchstabe c oder Absatz 2, so richtet sich die Untergrenze für die MPOR nach diesen Bestimmungen, unter Vorbehalt des folgenden Absatzes.
4 Kommt es infolge der Einstellung eines bisher verwendeten Referenzzinssatzes zu einer zeitweiligen Illiquidität von Derivaten oder Sicherheiten, die sich auf den neuen Referenzzinssatz beziehen, so kann längstens für ein Jahr nach Wegfall des alten Referenzzinssatzes auf eine Erhöhung der Mindesthaltedauer auf 20 Geschäftstage für Netting-Sets nach Artikel 96 Absatz 1 Buchstabe c Ziffer 2 verzichtet werden.
1 Für jedes Derivatgeschäft ist ein aufsichtsrechtliches Delta
zu berechnen.
2 Für Optionen berechnet sich das aufsichtsrechtliche Delta nach der Formel in Anhang 1 Ziffer 12.
3 Für Tranchen aus Collateralized Debt Obligations (CDO-Tranchen) berechnet sich das aufsichtsrechtliche Delta:
4 Als CDO-Tranche gelten alle Kreditderivate, bei denen sich der Kreditschutz auf eine Verlusttranche eines Pools von Referenzschuldnern erstreckt, insbesondere Nth‑to-Default-Swaps und Verbriefungstranchen.
5 Für übrige Derivate ist das aufsichtsrechtliche Delta:
Die Skalierungsfaktoren, Korrelationen und Volatilitäten pro Basiswert richten sich nach der Tabelle in Anhang 1 Ziffer 15.
1 Der Skalierungsfaktor bestimmt sich nach der Risikofaktorkategorie, der das Derivat zugeordnet ist.
2 Der nach Absatz 1 bestimmte Skalierungsfaktor wird:
1 Hat ein nicht lineares Derivat das gleiche Auszahlungsprofil wie eine Kombination von mehreren europäischen Optionen, so ist das Derivat in die einzelnen europäischen Optionen aufzuteilen. Diese sind als separate Kontrakte zu behandeln, wobei auf eine entsprechende Aufteilung von Zinscaps in einzelne Caplets beziehungsweise von Zinsfloors in einzelne Floorlets verzichtet werden kann.
2 Werden dennoch Zinscaps in einzelne Caplets beziehungsweise Zinsfloors in einzelne Floorlets aufgeteilt, so entsprechen die Parameter S und T für jedes einzelne Caplet oder Floorlet der Dauer in Jahren vom Stichtag der Berechnung des Kreditäquivalents bis zum Anfangsdatum der Couponperiode und der Parameter E der Dauer in Jahren vom Stichtag der Berechnung des Kreditäquivalents bis zum Enddatum der Couponperiode.
3 Für binäre Optionen ist der SEN wie folgt zu berechnen:
1 Der aggregierte Wertaufschlag eines Netting-Sets berechnet sich wie folgt:
2 Die Wertaufschläge von Derivaten in Form von Basistransaktionen und Volatilitätstransaktionen sind nach Artikel 27 zu aggregieren. Die für diese Transaktionen zu berechnenden Wertaufschläge sind zum Wertaufschlag nach Absatz 1 hinzuzuzählen.
Sind nicht alle Derivatgeschäfte eines Netting-Sets in der Margenvereinbarung eingeschlossen oder werden die Transaktionen im Netting-Set durch mehrere verschiedene Margenvereinbarungen besichert, so berechnet sich der aggregierte Wertaufschlag des Netting-Sets wie folgt:
1 Der Wertaufschlag für die der Risikofaktorkategorie Zinsen zugeordneten Derivate des Netting-Sets wird wie folgt berechnet:
2 Alternativ zur partiellen Verrechnung können pro Währung auch die absoluten Beträge von SEN1, SEN2 und SEN3 addiert werden.
3 Die währungsspezifischen Wertaufschläge werden addiert.
4 Inflationsderivate können als Zinsderivate behandelt werden. Bei der Aggregation der Wertaufschläge dürfen Inflationsderivate der gleichen Währung untereinander, nicht aber mit den übrigen Zinsderivaten verrechnet werden. Der für Inflationsderivate berechnete Wertaufschlag pro Währung ist zum Wertaufschlag pro Währung der übrigen Zinsderivate zu addieren.
Der Wertaufschlag für die der Risikofaktorkategorie Währungen zugeordneten Derivate des Netting-Sets wird wie folgt berechnet:
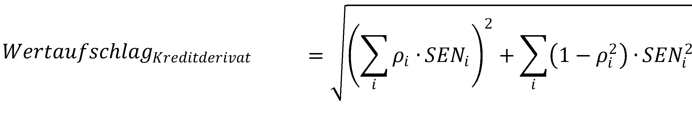
Der Wertaufschlag für die der Risikofaktorkategorie Kreditderivate zugeordneten Derivate des Netting-Sets wird wie folgt berechnet:
Der Wertaufschlag für die der Risikofaktorkategorie Aktien zugeordneten Derivate des Netting-Sets wird wie folgt berechnet:
1 Für die Berechnung des Wertaufschlags für die der Risikofaktorkategorie Rohstoffe zugeordneten Derivate des Netting-Sets sind die Wertaufschläge nach Rohstoffgruppe zu berechnen. Die Rohstoffderivate sind den folgenden Gruppen zuzuordnen:
2 Banken müssen die Rohstoffgruppen anhand von Rohstofftypen und entsprechend ihrer Geschäftstätigkeit angemessen weiter unterteilen. Bei wesentlichen Basisrisiken sind diese Rohstofftypen weiter zu verfeinern.
3 Der Wertaufschlag pro Rohstoffgruppe wird wie folgt berechnet:
4 Die nach Absatz 3 Buchstabe b berechneten SEN werden addiert.
1 Basistransaktionen können untereinander verrechnet werden, wenn sie sich auf die gleiche Basis von Risikofaktoren beziehen und auf die gleiche Währung lauten. Für jede Basis wird ein separater Wertaufschlag berechnet und zu den übrigen Wertaufschlägen addiert.
2 Zins-Basistransaktionen, die auf die gleiche Basis referenzieren, insbesondere Zinsswaps mit beidseitig variablen Zinssätzen, werden in folgender Reihenfolge verrechnet:
3 Alternativ zur partiellen Verrechnung können pro Währung auch die absoluten Beträge von SEN1, SEN2 und SEN3 addiert werden.
4 Übrige Basistransaktionen mit gleicher Basis sind vollständig zu verrechnen. Der Wertaufschlag pro Basis entspricht dem absoluten Betrag des innerhalb dieser Basis vollständig verrechneten SEN.
5 Volatilitätstransaktionen können mit anderen Volatilitätstransaktionen verrechnet werden. Die Verrechnung erfolgt nach den Regeln für die Verrechnung von Transaktionen innerhalb der verschiedenen Risikofaktorkategorien nach den Artikeln 22–26.
1 Derivatpositionen von Banken der Kategorie 3 nach Anhang 3 der Bankenverordnung vom 30. April 20142 (BankV) sind im Sinn von Artikel 58 Absatz 1 Buchstabe b ERV unwesentlich, wenn:
2 Steigt bei einer Bank der Kategorie 3, die den vereinfachten Standardansatz (VSA‑CCR) oder den Marktwertansatz verwendet, der Anteil der nach Risiko gewichteten Positionen in Derivaten auf über 3 Prozent, aber nicht höher als 5 Prozent der Gesamtheit der nach Risiko gewichteten Positionen nach Artikel 42a ERV, so darf sie den vereinfachten Standardansatz oder den Marktwertansatz weiterverwenden, wenn sie mittels Analyse oder Berechnung zeigen kann, dass:
3 Banken, welche die Voraussetzungen nach Absatz 1 oder 2 nicht mehr erfüllen, müssen innert Jahresfrist den Standardansatz anwenden.
1 Bei Anwendung des vereinfachten Standardansatzes gelten für die Berechnung der Kreditäquivalente von Derivaten die Bestimmungen über den Standardansatz nach Artikel 57 ERV und nach dem 2. Kapitel der vorliegenden Verordnung, unter Vorbehalt der nachfolgenden Abweichungen.
2 In Abweichung von Artikel 3 Absatz 2 und Artikel 6 Absatz 2 werden alle Derivatgeschäfte als Derivatgeschäfte ohne Margenausgleich nach Artikel 6 Absatz 1 behandelt.
In Abweichung von Artikel 19 Absatz 3 kann der Wertaufschlag für binäre Optionen nach den Artikeln 11 und 19 Absatz 1 berechnet werden.
Verfügt die Bank bei der Berechnung des Maturitätsfaktors nur über die Informationen zu den einzelnen Laufzeitbändern, nicht jedoch über die Restlaufzeit selbst, so gilt in Abweichung von Artikel 14 Absatz 1 Buchstabe a und Anhang 1 Ziffer 10 als Maturität M derjenige Wert, der der Obergrenze des Laufzeitbands entspricht. Für das oberste Laufzeitband sind 20 Jahre als Maturität anzusetzen.
1 In Abweichung von Artikel 16 berechnet sich das aufsichtsrechtliche Delta wie folgt:
2 Die Abweichung nach Absatz 1 Buchstabe a entfällt bei denjenigen Risikofaktorkategorien, bei denen die einzige Vereinfachung darin besteht, dass alle Positionen in der Risikofaktorkategorie als Derivatgeschäfte ohne Margenausgleich nach Artikel 29 Absatz 2 behandelt werden.
1 In Abweichung von Artikel 18 Absatz 2 Buchstabe a muss der Skalierungsfaktor nicht halbiert werden für Basistransaktionen mit den Basiswerten Währungen, Aktien, Kreditderivate und Rohstoffe.
2 In Abweichung von Artikel 13 Absatz 1 Buchstabe a und Anhang 1 Ziffer 9 kann für Zins- und Kreditderivate die Startzeit S gleich null gesetzt und als Endzeit E die Restlaufzeit verwendet werden.
3 In Abweichung von Artikel 13 Absatz 1 Buchstabe f und Artikel 18 Absatz 2 Buchstabe b gilt für Volatilitätstransaktionen:
1 In Abweichung von Artikel 20 gelten für die Aggregation der Wertaufschläge bei Positionen einer Risikofaktorkategorie, die nicht nach dem Standardansatz behandelt werden, folgende Annahmen:
2 Die Abweichung nach Absatz 1 entfällt bei denjenigen Risikofaktorkategorien, bei denen die einzige Vereinfachung darin besteht, dass alle Positionen in der Risikofaktorkategorie als Derivatgeschäfte ohne Margenausgleich nach Artikel 29 Absatz 2 behandelt werden.
In Abweichung von Artikel 17 können folgende aufsichtsrechtlichen Parameter verwendet werden:
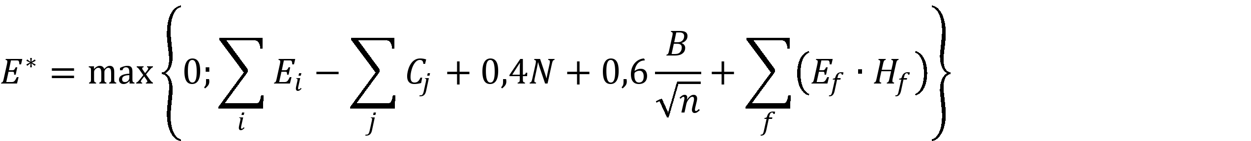
1 Bei Anwendung des Marktwertansatzes ist für jedes Netting-Set nach Artikel 3 Absatz 4 das Kreditäquivalent nach der Formel in Anhang 2 Ziffer 1 zu berechnen.
2 Für Derivatgeschäfte, deren Wiederbeschaffungswert nicht positiv werden kann und die nicht Bestandteil eines Netting-Sets oder einer Margenvereinbarung sind, darf das Kreditäquivalent gleich null gesetzt werden.
3 Für Kreditderivate, durch die die Bank Kreditschutz verkauft und die nicht Bestandteil eines Netting-Sets oder einer Margenvereinbarung sind, darf das Kreditäquivalent auf die Summe der ausstehenden Prämien beschränkt werden.
4 Durch die Bank gestellte Sicherheiten müssen nicht berücksichtigt werden, wenn sie gegenüber der Gegenpartei keinem Insolvenzrisiko ausgesetzt sind.
1 Die Derivate sind anhand ihres Basiswerts folgenden Kategorien zuzuordnen:
2 Lässt sich ein Derivat aufgrund seines Basiswerts nicht eindeutig einer der Kategorien nach den Buchstaben a–g zuordnen, so ist es wie ein Derivat auf übrige Rohstoffe zu behandeln.
Der Wertaufschlag für Derivate berechnet sich durch Multiplikation des Satzes für den Wertaufschlag (Art. 39) mit dem Nominalwert des Derivats. Erzeugt die Struktur des Derivatgeschäfts eine Hebelwirkung auf den Nominalwert oder wird dieser dadurch vergrössert, so muss der Satz für den Wertaufschlag mit dem tatsächlichen Nominalwert multipliziert werden, unter Berücksichtigung der Hebelwirkung oder der Vergrösserung.
1 Der Satz für den Wertaufschlag bestimmt sich in Abhängigkeit vom Basiswert des Derivats, von dessen Restlaufzeit sowie davon, ob ein täglicher Margenausgleich stattfindet oder nicht. Er richtet sich nach der Tabelle in Anhang 2 Ziffer 2.
2 Für Derivate mit täglichem Margenausgleich gelten die reduzierten Sätze für den Wertaufschlag nach Anhang 2 Ziffer 2, wenn folgende Voraussetzungen erfüllt sind:
3 Bei First-to-Default-Swaps bestimmt sich der Satz für den Wertaufschlag in Abhängigkeit von der riskantesten im Portfolio enthaltenen Referenzforderung. Für Second- und Nth-to-Default-Swaps ist die zweitriskanteste beziehungsweise die N-t-riskanteste Referenzforderung massgebend.
4 Für Derivate, bei denen der Nominalwert mehrfach ausgetauscht wird, sind die Sätze für den Wertaufschlag mit der Anzahl der im Rahmen des Kontrakts noch zu leistenden Zahlungen zu multiplizieren.
5 Ist ein Derivat so strukturiert, dass an bestimmten Daten alle ausstehenden Forderungen und Verpflichtungen glattgestellt werden und die Kontraktparameter so angepasst werden, dass der Marktwert des Derivats an diesen Daten null ist, dann gilt als Restlaufzeit die Zeit bis zum nächsten solchen Datum. Bei Zinsderivaten mit einer Restlaufzeit von über einem Jahr, die diese Kriterien erfüllen, besteht für den Satz für den Wertaufschlag eine Untergrenze von 0,5 Prozent.
6 Für Floating/Floating-Zinsswaps in einer einzigen Währung beträgt der Satz für den Wertaufschlag null Prozent.
1 Der Netto-Wertaufschlag für ein Netting-Set berechnet sich nach der Formel in Anhang 2 Ziffer 3.
2 Bei einem einzelnen Kontrakt entspricht der Netto-Wertaufschlag dem Wertaufschlag des Derivats.
1 Die Bewilligungsvoraussetzungen für die Anwendung des Expected-Positive-Exposure-Modellansatzes (EPE-Modellansatz) richten sich nach Ziffer 53 des Basler Mindeststandards zur Berechnung der nach Risiko gewichteten Positionen für Kreditrisiken (CRE) in der Fassung nach Anhang 1 ERV.
2 Bei Anwendung des EPE-Modellansatzes richtet sich die Berechnung der Kreditäquivalente von Derivaten und Wertpapierfinanzierungsgeschäften nach Ziffer 53 CRE.
1 Der Standardansatz darf zur Berechnung der Kreditäquivalente von Derivaten mit dem vereinfachten Standardansatz oder dem EPE-Modellansatz kombiniert werden.
2 Der Marktwertansatz darf mit keinem anderen Ansatz kombiniert werden.
3 Bei der Berechnung der Kreditäquivalente von Derivaten auf konsolidierter Basis ist auch eine Kombination der in Absatz 1 genannten Ansätze mit dem Marktwertansatz möglich, sofern dieser Ansatz von zu konsolidierenden Gruppengesellschaften des Finanzbereichs mit auf konsolidierter Basis unwesentlichen Derivatpositionen angewendet wird.
1 Die nach Risiko gewichteten Positionen eines von der Bank im Bankenbuch gehaltenen Anteils an verwalteten kollektiven Vermögen (VKV) entsprechen dem VKV‑Anteil in Prozent, multipliziert mit den gesamten nach Risiko gewichteten Positionen des VKV.
2 Das Risikogewicht für einen VKV-Anteil beträgt höchstens 1250 Prozent.
1 Für die Anwendung des Look-Through-Ansatzes (LTA) müssen folgende Voraussetzungen erfüllt sein:
2 Die Voraussetzung nach Absatz 1 Buchstabe a gilt als erfüllt, wenn die Bank die nach Risiko gewichteten Positionen folgender VKV-Anteile selber und anhand der aktuellsten Daten berechnet:
3 Für die Überprüfung nach Absatz 1 Buchstabe b ist der letzte verfügbare Bericht über das VKV im Zeitpunkt der Eigenmittelberechnung zu verwenden. Es ist weder eine Rechnungsprüfung noch eine aufsichtsrechtliche Prüfung der Berichte über das VKV erforderlich.
4 Verfügt die Bank nicht über die notwendigen Informationen zur Bestimmung der Risikogewichte nach dem LTA, so kann sie die Risikogewichte für ihre VKV-Anteile nach dem LTA durch einen Dritten bestimmen lassen. Sie muss die vom Dritten bestimmten Risikogewichte um 20 Prozent erhöhen.
5 Erfüllen nur Teile der einem VKV zugrunde liegenden Positionen die Voraussetzungen zur Anwendung des LTA, so darf dieser Ansatz nur auf diese Positionen angewendet werden. Auf die übrigen Positionen ist der Fallback-Ansatz (FBA) oder der vereinfachte Ansatz (VA) anzuwenden, nach den für den jeweiligen Ansatz geltenden Voraussetzungen.
1 Die den VKV-Anteilen zugrunde liegenden Positionen sind nach dem LTA zur Berechnung der nach Risiko gewichteten Positionen zur Unterlegung des Kreditrisikos und des Gegenpartei-Kreditrisikos so zu behandeln, wie wenn sie direkt von der Bank gehalten würden.
2 Die Unterlegung des CVA-Risikos dieser Positionen mit Mindesteigenmitteln erfolgt im Rahmen der Berechnung der nach Risiko gewichteten Positionen für das Gegenpartei-Kreditrisiko, indem die zugehörigen Kreditäquivalente vor der Risikogewichtung mit dem Faktor 1,5 multipliziert werden.
1 Die Bank kann den mandatsbasierten Ansatz (MBA) anwenden, wenn:
2 Die Informationen können aus dem massgebenden Vertrag, aus nationaler Regulierung oder aus sonstigen Offenlegungsberichten des VKV stammen.
3 Erfüllen nur Teile der einem VKV zugrunde liegenden Positionen die Voraussetzungen zur Anwendung des MBA, so darf dieser Ansatz nur auf diese Positionen angewendet werden. Auf die übrigen Positionen ist der FBA oder der VA anzuwenden, nach den für den jeweiligen Ansatz geltenden Voraussetzungen.
Die nach Risiko gewichteten Positionen des VKV entsprechen nach dem MBA der Summe der drei folgenden Grössen:
1 Für die Risikogewichtung der Bilanzpositionen des VKV ist anzunehmen, dass im grösstmöglichen Umfang in diejenigen Vermögenswerte investiert wird, die unter allen gemäss Mandat oder Regulierung erlaubten Anlagen die höchsten nach Risiko gewichteten Positionen erzeugen.
2 Kann dabei einer hypothetischen Position mehr als nur ein Risikogewicht zugeordnet werden, so ist das höchste anwendbare Risikogewicht zu verwenden.
1 Die Berechnung der nach Risiko gewichteten Positionen für Ausserbilanzgeschäfte und für Derivate richtet sich sinngemäss nach Artikel 48.
2 Als Positionen sind die Nominalwerte der Ausserbilanzgeschäfte und der den Derivaten zugrunde liegenden Basiswerte zu verwenden.
3 Ist der Basiswert des Derivats unbekannt, so ist der maximale Nominalwert der Derivatposition zu verwenden. Ist dieser unbekannt, so ist er konservativ durch den gemäss Mandat maximal zulässigen Nominalwert von Derivaten zu schätzen.
1 Die Kreditäquivalente für das Gegenpartei-Kreditrisiko aus Derivatpositionen werden wie folgt berechnet und nach Risiko gewichtet:
2 Bei VKV können Derivate bei der Berechnung der nach Risiko gewichteten Positionen ausgenommen werden, wenn:
1 Führt die Prüfung der Voraussetzungen für den LTA oder den MBA zu einem unverhältnismässigen Aufwand, so kann der Fallback-Ansatz (FBA) angewendet werden.
2 Das Risikogewicht für einen VKV-Anteil nach dem FBA beträgt 1250 Prozent.
1 Die Banken nach Artikel 59a Absatz 2 ERV können den vereinfachten Ansatz (VA) als Alternative zum FBA anwenden.
2 Positionen in Bezug auf VKV von Banken der Kategorie 3 nach Anhang 3 BankV3 sind im Sinn von Artikel 59a Absatz 2 Buchstabe a ERV unwesentlich, wenn der Buchwert der VKV-Anteile weniger als 1 Prozent des ohne Berücksichtigung der VKV-Anteile berechneten Totals aller übrigen nach Risiko gewichteten Positionen beträgt.
Für die Anwendung des VA müssen folgende Voraussetzungen erfüllt sein:
Das Risikogewicht für einen VKV-Anteil beträgt:
1 Die Berechnung der nach Risiko gewichteten Positionen eines von der Bank im Bankenbuch gehaltenen Anteils an einem VKV, das einen Anteil an einem zweiten VKV hält, richtet sich nach den Abschnitten 1–5.
2 Die nach Risiko gewichteten Positionen für einen vom zweiten VKV gehaltenen Anteil an einem dritten VKV dürfen nur dann nach dem LTA berechnet werden, wenn der LTA auch zur Berechnung der nach Risiko gewichteten Positionen für das zweite VKV angewendet wurde. Ansonsten ist der FBA anzuwenden.
3 Die Regelung nach Absatz 2 gilt sinngemäss für weitere VKV.
4 Banken, die den VA anwenden, dürfen in Abweichung von Absatz 2 bei Private-Equity-Fonds, die direkt in viele weitere Private-Equity-Fonds investieren, den MBA anwenden, ohne dass vorgängig auf den Anteil am investierenden Private-Equity-Fonds der LTA angewendet werden muss, wenn:
5 Wird nach Absatz 4 der MBA auf Private-Equity-Fonds angewendet, so gilt Folgendes:
1 Für die Berechnung der Mindesteigenmittel für Verbriefungen gelten die Ziffern 40–45 CRE in der Fassung nach Anhang 1 ERV, soweit diese Verordnung nichts anderes bestimmt. Zu beachten sind dabei die Ziffern 32.38–32.59 des Basler Mindeststandards zum aufsichtsrechtlichen Prüfprozess (SRP) in der Fassung nach Anhang 1 ERV.
2 Die spezielle Behandlung von Kreditumrechnungsfaktoren im Zusammenhang mit Barvorschüssen des Forderungsverwalters nach Ziffer 40.20 zweiter Punkt CRE ist nicht zulässig.
Eine Bank, die die operativen Anforderungen nach den Ziffern 42.8–42.10 CRE in der Fassung nach Anhang 1 ERV erfüllt, kann den auf externen Ratings basierenden Ansatz für Verbriefungen (External Ratings-based Approach for Securitisations, SEC-ERBA) anwenden, wenn sie:
1 Sehen die Basler Mindeststandards die Konsultation der Aufsichtsbehörde vor, so muss die Bank ihre Prüfgesellschaft mit einer Prüfung beauftragen. In den folgenden Fällen muss sie auch die FINMA informieren:
2 Bei der Anwendung des auf interner Beurteilung basierenden Ansatzes für Verbriefungen (Internal Assessment Approach for Securitisations, SEC-IAA) ist Absatz 1 nicht anwendbar.
3 Erhält die Prüfgesellschaft Kenntnis von möglichen Mängeln in bankinternen Prozessen nach Ziffer 43.4 oder 44.8 CRE, so informiert sie umgehend die FINMA.
In Präzisierung der Ausführungen nach Ziffer 40.5 CRE in der Fassung nach Anhang 1 ERV müssen Positionen, die durch erneutes Tranchieren einer einzelnen Verbriefung erzeugt werden, nicht als Wiederverbriefung behandelt werden, wenn die folgenden Voraussetzungen erfüllt sind:
1 Bei der Berücksichtigung risikomindernder Massnahmen müssen beide an der betreffenden Transaktion beteiligten Banken die entsprechenden Eigenmittelanforderungen einhalten.
2 Vermittelt eine Bank ein Repo- oder repoähnliches Geschäft zwischen einem Kunden und einem Dritten und garantiert sie gegenüber dem Kunden dafür, dass der Dritte seine Pflichten erfüllt, so muss sie die Eigenmittelanforderungen so erfüllen, wie wenn sie selbst die Hauptverpflichtete wäre.
3 Wendet eine Bank auf eine ihrer Positionen risikomindernde Massnahmen an, so entspricht die Eigenmittelanforderung für diese Position höchstens der Anforderung für die sonst identische Position ohne diese Massnahmen.
1 Pro Position oder Teilposition kann höchstens eine risikomindernde Massnahme berücksichtigt werden.
2 Berücksichtigt das Risikogewicht einer Position bereits eine risikomindernde Mass-nahme, so darf diese nicht nochmals angewendet werden.
Setzt sich die risikomindernde Massnahme aus Teilen mit unterschiedlichen Laufzeiten zusammen, so ist die Absicherung entsprechend den Laufzeiten aufzuteilen.
Unabhängig davon, ob eine Bank auf das Emittenten- oder das emissionsspezifische Rating abstellt, ist sicherzustellen, dass das Rating alle Zahlungen berücksichtigt, die der Bank seitens des Emittenten zustehen.
1 Die Absicherung einer Position durch risikomindernde Massnahmen, deren Restlaufzeit kürzer ist als diejenige der Position (Laufzeitinkongruenz), darf ausser im einfachen Ansatz (8. Abschnitt) zur Reduktion der Eigenmittelanforderungen berücksichtigt werden, sofern:
2 Die Absicherung wird im Fall einer Laufzeitinkongruenz nach Anhang 3 Ziffer 1 berechnet.
3 Als Restlaufzeit der abgesicherten Position ist die Zeitspanne zu verwenden, nach deren Ablauf die Gegenpartei ihre Verpflichtungen, unter allfälliger Inanspruchnahme von aufschiebenden Fristen, spätestens erfüllt haben muss. Als Restlaufzeit der Absicherung muss die kürzest mögliche Restlaufzeit unter Berücksichtigung impliziter Optionen und Kündigungsrechte verwendet werden.
Eine risikomindernde Massnahme kann bei der Berechnung der nach Risiko gewichteten Positionen berücksichtigt werden, wenn:
1 Die gesetzliche oder vertragliche Verrechnung von bilanziellen Forderungen und Verbindlichkeiten, in Form von an eine Gegenpartei gewährten Krediten und von dieser Gegenpartei entgegengenommenen Einlagen, ist zulässig, wenn die allgemeinen Voraussetzungen nach Artikel 65 erfüllt sind und die Bank:
2 Erfüllt die Bank diese Voraussetzungen, so kann sie die zu gewichtende Position auf Basis des Nettosaldos der Kredite und Einlagen bestimmen. Der Nettosaldo berechnet sich sinngemäss nach Anhang 3 Ziffer 2. Die Sicherheitsabschläge He und Hc sind in diesem Fall null, allfällige Währungs- und Laufzeitinkongruenzen sind jedoch zu berücksichtigen.
3 Der Sicherheitsabschlag für Währungsinkongruenzen richtet sich bei täglicher Neubewertung nach Artikel 94 Absatz 2. Bei übertägiger Neubewertung gilt Artikel 95 Buchstabe a sinngemäss, wobei die Mindesthaltedauer 10 Geschäftstage beträgt.
1 Als risikomindernd anerkannt sind Garantien der folgenden Gegenparteien, sofern deren Risikogewicht nicht grösser ist als dasjenige des Referenzschuldners:
2 Ebenfalls als risikomindernd anerkannt sind Garantien juristischer Personen mit externem Rating, einschliesslich Mutter- und Tochtergesellschaften oder Konzerngesellschaften, die nicht unter Absatz 1 fallen, sofern das Risikogewicht dieser Personen nicht grösser ist als dasjenige des Referenzschuldners. Für die Absicherung von Verbriefungspositionen sind die Garantien nur anerkannt, wenn diese Personen:
1 Garantien sind als risikomindernd anerkannt, wenn sie zusätzlich zu den allgemeinen Voraussetzungen nach Artikel 65 folgende Voraussetzungen erfüllen:
2 Haftet der Garantiegeber nur für die Kapitalrückzahlung der zugrunde liegenden Referenzforderung, so müssen Zinsen und alle weiteren durch die Garantie nicht abgedeckten Zahlungsverpflichtungen als unbesichert behandelt werden.
Als risikomindernd anerkannt sind Kreditderivate der Gegenparteien nach Artikel 67, sofern deren Risikogewicht nicht grösser ist als dasjenige des Referenzschuldners.
Als risikomindernde Kreditderivate sind nur Kreditausfall-Swaps und Total-Return-Swaps anerkannt, deren Kreditschutz gleichwertig zu demjenigen von Garantien ist. Insbesondere müssen sie die allgemeinen Voraussetzungen nach Artikel 65 und die Voraussetzungen nach diesem Abschnitt sowie sinngemäss die Voraussetzungen nach Artikel 68 Absatz 1 Buchstaben a–e erfüllen.
1 Mit der abzusichernden Forderung übereinstimmen müssen:
2 Sind die Voraussetzungen nach Absatz 1 nicht erfüllt, so kann die Absicherung unter Einhaltung der übrigen Voraussetzungen nach diesem Abschnitt dennoch angerechnet werden, wenn:
1 Im Derivatvertrag müssen insbesondere folgende Kreditereignisse aufgeführt sein, welche die Fälligkeit des Kreditderivats auslösen:
2 Ist die Voraussetzung nach Absatz 1 Buchstabe c nicht erfüllt, so kann die Absicherung unter Einhaltung der übrigen Voraussetzungen nach diesem Abschnitt dennoch angerechnet werden:
3 Die Zuständigkeit, zu bestimmen, ob ein Kreditereignis vorliegt, muss eindeutig einem oder mehreren Beteiligten zugewiesen sein, darf aber nicht allein dem Sicherungsgeber obliegen. Der Vertrag muss dem Sicherungsnehmer das Recht einräumen, dem Sicherungsgeber das Eintreten eines Kreditereignisses anzuzeigen.
Bei Total-Return-Swaps müssen zusätzlich:
1 Bei Kreditderivaten mit Barausgleich muss das Verfahren zur Bewertung der Referenzforderung so ausgestaltet sein, dass es:
2 Bei Kreditderivaten ohne Barausgleich muss der Sicherungsnehmer im Fall eines Kreditereignisses die nach Derivatvertrag zu übertragenden Forderungen an den Sicherungsgeber übertragen können. Die Bedingungen der Forderungen müssen vorsehen, dass eine gegebenenfalls nötige Zustimmung zu einer derartigen Übertragung nicht ohne stichhaltige Gründe verweigert werden darf.
Die Laufzeit des Kreditderivats darf erst nach Ablauf jeglicher Nachfristen enden, die für das Vorliegen eines Ausfalls infolge einer Nichtzahlung zu beachten sind.
1 Erfüllt eine Garantie oder ein Kreditderivat die Voraussetzungen nach dem 1. und 3. Abschnitt beziehungsweise nach dem 1. und 4. Abschnitt, so kann auf den abgesicherten Positionsteil statt des Risikogewichts der Gegenpartei das Risikogewicht des Sicherungsgebers angewendet werden (Substitutionsansatz).
2 Werden die Verluste beim Einsatz einer Garantie, die die Voraussetzungen nach dem 1. und 3. Abschnitt erfüllt, oder beim Einsatz eines Kreditderivats, das die Voraussetzungen nach dem 1. und 4. Abschnitt erfüllt, anteilig zwischen der Bank und dem Sicherungsgeber geteilt, so reduzieren sich die Mindesteigenmittel der Bank im Umfang der Verlusttragung durch den Sicherungsgeber. Der unbesicherte Teil der Position ist mit dem Risikogewicht der Gegenpartei der Position zu gewichten. Auf den abgesicherten Teil der Position kann der Substitutionsansatz angewendet werden.
3 Mit 1250 Prozent zu gewichten ist der Positionsteil unterhalb der Grenze, unter der im Verlustfall keine Zahlung geleistet wird.
4 Die Bank kann entweder für die vorrangigen oder für die nachrangigen Tranchen einer Position eine Absicherung berücksichtigen, wenn:
5 Im Fall von Absatz 4 richtet sich die Berechnung der Mindesteigenmittel nach dem 7. Kapitel für Verbriefungstransaktionen.
Lauten abzusichernde Position und Absicherung auf unterschiedliche Währungen, so ist der abgesicherte Betrag nach der Formel in Anhang 3 Ziffer 3 zu berechnen.
Mit Barmitteln unterlegte Credit-Linked-Notes, die von der Bank gegen Forderungen im Bankenbuch emittiert wurden, können als mit Bareinlagen besicherte Position nach Artikel 85 behandelt werden, wenn die Credit-Linked-Notes die Voraussetzungen nach dem 1. und 4. Abschnitt erfüllen.
1 Wird die Absicherung einer Position im Bankenbuch mittels eines Kreditderivats mit der eigenen Handelsabteilung durchgeführt, so kann die Absicherung nur dann berücksichtigt werden, wenn die Handelsabteilung die Absicherungstransaktion mit einer exakt gegenläufigen Transaktion an eine externe Gegenpartei weitergegeben hat.
2 Für die abgesicherte Forderung wird das Risikogewicht der externen Gegenpartei angewendet.
Ungebundene Lebensversicherungen mit garantiertem Rückkaufswert, die auf das Leben der Kreditnehmerin oder des Kreditnehmers oder der Eltern, Geschwister, Kinder, der Ehepartnerin oder des Ehepartners der Kreditnehmerin oder des Kreditnehmers lauten, können im Umfang des Rückkaufswerts wie Garantien behandelt werden, wenn:
1 Bürgschaften des Bundes, welche die Voraussetzungen nach dem 1. und 3. Abschnitt erfüllen, sind als risikomindernde Massnahme anerkannt.
2 Folgende Bürgschaften und Exportrisikogarantien des Bundes sind unabhängig von der Erfüllung der Voraussetzungen nach Absatz 1 als risikomindernde Massnahme anerkannt:
1 Garantiert die Bank die Erfüllung einer Forderung durch einen Drittschuldner, so ist diese Garantieverpflichtung in Höhe ihres Kreditäquivalents nach Artikel 53 Absatz 1 ERV wie eine direkte Forderung gegenüber dem Drittschuldner zu behandeln.
2 Handelt die Bank als Sicherungsgeber für einen Kreditausfall-Swap, einen Total-Return-Swap oder ein anderes Kreditderivat, so sind die daraus resultierenden Absicherungsverpflichtungen wie direkte Forderungen gegenüber dem Referenzschuldner zu behandeln, unter Vorbehalt der Absätze 3–5.
3 Handelt die Bank als Sicherungsgeber für einen First-to-Default-Swap, der kein Rating für alle darin vertretenen Forderungen (Basket Rating) einer nach Artikel 6 ERV anerkannten Ratingagentur aufweist, so sind die Risikogewichte der einzelnen Forderungen mit den für ihr jeweiliges Kreditereignis vorgesehenen maximalen Auszahlungsbeträgen zu multiplizieren. Die Mindesteigenmittel, mit denen dieser Swap zu unterlegen ist, betragen 8 Prozent der Summe der nach Risiko gewichteten maximalen Auszahlungsbeträge, höchstens aber den maximal möglichen Auszahlungsbetrag dieses Swaps.
4 Absatz 3 gilt auch, wenn die Absicherung aus einem Second- oder Nth-to-Default-Swap ohne Basket Rating besteht. Bis zum Ausfall der ersten im Basket enthaltenen Position kann aber der kleinste nach Risiko gewichtete Auszahlungsbetrag bei der Summierung unberücksichtigt bleiben. Bei Ausfall einer der im Basket enthaltenen Positionen vermindert sich N um eins.
5 Für die Bestimmung der Mindesteigenmittel für eine Credit-Linked-Note ist das höhere der Risikogewichte des Referenzschuldners und des Emittenten der Credit-Linked-Note massgebend.
1 Bei Wertpapierfinanzierungsgeschäften und anderen mit finanziellen Sicherheiten besicherten Transaktionen müssen die Banken die ordnungsgemässe Handhabung allfälliger Margenvereinbarungen mit Gegenparteien sicherstellen.
2 Das Risikomanagement muss die folgenden Aspekte berücksichtigen:
3 Bei einem Verwahrer hinterlegte Sicherheiten sind nach Möglichkeit getrennt von den Vermögenswerten des Verwahrers zu halten.
1
2 Anerkannte finanzielle Sicherheiten im Bankenbuch werden berücksichtigt:
3 Eine Kombination des einfachen Ansatzes mit dem umfassenden Ansatz ist für finanzielle Sicherheiten im Bankenbuch nicht zulässig.
4 Die Anwendung des Value-at-Risk-Modellansatzes nach den Artikeln 102 und 103 setzt die Anwendung des auf internen Ratings basierenden Ansatzes (Internal Ratings-based Approach, IRB) nach Artikel 77 ERV voraus.
1 Nach dem einfachen Ansatz sind die folgenden Instrumente als finanzielle Sicherheiten anerkannt:
2 Anerkannt sind die folgenden Schuldverschreibungen:
3 Die Sicherheiten müssen mindestens:
4 Die Hauptindizes (Abs. 1 Bst. d und e Ziff. 2) sind in Anhang 4 aufgeführt.
1 Das Risikogewicht nach dem einfachen Ansatz beträgt mindestens 20 Prozent, ausser wenn ein spezifisches Risikogewicht nach Artikel 87 zur Anwendung kommt.
2 Das Risikogewicht des durch eine anerkannte finanzielle Sicherheit besicherten Positionsteils entspricht dem Risikogewicht des als Sicherheit dienenden Finanzinstruments.
3 Werden Instrumente nach Artikel 85 Absatz 1 Buchstabe a, ausgenommen Treuhandanlagen, als Sicherheiten bei einer dritten Bank nicht treuhänderisch gehalten, so erhält der besicherte Teil der Forderung das Risikogewicht der dritten Bank, wenn die Sicherheiten an die kreditgebende Bank offen, unbedingt und unwiderruflich abgetreten oder verpfändet wurden.
4 Positionsteile, die durch bei einer dritten Bank platzierte Treuhandanlagen besichert sind, erhalten das Risikogewicht der dritten Bank.
5 Eine allfällige Währungsinkongruenz ist nach Artikel 77 zu behandeln.
1 Ein Risikogewicht von null Prozent gilt nach dem einfachen Ansatz in folgenden Fällen für den besicherten Teil, sofern dieser und die zugehörigen Sicherheiten auf die gleiche Währung lauten:
2 Ein Risikogewicht von 10 Prozent gilt für den besicherten Teil folgender Geschäfte, sofern der besicherte Teil und die zugehörigen Sicherheiten auf die gleiche Währung lauten:
Als wesentliche Marktteilnehmer gelten:
Als qualifizierte Repo- und repoähnliche Geschäfte gelten Geschäfte, die die folgenden Voraussetzungen erfüllen:
Für Repo- und repoähnliche Geschäfte, deren Rückkaufsvereinbarung auf Franken lautet, kann der unbesicherte Teil sinngemäss nach Artikel 101 ermittelt werden.
Die Berechnung der nach Risiko zu gewichtenden Positionen nach Risikominderung durch anerkannte verpfändete Vorsorgevermögen richtet sich nach Artikel 98.
1 Nach dem umfassenden Ansatz sind die folgenden Instrumente als finanzielle Sicherheiten anerkannt:
2 Nicht als Sicherheiten anerkannt sind Wiederverbriefungspositionen nach Ziffer 40.5 CRE in der Fassung nach Anhang 1 ERV, unter Vorbehalt von Artikel 59.
Für im Handelsbuch gehaltene Repo- oder repoähnliche Geschäfte sind alle dem Handelsbuch zugeordneten Instrumente als Sicherheiten anerkannt, ausgenommen Wiederverbriefungspositionen nach Ziffer 40.5 CRE in der Fassung nach Anhang 1 ERV, unter Vorbehalt von Artikel 59.
1 Für anerkannte finanzielle Sicherheiten nach den Artikeln 92 und 93 gelten die Standard-Sicherheitsabschläge nach Anhang 3 Ziffer 4. Bei zusätzlichen anerkannten Sicherheiten nach Artikel 93, die nicht in Anhang 3 Ziffer 4 aufgeführt sind, gilt ein Standard-Sicherheitsabschlag von 30 Prozent.
2 Bei Währungsinkongruenz zwischen Forderung und Sicherheit gilt ein zusätzlicher Sicherheitsabschlag von 8 Prozent.
3 Die Standard-Sicherheitsabschläge gelten unter folgenden Voraussetzungen:
4 Setzen sich Sicherheiten aus einem Korb von Aktiven zusammen, so berechnet sich der Standard-Sicherheitsabschlag auf den Korb nach der Formel in Anhang 3 Ziffer 5.
In folgenden Fällen berechnet sich der Sicherheitsabschlag nach Anhang 3 Ziffer 6.1:
1 Für die Berechnung des Sicherheitsabschlags ist bei täglicher Nachschusspflicht folgende Mindesthaltedauer zu verwenden:
2 Die Mindesthaltedauer für Netting-Sets und Transaktionen ist zu verdoppeln, wenn es in den letzten zwei Quartalen mehr als zwei Streitigkeiten über die Margenforderung gab, die länger andauerten als die sonst anwendbare Mindesthaltedauer. Bei nicht über zentrale Gegenparteien abgewickelten Derivattransaktionen, für welche die Anforderungen nach Ziffer 20 des Basler Mindeststandards zu den Margenanforderungen (MGN) in der Fassung nach Anhang 1 ERV erfüllt sind, fallen nur Streitigkeiten über die Nachschusszahlung in Betracht.
3 Für besicherte Kredite beträgt die Mindesthaltedauer bei täglicher Neubewertung 20 Geschäftstage.
1 Die Berechnung der nach Risiko zu gewichtenden Positionen nach Risikominderung richtet sich nach Anhang 3 Ziffer 2. Liegt eine Verrechnungsvereinbarung vor, so richtet sich die Berechnung nach Anhang 3 Ziffer 7.
2 Für qualifizierte Repo- und repoähnliche Geschäfte (Art. 89) mit wesentlichen Marktteilnehmern (Art. 88) kann die Bank die entsprechenden Sicherheitsabschläge gleich null Prozent setzen.
3 Wendet eine ausländische Aufsichtsbehörde eine Regelung im Sinn von Absatz 2 an für Repo- und repoähnliche Geschäfte mit Staatspapieren, die von der Zentralregierung oder der Zentralbank dieses Lands emittiert wurden, so kann die Bank die entsprechenden Sicherheitsabschläge gleich null Prozent setzen.
4 Durch die Bank gestellte Sicherheiten müssen nicht berücksichtigt werden, wenn sie gegenüber der Gegenpartei keinem Insolvenzrisiko ausgesetzt sind.
1 Für nach Artikel 72f Absatz 2 ERV anerkannte verpfändete Vorsorgevermögen kann die Bank in Abweichung von den Artikeln 94–96 die Sicherheitsabschläge nach Anhang 3 Ziffer 8 anwenden.
2 Banken der Kategorien 1–3 nach Anhang 3 BankV7 müssen bei übertägiger Neubewertung die Sicherheitsabschläge nach Anhang 3 Ziffer 6.2 anpassen.
3 Die Berechnung der nach Risiko zu gewichtenden Positionen nach Risikominderung richtet sich sinngemäss nach Artikel 97 Absatz 1.
1 Leiht eine Bank ein Wertpapier aus oder stellt sie ein solches als Sicherheit, so ist der Forderungsbetrag nach der Formel in Anhang 3 Ziffer 2 prozentual um den Standard-Sicherheitsabschlag zu erhöhen.
2 Fällt das Wertpapier weder unter Artikel 92 noch unter Artikel 93, so beträgt der Standard-Sicherheitsabschlag 30 Prozent.
3 Die Artikel 94–96 gelten sinngemäss.
1 Bilaterale Verrechnungsvereinbarungen, die Wertpapierfinanzierungsgeschäfte betreffen, können als risikomindernde Massnahme berücksichtigt werden, wenn sie bei Ausfall einer Partei:
2 Die Verrechnung von Wertpapierfinanzierungsgeschäften im Banken- und im Handelsbuch darf nur vorgenommen werden, wenn:
3 Die Berücksichtigung von Risikominderungen durch Verrechnungsvereinbarungen richtet sich nach Anhang 3 Ziffer 7.
Für Repo- und repoähnliche Geschäfte, deren Rückkaufsvereinbarung auf Franken lautet, kann der unbesicherte Teil ohne Anwendung von Sicherheitsabschlägen ermittelt werden, falls die folgenden Voraussetzungen erfüllt sind:
(Art. 62 Abs. 4 ERV)
1 Die Bewilligungsvoraussetzungen für die Anwendung des Value-at-Risk-Modellansatzes richten sich nach den Ziffern 32.39 und 32.40 CRE in der Fassung nach Anhang 1 ERV. Die Voraussetzungen sind dauerhaft einzuhalten.
2 Von der Bewilligungspflicht ausgenommen sind Banken, die ein Marktrisikomodell nach Artikel 88 ERV anwenden, das die Bestimmung der Positionen nach Risikominderung bei Wertpapierfinanzierungsgeschäften angemessen vornimmt.
Banken, die den Value-at-Risk-Modellansatz anwenden, müssen die Positionen nach Risikominderung nach den Ziffern 32.39–32.41 CRE in der Fassung nach Anhang 1 ERV berechnen.
(Art. 63 Abs. 3 Bst. e und Abs. 4 ERV)
1 Ausgefallene Positionen nach dem SA-BIZ sind Positionen, die:
2 Die Gegenpartei und alle Positionen ihr gegenüber gelten als ausgefallen, sobald mindestens eine Position ausgefallen ist. Bei Ausfall einer Retailposition nach Artikel 71 ERV müssen die anderen Positionen gegenüber der Gegenpartei nicht als ausgefallen betrachtet werden.
(Art. 63a ERV)
1 Die Bank muss in einer internen Weisung festlegen, nach welchen Kriterien sie die unwesentlichen Positionen nach Artikel 63a Absatz 2 ERV von der Sorgfaltsprüfung ausnimmt. Die Kriterien können nach Art der Position oder Gegenpartei unterschiedlich ausgestaltet werden.
2 Die Sorgfaltsprüfung muss sicherstellen, dass die verwendeten Ratings:
3 Die Plausibilität der Ratings ist zu beurteilen durch:
(Art. 63 Abs. 4 dritter Satz ERV)
Die multilateralen Entwicklungsbanken nach Anhang 2 Ziffer 3.2 ERV, für die ein Risikogewicht von null Prozent angewendet werden kann, sind in Anhang 5 aufgeführt.
(Art. 69 Abs. 4 ERV)
Die Positionen einer Bank der Kategorie 3 nach Anhang 3 BankV9 sind dann unwesentlich und die Bank kann die vereinfachte Risikogewichtung nach Artikel 69 Absatz 4 ERV anwenden, wenn die Positionen gegenüber ausländischen Banken höchstens 5 Prozent des Totals aller Positionen nach Artikel 63 ERV betragen.
(Art. 70b Abs. 3 ERV)
Neben der Anforderung nach Artikel 70b Absatz 3 erster Satz ERV gelten für hochwertige Projektfinanzierungen die folgenden Anforderungen:
(Art. 72b Abs. 6 und 8 ERV)
Die Anforderung betreffend die vorsichtige Festlegung des Belehnungswerts des Grundpfands gilt als erfüllt durch die systematische Einhaltung der entsprechenden Vorgaben der Richtlinien der Schweizerischen Bankiervereinigung vom 13. Dezember 202310 für die Prüfung, Bewertung und Abwicklung grundpfandgesicherter Kredite.
10 Die Richtlinien können im Internet kostenlos abgerufen werden unter: www.finma.ch > Dokumentation > Selbstregulierung > Selbstregulierungen.
(Art. 72c Abs. 3 und 4 ERV)
Die Minimalanforderungen betreffend den angemessenen Mindestanteil an Eigenmitteln der Kreditnehmerin oder des Kreditnehmers und betreffend die angemessene Amortisation nach Artikel 72c Absatz 3 ERV gelten für eine Position als erfüllt durch die systematische Einhaltung der entsprechenden Vorgaben der Richtlinien der Schweizerischen Bankiervereinigung vom 13. Dezember 202311 betreffend Mindestanforderungen bei Hypothekarfinanzierungen.
11 Die Richtlinien können im Internet kostenlos abgerufen werden unter: www.finma.ch > Dokumentation > Selbstregulierung > Selbstregulierungen.
(Art. 72d ERV)
Die Anforderungen betreffend die Tragbarkeit der vergebenen Kredite nach Artikel 72d Absatz 1 ERV gelten als erfüllt durch die systematische Einhaltung der entsprechenden Vorgaben der Richtlinien der Schweizerischen Bankiervereinigung vom 13. Dezember 202312 für die Prüfung, Bewertung und Abwicklung grundpfandgesicherter Kredite.
12 Die Richtlinien können im Internet kostenlos abgerufen werden unter: www.finma.ch > Dokumentation > Selbstregulierung > Selbstregulierungen.
(Art. 77 Abs. 2 und 5 ERV)
Für die Berechnung der Mindesteigenmittel zur Unterlegung von Kreditrisiken nach dem auf internen Ratings basierenden Ansatz (Internal Ratings-based Approach, IRB) gelten die Ziffern 30–36 CRE in der Fassung nach Anhang 1 ERV, soweit diese Verordnung nichts anderes bestimmt. Zu beachten sind dabei die Ziffern 32.1 und 32.2 SRP in der Fassung nach Anhang 1 ERV.
Verweist ein Basler Mindeststandard für den IRB auf die Regelungen des Standard-ansatzes nach den Ziffern 20–22 CRE in der Fassung nach Anhang 1 ERV, so sind die Regelungen über den SA-BIZ nach Artikel 50 Absatz 1 Buchstabe a ERV sowie die dazugehörigen Ausführungsbestimmungen der vorliegenden Verordnung anzuwenden.
1 Die in einem Basler Mindeststandard genannten Euro-Beträge sind mit einem Wechselkurs von 1.50 CHF/EUR in Franken umzurechnen.
2 Ausgenommen von einer Umrechnung ist der Schwellenwert nach Ziffer 30.34 Absatz 1 CRE in der Fassung nach Anhang 1 ERV.
(Art. 50 Abs. 3 und 4 ERV)
1 Die Bewilligungsvoraussetzungen für die Anwendung des IRB richten sich nach Ziffer 36 CRE in der Fassung nach Anhang 1 ERV. Dabei gelten die folgenden Präzisierungen:
2 Die Bank muss die Bewilligungsvoraussetzungen dauerhaft erfüllen.
1 Die Bank muss der FINMA und der Prüfgesellschaft jegliche Änderung von Sachverhalten melden, welche die Bewilligungsvoraussetzungen zur Anwendung des IRB betreffen, insbesondere Änderungen am Ratingsystem oder an der Risikopraxis.
2 Sind die Änderungen von wesentlicher Bedeutung, so ist für die weitere Anwendung des IRB vorgängig die Bewilligung der FINMA einzuholen.
Die Einführung und die Anwendung des IRB durch eine Bank richten sich nach den Ziffern 30.45–30.52 CRE in der Fassung nach Anhang 1 ERV.
Die Bank übermittelt die Resultate der Stresstests regelmässig der FINMA. Die Resultate fliessen entsprechend Ziffer 32.1 SRP in der Fassung nach Anhang 1 ERV in die Bestimmung allfälliger zusätzlicher Eigenmittel nach den Artikeln 45 und 131b ERV ein.
1 Nach dem IRB ist jede Position mit Kredit- oder Gegenpartei-Kreditrisiko wie folgt einer der nachstehenden Positionsklassen zuzuordnen:
2 Instrumente mit Beteiligungscharakter sind der Positionsklasse nach Artikel 63 Absatz 3 Buchstabe f ERV zuzuordnen und nach dem SA-BIZ zu behandeln.
1 Der Positionsklasse Unternehmen sind die Positionen nach den Ziffern 30.6–30.16 CRE in der Fassung nach Anhang 1 ERV zuzuordnen.
2 Für die Unterpositionsklasse hochvolatiler Renditeobjektfinanzierungen (High Volatility Commercial Real Estate, HVCRE) nach den Ziffern 30.15 und 30.16 CRE gilt Folgendes:
3 Die FINMA kann im Einzelfall festlegen, dass eine Bank bestimmte Positionen zur Finanzierung von Gewerbeliegenschaften im In- und im Ausland als HVCRE-Positionen klassifiziert.
Die Positionsklasse Zentralregierungen nach Ziffer 30.17 CRE in der Fassung nach Anhang 1 ERV umfasst keine Positionen gegenüber öffentlich-rechtlichen Körperschaften.
Der Positionsklasse Banken sind die Positionen nach Ziffer 30.18 CRE in der Fassung nach Anhang 1 ERV zuzuordnen.
1 Für Positionen gegenüber natürlichen Personen besteht keine wertmässige Obergrenze im Sinn von Ziffer 30.20 erster Punkt CRE in der Fassung nach Anhang 1 ERV.
2 Positionen gegenüber Kleinunternehmen können gemäss den Vorgaben nach Ziffer 30.22 zweiter Punkt CRE der Positionsklasse Retail zugeordnet werden. Als Kleinunternehmen im Sinn von Ziffer 30.20 dritter Punkt CRE gelten Unternehmen mit einem konsolidierten Jahresumsatz von bis zu 15 Millionen Franken. Auf Antrag einer Bank kann die FINMA für die Einstufung als Kleinunternehmen auch einen anderen Indikator als den Jahresumsatz zulassen, insbesondere die Bilanzsumme.
3 Ungeachtet ihrer Höhe können Positionen gegenüber Personen, die als Selbststän-digerwerbende uneingeschränkt persönlich haften, der Positionsklasse Retail zugeordnet werden.
4 Die FINMA kann einer Bank gestatten, ihr ganzes Lombardkreditportfolio der Positionsklasse Retail zuzuordnen.
Innerhalb der Positionsklasse Retail sind die nachstehenden Positionen folgenden Unterpositionsklassen nach Ziffer 30.23 CRE in der Fassung nach Anhang 1 ERV zuzuordnen:
1 Lautet der Jahresumsatz (Sales, S) von kleinen und mittleren Unternehmen (KMU) nach Artikel 70 Absatz 3 ERV auf Franken, so ist die Korrelation R in Abweichung von Ziffer 31.8 CRE in der Fassung nach Anhang 1 ERV nach der Formel in Anhang 6 zu berechnen.
2 Anstelle des Jahresumsatzes kann nach Ziffer 31.9 CRE die Bilanzsumme verwendet werden, sofern dieser Indikator zur Messung der Grösse des Unternehmens geeigneter ist.
1 Als Spezialfinanzierungen gelten:
2 Banken, welche die IRB-Mindestanforderungen an die Schätzung der Ausfallwahrscheinlichkeit von HVCRE-Positionen erfüllen, können deren Risiko nach dem einfachen IRB (Foundation IRB, F-IRB) gewichten. Dabei müssen sie die Voraussetzungen nach Ziffer 31.11 CRE in der Fassung nach Anhang 1 ERV einhalten.
3 Banken, welche zudem die IRB-Mindestanforderungen an die Schätzung der Verlustquote und der Positionshöhe von HVCRE-Positionen erfüllen, können deren Risiko nach dem fortgeschrittenen IRB (Advanced IRB, A-IRB) gewichten. Dabei müssen sie die Voraussetzungen nach Ziffer 31.11 CRE einhalten.
4 Unter den Voraussetzungen nach Ziffer 33.4 CRE können für Spezialfinanzierungen nach Absatz 1 Buchstaben a–d die reduzierten Risikogewichte für unerwartete Verluste angewendet werden.
5 Für Positionen aus ausländischen HVCRE können die reduzierten Risikogewichte für unerwartete Verluste nur angewendet werden, wenn eine ausländische Aufsichtsbehörde in ihrem Zuständigkeitsbereich:
1 Instrumente mit Beteiligungscharakter sind nach dem SA-BIZ nach Risiko zu gewichten. Die Übergangsbestimmung nach Artikel 148g ERV findet keine Anwendung.
2 VKV-Anteile sind nach den Ziffern 60.18–60.20 CRE in der Fassung nach Anhang 1 ERV nach Risiko zu gewichten.
1 Enthält ein Pool angekaufter Forderungen Einzelpositionen, die die Konzentrationslimite nach Ziffer 30.30 vierter Punkt CRE in der Fassung nach Anhang 1 ERV überschreiten, so sind die Mindesteigenmittel für das Risiko dieses Pools unter Verwendung des Bottom-up-Ansatzes nach Ziffer 34.4 CRE zu berechnen.
2 Die Konzentrationslimite liegt bei 150 000 Franken.
3 Die FINMA kann nach Ziffer 34.4 CRE einer Bank auf Antrag erlauben, bei angekauften Unternehmensforderungen, bei denen die Konzentrationslimite nicht überschritten ist, die Mindesteigenmittel für das Risiko des Ausfalls von Schuldnern unter Verwendung des Top-down-Ansatzes zu berechnen.
4 Für die Berechnung der Mindesteigenmittel für das Verwässerungsrisiko kann unter den Voraussetzungen nach Ziffer 34.8 zweiter Punkt Buchstabe c CRE statt der effektiven Laufzeit (Maturity, M) der angekauften Forderung eine Laufzeit von einem Jahr angewendet werden.
5 Die Sicherungsgeber, die nach Ziffer 34.12 CRE für die Berechnung der Mindesteigenmittel für das Verwässerungsrisiko nach dem F-IRB anerkannt sind, richten sich nach Artikel 132.
Als nachrangig im Sinn von Ziffer 32.7 CRE in der Fassung nach Anhang 1 ERV gelten alle Positionen, für die aus einer unwiderruflichen schriftlichen Erklärung hervorgeht, dass sie:
Für die Risikogewichtung von Repo- und repoähnlichen Geschäften gelten sinngemäss die Regeln für Sicherheitsabschläge zur Bestimmung des anrechenbaren Werts der finanziellen Sicherheiten nach dem umfassenden Ansatz (Art. 92–103).
1 Folgende physische Sicherheiten sind unter den Voraussetzungen nach den Ziffern 32.8, 36.129-36.132 CRE in der Fassung nach Anhang 1 ERV nach dem F-IRB anerkannt:
2 Gewerbliche Renditeliegenschaften sind nicht als physische Sicherheiten anerkannt.
3 Die FINMA kann die Anerkennung anderer Arten physischer Sicherheiten nach den Ziffern 36.143–36.145 CRE bewilligen. Die Bank muss in diesem Fall regelmässig überprüfen, ob die Anerkennungsvoraussetzungen weiterhin erfüllt sind.
Als Sicherungsgeber nach dem F-IRB sind unter den Voraussetzungen nach Ziffer 32.23 CRE in der Fassung nach Anhang 1 ERV anerkannt:
1 Banken, die den F-IRB anwenden, müssen die laufzeitabhängige Anpassung der Risikogewichte nach den Regeln des A-IRB vornehmen.
2 Positionen gegenüber Unternehmen unterliegen ausnahmslos der laufzeitabhängigen Anpassung der Risikogewichte.
3 Für Positionen ohne vereinbarte Laufzeit, die die Bank jederzeit unbedingt kündigen kann und die bei Kündigung innerhalb von höchstens zwölf Monaten zu begleichen sind, ist bei der Berechnung der laufzeitabhängigen Anpassung nach Ziffer 31.6 CRE in der Fassung nach Anhang 1 ERV als effektive Laufzeit M ein Jahr zu verwenden. Für andere Positionen ohne vereinbarte Laufzeit und für Positionen, für die die effektive Laufzeit nicht in den Ziffern 32.44–32.54 CRE festgelegt wird, sind als effektive Laufzeit M 2,5 Jahre zu verwenden.
4 Ist die Bank nicht oder nur mit unverhältnismässigem Aufwand in der Lage, die effektive Laufzeit M nach Ziffer 32.47 CRE zu berechnen, so kann stattdessen die vertraglich vereinbarte Restlaufzeit der Position verwendet werden.
Die Untergrenze von einem Jahr für die effektive Laufzeit M nach Ziffer 32.46 CRE in der Fassung nach Anhang 1 ERV findet für folgende Positionen keine Anwendung:
1 Die Risikogewichte für den erwarteten Verlust von Spezialfinanzierungen, ausgenommen HVCRE-Positionen, können nach Ziffer 33.10 CRE in der Fassung nach Anhang 1 ERV reduziert werden.
2 Die FINMA kann einer Bank, die sowohl den SA-BIZ als auch den IRB anwendet, gestatten, den Positionen Pauschalwertberichtigungen auf der Basis eines bankeigenen Verfahrens zuzuordnen. Dieses Verfahren muss zu einer angemessenen Zuordnung zu den nach dem entsprechenden Ansatz nach Risiko gewichteten Positionen führen und darf nicht primär darauf ausgerichtet sein, die anrechenbaren Eigenmittel zu maximieren.
3 Kreditbewertungsanpassungen bei Derivaten, die nach Artikel 50a Absatz 1 Buchstabe b ERV vom Kreditäquivalent des entsprechenden Derivats abgezogen werden, gelten nicht als Wertberichtigungen im Sinn von Ziffer 35 CRE.
1 Unabhängig von der Art der Schuldnerin oder des Schuldners sind für die Frist des Zahlungsverzugs nach Ziffer 36.68 CRE in der Fassung nach Anhang 1 ERV stets 90 Tage anzusetzen.
2 Für das Lombardkreditgeschäft kann die Bank in Abweichung von Ziffer 36.68 CRE Lombardkredite als ausgefallen betrachten, wenn:
3 Mit Zustimmung der FINMA kann eine Bank die für eine ausgefallene Position gebildeten Einzelwertberichtigungen, Rückstellungen und Teilausbuchungen als beste Schätzung für den erwarteten Verlust dieser Position im Sinn von Ziffer 36.86 CRE verwenden.
Wickelt eine zentrale Gegenpartei Handelsgeschäfte mit einer anderen zentralen Gegenpartei ab, so gilt diese zweite zentrale Gegenpartei als Clearing-Mitglied der ersten zentralen Gegenpartei. Die FINMA entscheidet, ob die Sicherheiten der zweiten zentralen Gegenpartei als Ersteinschusszahlung (Initial Margin) oder als Beitrag an den Ausfallfonds behandelt werden.
1 Eine mehrstufige Kundenbeziehung liegt vor, wenn eine Partei Handelsgeschäfte mit einer zentralen Gegenpartei über zwischengeschaltete Institute abwickelt, indem sie Clearing-Dienstleistungen eines Instituts in Anspruch nimmt, das selber kein Clearing-Mitglied ist, sondern seinerseits Clearing-Kunde eines Clearing-Mitglieds oder eines anderen Clearing-Kunden.
2 In einer solchen mehrstufigen Kundenbeziehung gilt das Institut, das der anderen Partei die Clearing-Dienstleistung anbietet, als Anbieter und die Partei, welche die Clearing-Dienstleistung in Anspruch nimmt, als Clearing-Kunde des Anbieters.
1 Als Ersteinschusszahlung gelten die Vermögenswerte, die das Clearing-Mitglied oder der Clearing-Kunde der zentralen Gegenpartei als Sicherheiten stellt zur Deckung allfälliger Forderungen der zentralen Gegenpartei gegenüber dem Clearing-Mitglied, die durch künftige Wertänderungen der Handelsgeschäfte nach Artikel 77b Absatz 2 Buchstaben a–c ERV entstehen.
2 Die Ersteinschusszahlung schliesst auch allfällige vom Clearing-Mitglied oder vom Clearing-Kunden gestellte Sicherheiten ein, die den von der zentralen Gegenpartei verlangten Mindestbetrag übersteigen, wenn die zentrale Gegenpartei oder das Clearing-Mitglied verhindern kann, dass das Clearing-Mitglied oder der Clearing-Kunde diese Sicherheiten wieder abzieht.
3 Verwendet eine zentrale Gegenpartei die Ersteinschusszahlung, um Verluste durch Ausfall eines Clearing-Mitglieds auf die anderen Clearing-Mitglieder umzulegen, so wird diese als Beitrag an den Ausfallfonds nach Artikel 141 und nicht als Ersteinschusszahlung behandelt.
Als Nachschusszahlung gelten:
Als Positionen gegenüber dem Ausfallfonds gelten die Vorfinanzierungen, Beiträge und Zusagen der Clearing-Mitglieder im Zusammenhang mit Verlustbeteiligungsvereinbarungen mit einer zentralen Gegenpartei.
(Art. 77b Abs. 4 ERV)
1 Hält eine Bank Positionen gegenüber einer zentralen Gegenpartei, so muss sie diese Positionen überwachen und ihr höheres Management sowie die relevanten Ausschüsse auf Stufe Geschäftsleitung und Verwaltungsrat regelmässig über diese Positionen und die damit verbundenen Risiken informieren, insbesondere über:
2 Ist die Bank Clearing-Mitglied, so muss sie überdies ihre Eigenmittelausstattung mittels entsprechender Szenario-Analysen und Stresstests beurteilen. Darin einzubeziehen sind auch allfällige zukünftige Forderungen und Eventualverpflichtungen, insbesondere im Zusammenhang mit dem Ausfallfonds oder infolge Zahlungsverzugs oder Insolvenz eines anderen Clearing-Mitglieds, soweit die Bank für dessen Kunden Glattstellungstransaktionen gegenüber der zentralen Gegenpartei übernehmen oder ersetzen muss.
Erfüllt eine qualifizierte zentrale Gegenpartei die Anforderungen nach Artikel 77a Absatz 2 ERV nicht mehr, so können die Mindesteigenmittel für Positionen gegenüber einer solchen qualifizierten zentralen Gegenpartei noch während längstens drei Monaten nach den Regeln für qualifizierte zentrale Gegenparteien berechnet werden. Die FINMA kann diese Frist im Einzelfall verkürzen.
1 Die Positionen aus Handelsgeschäften (Art. 77b Abs. 2 ERV) gegenüber einer qualifizierten zentralen Gegenpartei sind nach folgenden Ansätzen zu berechnen, abhängig von der Art der Position:
2 Bei der Berechnung nach Absatz 1 gelten die im Rahmen dieser Ansätze anzuwendenden Mindesthaltedauern, mit folgenden Ausnahmen:
3 Leistet die qualifizierte zentrale Gegenpartei keine Nachschusszahlungen oder behält sie erhaltene Nachschusszahlungen ungeachtet der Wertänderungen der Handelsgeschäfte zurück, ohne dass die Sicherheiten vor einer Insolvenz der qualifizierten zentralen Gegenpartei geschützt sind, so entspricht die Mindesthaltedauer für die entsprechenden Positionen der Restlaufzeit des Handelsgeschäfts, höchstens aber einem Jahr und mindestens zehn Geschäftstagen. Die Position ist als Derivatgeschäft ohne Margenausgleich zu behandeln.
1 Ein Risikogewicht von 2 Prozent gilt für Positionen aus Handelsgeschäften gegenüber der qualifizierten zentralen Gegenpartei, wenn das Clearing-Mitglied:
2 Im Fall von Absatz 1 sind Sicherheiten, die das Clearing-Mitglied der qualifizierten zentralen Gegenpartei gestellt hat, nach den Artikeln 152 und 153 zu gewichten.
Sind die Beiträge an den Ausfallfonds nach Produkttypen getrennt, so ist Ziffer 54.24 CRE in der Fassung nach Anhang 1 ERV anwendbar.
Positionen aus Handelsgeschäften eines Clearing-Mitglieds gegenüber Clearing-Kunden sind als bilaterale Geschäfte zu behandeln, unabhängig davon, ob das Clearing-Mitglied die Leistungserfüllung garantiert oder als Finanzintermediär zwischen dem Clearing-Kunden und der zentralen Gegenpartei steht. Die Behandlung als bilaterale Geschäfte muss auch die Unterlegung des CVA-Risikos einschliessen.
Berechnet ein Clearing-Mitglied die Mindesteigenmittel für Positionen aus Handelsgeschäften, die es gegenüber Clearing-Kunden hält, nach dem Standardansatz oder dem EPE-Modellansatz, so kann es eine Mindesthaltedauer von mindestens fünf Geschäftstagen anwenden. Die gleiche Mindesthaltedauer gilt auch für die Berechnung der Mindesteigenmittel für das CVA-Risiko.
Erhält ein Clearing-Mitglied von einem Clearing-Kunden Sicherheiten und gibt es diese an die qualifizierte zentrale Gegenpartei weiter, so darf es diese Sicherheiten bei der Berechnung des Kreditäquivalents gegenüber seinem Clearing-Kunden berücksichtigen. Das Gleiche gilt für die Positionen eines Anbieters gegenüber seinem Clearing-Kunden im Fall einer mehrstufigen Kundenbeziehung.
1 Ist eine Bank Clearing-Kunde eines Clearing-Mitglieds einer qualifizierten zentralen Gegenpartei, so gilt die Übertragbarkeit des Handelsgeschäfts im Fall eines Ausfalls des Clearing-Mitglieds als gewährleistet, wenn folgende Voraussetzungen erfüllt sind:
2 Unter den Voraussetzungen nach Absatz 1 dürfen auch Positionen aus Handelsgeschäften eines Clearing-Kunden gegenüber der qualifizierten zentralen Gegenpartei nach den Artikeln 144 und 145 behandelt werden. Das Gleiche gilt für die Positionen eines Clearing-Kunden eines Anbieters gegenüber dem Anbieter im Fall einer mehrstufigen Kundenbeziehung.
3 Ist die Bank als Clearing-Kunde nicht gegen Verluste geschützt, die bei gemeinsamem Ausfall des Clearing-Mitglieds und eines anderen von dessen Clearing-Kunden entstehen, sind aber die Voraussetzungen nach Absatz 1 Buchstaben a, b Ziffern 1 und 2 sowie c–e erfüllt, so kann die Bank ihre Positionen aus Handelsgeschäften gegenüber dem Clearing-Mitglied dennoch nach den Artikeln 144 und 145 behandeln, unter Anwendung eines Risikogewichts von 4 Prozent anstelle von 2 Prozent.
4 Ist die Bank Clearing-Kunde eines Clearing-Mitglieds und sind die Voraussetzungen nach den Absätzen 1 und 3 nicht erfüllt, so muss sie ihre Positionen aus Handelsgeschäften gegenüber dem Clearing-Mitglied als bilaterale Geschäfte behandeln und gegebenenfalls entsprechende Mindesteigenmittel zur Unterlegung des CVA-Risikos halten.
1 Handelsgeschäfte mit börsengehandelten Derivaten zwischen einem Clearing-Mitglied und dessen Clearing-Kunde, die im Rahmen einer bilateralen Verrechnungsvereinbarung erfolgen, sind von beiden Parteien als ausserbörsliche Derivatgeschäfte zu behandeln.
2 Absatz 1 gilt sinngemäss für Handelsgeschäfte zwischen Anbietern von Clearing-Dienstleistungen und deren Clearing-Kunden in mehrstufigen Kundenbeziehungen.
1 Für Sicherheiten, die eine Bank als Clearing-Kunde oder Clearing-Mitglied einer qualifizierten zentralen Gegenpartei gestellt hat, muss sie Mindesteigenmittel halten, wie wenn sie die Sicherheiten nicht gestellt hätte.
2 Sind die gestellten Sicherheiten gegenüber der Gegenpartei einem Insolvenzrisiko ausgesetzt, so muss die Bank zusätzliche Mindesteigenmittel halten für das Gegenpartei-Kreditrisiko gegenüber der Gegenpartei, die die Sicherheiten hält.
3 Zur Berechnung der zusätzlichen Mindesteigenmittel nach Absatz 2 sind die Buchwerte der gestellten Sicherheiten um die nach den Artikeln 94–96 berechneten Sicherheitsabschläge zu erhöhen. Die so berechneten Werte sind:
1 Ein Risikogewicht von 2 Prozent gilt für Sicherheiten, die die qualifizierte zentrale Gegenpartei hält und die bei der Berechnung der Positionen aus Handelsgeschäften nach Artikel 144 berücksichtigt sind. Hält die qualifizierte zentrale Gegenpartei die Sicherheiten für andere Zwecke, so sind die entsprechenden Risikogewichte anzuwenden.
2 Ein Risikogewicht von null Prozent gilt für Sicherheiten, die:
3 Ein Risikogewicht von null Prozent gilt auch für Sicherheiten, die:
4 Hält die qualifizierte zentrale Gegenpartei die Sicherheiten stellvertretend für den Clearing-Kunden und sind sie gegenüber der Gegenpartei einem Insolvenzrisiko ausgesetzt, so gelten folgende Risikogewichte:
5 Als Verwahrer gelten Personen, die Vermögenswerte verwahren, ohne Inhaber wirtschaftlicher Rechte an diesen Vermögenswerten zu sein, insbesondere Treuhänder, Vermittler, Pfandgläubiger und andere abgesicherte Gläubiger, sofern im Fall der Insolvenz oder des Konkurses des Verwahrers weder die Forderungen der Gläubiger des Verwahrers noch eine Aussetzung der Rückgabe der Vermögenswerte geltend gemacht werden können.
(Art. 77e ERV)
Die Bank muss insbesondere in folgenden Fällen prüfen, ob zusätzliche Eigenmittel nach Artikel 77e ERV für Positionen gegenüber einer zentralen Gegenpartei erforderlich sind:
1 Banken müssen keine Mindesteigenmittel zur Unterlegung des CVA-Risikos halten für:
2 Nach Ziffer 50.5 Absatz 2 des Basler Mindeststandards zur Berechnung der nach Risiko gewichteten Positionen für Marktrisiken (MAR) in der Fassung nach Anhang 1 ERV kann die FINMA die Unterlegung des CVA-Risikos bei Wertpapierfinanzierungsgeschäften anordnen.
3 Unter Vorbehalt von Artikel 156 gelten für die Anwendung des Basisansatzes für das CVA-Risiko (BA-CVA) und des fortgeschrittenen Ansatzes für das CVA-Risiko (F-CVA) die folgenden Vorgaben der Basler Mindeststandards in der jeweiligen Fassung nach Anhang 1 ERV:
1 Bei Anwendung des Basisansatzes für das CVA-Risiko dürfen für Positionen gegenüber Gegenparteien ohne externes Rating nur dann interne Ratings verwendet werden, wenn:
2 Sind diese Voraussetzungen nicht erfüllt, so muss die Bank für Positionen gegenüber Gegenparteien ohne externes Rating das Risikogewicht für Gegenparteien ohne Rating (not rated) nach Ziffer 50.16 MAR in der Fassung nach Anhang 1 ERV anwenden.
Diese Verordnung tritt am 1. Januar 2025 in Kraft.
13 Bereinigt gemäss Berichtigung vom
(Art. 5–10, 13, 14, 16, 17, 22, 24–26, 31–33 und 152)

|
EAD |
Kreditäquivalent (Exposure at Default) |
|
RC |
aufsichtsrechtliche Wiederbeschaffungskosten (Replacement Costs) |
|
PFE |
potenzieller Wertanstieg (Potential Future Exposure) |

|
RC |
aufsichtsrechtliche Wiederbeschaffungskosten (Replacement Costs) |
|
V |
aktueller positiver oder negativer Netto-Marktwert (Value) aller Derivatkontrakte im Netting-Set nach Berücksichtigung von Bewertungsanpassungen nach Rechnungslegung und von Bewertungsanpassungen nach Artikel 5b Absatz 3 ERV, ausgenommen Kreditbewertungsanpassungen aufgrund des Risikos eines Ausfalls der Gegenpartei (Credit Valuation Adjustment nach Art. 48 Abs. 3 ERV) oder aufgrund des eigenen Kreditrisikos (Debit Valuation Adjustment) |
|
CN |
Nettowert der Sicherheiten (Net Collateral Value) |

|
RC |
aufsichtsrechtliche Wiederbeschaffungskosten (Replacement Costs) |
|
V |
aktueller positiver oder negativer Netto-Marktwert (Value) aller Derivatkontrakte im Netting-Set nach Berücksichtigung von Bewertungsanpassungen nach Rechnungslegung und von Bewertungsanpassungen nach Artikel 5b Absatz 3 ERV, ausgenommen Kreditbewertungsanpassungen aufgrund des Risikos eines Ausfalls der Gegenpartei (Credit Valuation Adjustment nach Art. 48 Abs. 3 ERV) oder aufgrund des eigenen Kreditrisikos (Debit Valuation Adjustment) |
|
CN |
Nettowert der Sicherheiten (Net Collateral Value) |
|
TH |
Schwellenwert (Threshold) der Margenvereinbarungen |
|
MTA |
Mindesttransferbetrag der Margenvereinbarungen |
|
NICA |
Nettowert der marktpreisunabhängigen Sicherheiten (Net Independent Collateral Amount) |

|
RC |
aufsichtsrechtliche Wiederbeschaffungskosten (Replacement Costs) |
|
CN |
Nettowert der Sicherheiten (Net Collateral Value) |
|
VN |
Netto-Marktwert (Net Value) der Derivatkontrakte des Netting-Sets N nach Berücksichtigung von Bewertungsanpassungen nach Rechnungslegung und von Bewertungsanpassungen nach Artikel 5b Absatz 3 ERV, ausgenommen Kreditbewertungsanpassungen aufgrund des Risikos eines Ausfalls der Gegenpartei (Credit Valuation Adjustment nach Art. 48 Abs. 3 ERV) oder aufgrund des eigenen Kreditrisikos (Debit Valuation Adjustment) |
Die Summenbildung erfolgt über alle in der Margenvereinbarung enthaltenen Netting-Sets.

|
RC |
aufsichtsrechtliche Wiederbeschaffungskosten (Replacement Costs) |
|
CN |
Nettowert der Sicherheiten (Net Collateral Value) |
|
VN |
Netto-Marktwert (Net Value) der Derivatkontrakte des Netting-Sets N nach Berücksichtigung von Bewertungsanpassungen nach Rechnungslegung und von Bewertungsanpassungen nach Artikel 5b Absatz 3 ERV, ausgenommen Kreditbewertungsanpassungen aufgrund des Risikos eines Ausfalls der Gegenpartei (Credit Valuation Adjustment nach Art. 48 Abs. 3 ERV) oder aufgrund des eigenen Kreditrisikos (Debit Valuation Adjustment) |
Die Summenbildung erfolgt über alle in der Margenvereinbarung enthaltenen Netting-Sets.

|
CN |
Nettowert der Sicherheiten (Net Collateral Value) |
|
Hc e He |
Sicherheitsabschläge (Haircuts) nach den Artikeln 15, 94 und 95 in Verbindung mit Artikel 64 und Anhang 3 Ziffer 1 für die erhaltenen beziehungsweise die gestellten Sicherheiten |
|
C |
gegenwärtiger Wert aller erhaltenen Sicherheiten (Collateral) |
|
E |
gegenwärtiger Wert aller gestellten Sicherheiten (Exposure) |

|
exp() |
Exponentialfunktion |
|
V |
aktueller positiver oder negativer Netto-Marktwert (Value) aller Derivatkontrakte im Netting-Set nach Berücksichtigung von Bewertungsanpassungen nach Rechnungslegung und von Bewertungsanpassungen nach Artikel 5b Absatz 3 ERV, ausgenommen Kreditbewertungsanpassungen aufgrund des Risikos eines Ausfalls der Gegenpartei (Credit Valuation Adjustment nach Art. 48 Abs. 3 ERV) oder aufgrund des eigenen Kreditrisikos (Debit Valuation Adjustment) |
|
CN |
Nettowert der Sicherheiten (Net Collateral Value) |
|
S |
aggregierter Wertaufschlag für das Netting-Set |

|
exp() |
Exponentialfunktion |
|
VN |
Netto-Marktwert (Net Value) der Derivatkontrakte des Netting-Sets N nach Berücksichtigung von Bewertungsanpassungen nach Rechnungslegung und von Bewertungsanpassungen nach Artikel 5b Absatz 3 ERV, ausgenommen Kreditbewertungsanpassungen aufgrund des Risikos eines Ausfalls der Gegenpartei (Credit Valuation Adjustment nach Art. 48 Abs. 3 ERV) oder aufgrund des eigenen Kreditrisikos (Debit Valuation Adjustment) |
|
CN |
Nettowert der Sicherheiten (Net Collateral Value) |
|
SN |
aggregierter Wertaufschlag für das Netting-Sets N |

|
SD |
aufsichtsrechtliche Duration |
|
S |
Startzeit; entspricht der Zeitdauer in Jahren bis zum Start des Zeitabschnitts, auf den sich das Derivatgeschäft bezieht |
|
E |
Endzeit; entspricht der Zeitdauer in Jahren bis zum Ende des Zeitabschnitts, auf den sich das Derivatgeschäft bezieht |
|
1 Jahr |
Es ist die nach den geltenden Marktkonventionen übliche Anzahl Geschäftstage pro Jahr anzuwenden. |
Gewöhnliche Zinsswaps und Kreditausfall-Swaps haben eine Startzeit von null und die Endzeit entspricht der Restlaufzeit.
|
MF |
Maturitätsfaktor |
|
M |
Maturität (Maturity); entspricht dem grösseren Wert aus zehn Geschäftstagen und der Restlaufzeit des Derivats, ausgedrückt in Jahren nach den geltenden Marktkonventionen für die Anzahl Geschäftstage pro Jahr |

|
MPOR |
Nachschuss-Risikodauer (Margin Period of Risk) |
|
1 Jahr |
Es ist die nach den geltenden Marktkonventionen übliche Anzahl Geschäftstage pro Jahr anzuwenden. |
|
Gekaufte Option |
Verkaufte Option |
|
|---|---|---|
|
Call-Option |
||
|
Put-Option |
|
|
kumulative Verteilungsfunktion der Standard-Normalverteilung |
|
ln(…) |
natürliche Logarithmusfunktion |
|
K |
Ausübungspreis der Option (Strike) |
|
P |
Marktwert des Basiswerts oder im Fall von asiatischen Optionen der momentane Betrag desjenigen Mittelwerts, der dem Auszahlungsprofil zugrunde liegt. Bei Zinsoptionen in Währungen mit negativen Marktzinsen oder bei Kontrakten mit negativen Ausübungszinsen ist P durch |
|
|
Volatilität nach Ziffer 15 |
|
T |
Restlaufzeit in Jahren bis zum vertraglich spätesten Ausübungszeitpunkt der Option (Time to Maturity) |

|
A |
Anknüpfungspunkt (Attachment Point) der CDO-Tranche mit Kreditschutz |
|
D |
Ablösungspunkt (Detachment Point) der CDO-Tranche mit Kreditschutz |
A und D bezeichnen den Anknüpfungs- beziehungsweise Ablösungspunkt der CDO‑Tranche, bei denen der Kreditschutz anfängt beziehungsweise aufhört. Sie werden ausgedrückt als Zahlen zwischen null und eins und entsprechen den jeweiligen Quantilen der Verlustverteilung des Pools der der CDO zugrunde liegenden Positionen. Im Fall von Nth-to-Default-Swaps bei einem Pool von m Referenzschuldnern gilt A = (N – 1)/m und D = N/m.

|
A |
Anknüpfungspunkt (Attachment Point) der CDO-Tranche mit Kreditschutz |
|
D |
Ablösungspunkt (Detachment Point) der CDO-Tranche mit Kreditschutz |
A und D bezeichnen den Anknüpfungs- beziehungsweise Ablösungspunkt der CDO‑Tranche, bei denen der Kreditschutz anfängt beziehungsweise aufhört. Sie werden ausgedrückt als Zahlen zwischen null und eins und entsprechen den jeweiligen Quantilen der Verlustverteilung des Pools der der CDO zugrunde liegenden Positionen. Im Fall von Nth-to-Default-Swaps bei einem Pool von m Referenzschuldnern gilt A = (N – 1)/m und D = N/m.
|
Basiswert |
Skalierungs- |
Korrelation |
Volatilität |
||
|---|---|---|---|---|---|
|
Zinsen |
0,50 |
50 |
|||
|
Währungen |
4,00 |
15 |
|||
|
Kreditderivate |
Referenz-schuldner |
AAA–AA |
0,38 |
50 |
100 |
|
A |
0,42 |
50 |
100 |
||
|
BBB |
0,54 |
50 |
100 |
||
|
BB |
1,06 |
50 |
100 |
||
|
B |
1,60 |
50 |
100 |
||
|
CCC |
6,00 |
50 |
100 |
||
|
Ohne Rating |
1,06 |
50 |
100 |
||
|
Index |
AAA–BBB |
0,38 |
80 |
80 |
|
|
übrige |
1,06 |
80 |
80 |
||
|
Aktien |
Einzeltitel |
32 |
50 |
120 |
|
|
Index |
20 |
80 |
75 |
||
|
Rohstoffe |
Elektrizität |
40 |
40 |
150 |
|
|
Alle anderen |
18 |
40 |
70 |
||


Die Summenbildung erfolgt über alle Referenzschuldner und Indizes i, mit zugehörigem Korrelationsparameter pi nach Ziffer 15 und mit SENi als zum i-ten Referenzschuldner oder Index zugehörigen vollständig verrechneten SEN.

Die Summerbildung erfolgt über alle Einzeltitel und Indizes j, mit zugehörigem Korrelationsparameter pj nach Ziffer 15 und mit SENj als zum j-ten Einzeltitel oder Index zugehörigen vollständig verrechneten SEN.

Die Summenbildung erfolgt über alle Rohstofftypen k innerhalb der jeweiligen Rohstoffgruppe, mit zugehörigem Korrelationsparameter pk nach Ziffer 15 und mit SENk als zum Rohstofftyp zugehörigen vollständig verrechneten SEN.
(Art. 36 Abs. 1, 39 Abs. 1 und 2 und 40 Abs. 1)

|
EAD |
Kreditäquivalent (Exposure at Default) |
|
WBW |
Netto-Wiederbeschaffungswert der Derivate |
|
EA |
nach dem umfassenden Ansatz angepasster Wert der gestellten Sicherheiten (Adjusted Exposure) |
|
CA |
nach dem umfassenden Ansatz angepasster Wert der erhaltenen Sicherheiten (Adjusted Value of Collateral) |
|
Addon |
Netto-Wertaufschlag für Netting-Sets nach Artikel 40 |
|
Basiswert des Derivats |
Satz für den Wertaufschlag in Prozent, nach Restlaufzeit |
||||||
|---|---|---|---|---|---|---|---|
|
Derivate ohne täglichen Margenausgleich |
Derivate mit täglichem Margenausgleich |
||||||
|
≤ 1 Jahr |
> 1 Jahr und |
> 5 Jahre |
≤ 1 Jahr |
> 1 Jahr und |
> 5 Jahre |
||
|
2.1 |
Zinsen |
0,3 |
1,8 |
5,3 |
0,1 |
0,5 |
1,6 |
|
2.2 |
Währungen und Gold |
3,5 |
4,0 |
4,0 |
1,2 |
1,2 |
1,2 |
|
2.3 |
Aktien |
27,7 |
32,0 |
32,0 |
9,6 |
9,6 |
9,6 |
|
2.4 |
Edelmetalle, ohne Gold |
15,6 |
18,0 |
18,0 |
5,4 |
5,4 |
5,4 |
|
2.5 |
Übrige Rohstoffe |
15,6 |
18,0 |
18,0 |
5,4 |
5,4 |
5,4 |
|
2.6 |
Kreditderivate mit Referenzforderung der Kategorie «Zentralregierungen und Zentralbanken» oder «qualifizierte Zinsinstrumente» nach Anhang 5 ERV |
0,3 |
2,0 |
5,7 |
0,1 |
0,6 |
1,7 |
|
2.7 |
Kreditderivate mit Referenzforderung der Kategorie «Übrige» nach Anhang 5 ERV |
1,0 |
5,8 |
16,9 |
0,4 |
1,7 |
5,1 |

|
NWA |
Netto-Wertaufschlag |
|
SWA |
Summe der nach Artikel 38 pro Derivat berechneten Wertaufschläge |
|
WBW |
Netto-Wiederbeschaffungswert der Derivate |
|
SWBp |
Summe der positiven Wiederbeschaffungswerte |
(Art. 64 Abs. 2, 66 Abs. 2, 77, 94 Abs. 1 und 4, 95, 97 Abs. 1, 98
Abs. 1 und 2, 99 Abs. 1 und 100 Abs. 3)

|
Pa |
Wert der um die Laufzeitinkongruenz angepassten Absicherung (Value of the Credit Protection Adjusted for Maturity Mismatch) |
|
P |
Wert der Absicherung, angepasst um allfällige Sicherheitsabschläge (Credit Protection Amount Adjusted for any Haircuts) |
|
T |
der kleinere Wert aus fünf Jahren und der Restlaufzeit der Position, ausgedrückt in Jahren |
|
t |
der kleinere Wert aus T und der Restlaufzeit der Absicherung, ausgedrückt in Jahren |

|
E* |
Position nach Risikominderung durch finanzielle Sicherheiten (Adjusted Exposure) |
|
E |
gegenwärtiger Forderungsbetrag (Exposure) |
|
He |
Sicherheitsabschlag (Haircut) für die Forderung nach den Artikeln 94–96 |
|
C |
gegenwärtiger Wert der erhaltenen Sicherheit (Collateral), angepasst nach Artikel 64 bei Laufzeitinkongruenzen |
|
Hc |
Sicherheitsabschlag (Haircut) für die erhaltene Sicherheit nach den Artikeln 94–96 |
|
Hfx |
Sicherheitsabschlag (Haircut) für Währungsinkongruenz zwischen Forderung und Sicherheit |

|
Ga |
angepasster Nominalwert der Absicherung, nach Berücksichtigung der Währungsinkongruenz (Adjusted Nominal Amount of the Credit Protection) |
|
G |
Nominalwert der Absicherung (Nominal Amount of the Credit Protection) |
|
Hfx |
Sicherheitsabschlag (Haircut) bei Währungsinkongruenz von Position und Absicherung; bei einer Haltedauer von zehn Geschäftstagen, täglicher Marktbewertung und täglicher Nachschusspflicht gilt ein Sicherheitsabschlag von 8 Prozent; in den anderen Fällen ist der Sicherheitsabschlag nach Artikel 95 anzupassen. |
|
Anerkannte Sicherheiten nach Artikel 85 |
Restlaufzeit |
Zentralregierungen, Zentralbanken |
Andere |
Verbriefungspositionen |
|
|---|---|---|---|---|---|
|
4.1 |
Schuldverschreibungen der Ratingklassen 1 und 2 nach Anhang 2 ERV sowie kurzfristige Schuldverschreibungen der Klasse 1 nach Artikel 64a Absatz 2 ERV |
≤ 1 Jahr > 1 Jahr, ≤ 3 Jahre > 3 Jahre, ≤ 5 Jahre > 5 Jahre, ≤ 10 Jahre > 10 Jahre |
0,5 % 2 % 4 % |
1 % 3 % 4 % 6 % 12 % |
2 % 8 % 16 % |
|
4.2 |
Schuldverschreibungen der Ratingklassen 3 und 4 nach Anhang 2 ERV, kurzfristige Schuldverschreibungen der Klassen 2 und 3 nach Artikel 64a Absatz 2 ERV sowie Bankschuldverschreibungen ohne Rating nach Artikel 85 Absatz 2 Buchstabe c, einschliesslich Treuhandanlagen bei einer anderen Bank |
≤ 1 Jahr > 1 Jahr, ≤ 3 Jahre > 3 Jahre, ≤ 5 Jahre > 5 Jahre, ≤ 10 Jahre > 10 Jahre |
1 % 3 % 6 % |
2 % 4 % 6 % 12 % 20 % |
4 % 12 % 24 % |
|
4.3 |
Schuldverschreibungen der Ratingklasse 5 nach Anhang 2 ERV |
Alle |
15 % |
Nicht anerkannt |
Nicht anerkannt |
|
4.4 |
Aktieninstrumente, die in einem der Hauptindizes nach Anhang 4 enthalten sind, einschliesslich Wandelanleihen, und Gold |
20 % |
|||
|
4.5 |
Andere, an einer etablierten Börse kotierte Aktien, einschliesslich Wandelanleihen, und übrige Sicherheiten |
30 % |
|||
|
4.6 |
Effektenfonds/UCITS |
Höchster Standard-Sicherheitsabschlag, der auf ein Wertpapier anzuwenden ist, in das der Fonds investieren darf, oder gewichteter Durchschnitt der Standard-Sicherheitsabschläge für die vom Fonds gehaltenen Instrumente, falls die Bank den Look-Through-Ansatz nach Artikel 59a Absatz 1 Buchstabe a ERV anwenden könnte. |
|||
|
4.7 |
Barsicherheit in derselben Währung, einschliesslich Kassenobligationen oder vergleichbare Instrumente, die von der kreditgebenden Bank emittiert wurden, sowie Treuhandanlagen bei der kreditgebenden oder bei einer anderen Bank |
0 % |
|||

|
ai |
wertmässiger Anteil des i-ten Aktivums am Gesamtwert des Korbs |
|
Hi |
auf das Aktivum anwendbare Standard-Sicherheitsabschlag (Haircut) |

|
H10 |
Standard-Sicherheitsabschlag (Haircut) für das Instrument |
|
NR |
Anzahl Geschäftstage zwischen den Nachschusspflichten für Kapitalmarkttransaktionen beziehungsweise den Neubewertungen für Kredite unter Verwendung von Sicherheiten |
|
TM |
Mindesthaltedauer für die betrachtete Transaktion |

|
H20 |
Sicherheitsabschlag (Haircut) für das Vorsorgevermögen |
|
NR |
Anzahl Geschäftstage zwischen den Neubewertungen der Sicherheiten |

|
E* |
Positionswert des Netting-Sets nach Risikominderung |
|
|
gegenwärtiger Forderungsbetrag aller im Rahmen der Verrechnungsvereinbarung der Gegenpartei geliehenen Gelder sowie geliehenen oder mit Rückkaufsvereinbarung verkauften oder anderweitig zur Verfügung gestellten Wertpapiere |
|
|
gegenwärtiger Wert aller im Rahmen der Verrechnungsvereinbarung von der Gegenpartei geborgten Gelder sowie geborgten oder mit Rückverkaufsvereinbarung verkauften oder anderweitig als Sicherheit gehaltenen Wertpapiere |
|
n |
Anzahl Wertpapiertitel im Netting-Set ohne Zählung von solchen Titeln, deren Positionswert Es kleiner als 10 Prozent des grössten Positionswerts |
|
Ef |
absoluter Betrag der Nettoposition in der Währung f, die nicht Abwicklungswährung ist |
|
Hf |
Sicherheitsabschlag (Haircut) bei Währungsinkongruenz für die Währung f |
|
|
Nettoforderung |
|
|
Bruttoforderung |
ist der gegenwärtige Nettowert der s-ten Wertpapierposition im Netting-Set und Hs ist der wertpapierspezifische Sicherheitsabschlag; dieser Abschlag ist positiv für ausgeliehene oder mit Rückkaufsvereinbarung verkaufte oder anderweitig zur Verfügung gestellte Wertpapiere und negativ für geborgte oder mit Rückverkaufsvereinbarung gekaufte oder anderweitig als Sicherheit erhaltene Wertpapiere.
|
Vermögensart |
Sicherheitsabschlag |
||
|---|---|---|---|
|
Säule 2 |
|||
|
8.1 |
Pensionskassenguthaben, Freizügigkeitskonti |
0 % |
|
|
8.2 |
Freizügigkeitsstiftungen mit Fondslösungen |
40 % |
|
|
Säule 3a |
|||
|
8.3 |
Kontoguthaben einer Stiftung bei der kreditgebenden Bank |
0 % |
|
|
8.4 |
Kontoguthaben einer Stiftung nicht bei der kreditgebenden Bank |
20 % |
|
|
8.5 |
Fondslösung bei Stiftungen |
40 % |
|
|
8.6 |
Versicherungspolicen: Rückkaufswert bei Fondslösung |
40 % |
|
|
8.7 |
Versicherungspolicen: Rückkaufswert bei anderen als Fondslösung |
20 % |
|
(Art. 85 Abs. 4 und 92 Abs. 1 Bst. b)
|
Index |
Land / Region |
|---|---|
|
AEX |
Niederlande |
|
Austrian Traded Index |
Österreich |
|
BEL 20 |
Belgien |
|
CETOP20 |
Zentraleuropa |
|
CNX 100 |
Indien |
|
CSI 300 Index |
China |
|
EGX 30 |
Ägypten |
|
FTSE 350 |
Vereinigtes Königreich |
|
FTSE All World Europe |
Europa |
|
FTSE All-World Index |
Weltweit |
|
FTSE Bursa Malaysia KLCI |
Malaysia |
|
FTSE MIB |
Italien |
|
FTSE Nasdaq Dubai UAE 20 Index |
Vereinigte Arabische Emirate |
|
FTSE RAFI Emerging Index |
Schwellenländer |
|
FTSE Straits Times Index |
Singapur |
|
FTSE/JSE Capped Top 40 |
Südafrika |
|
FTSE/JSE Industrial 25 |
Südafrika |
|
Hang Seng Index |
Hongkong |
|
Hang Seng Mainland 100 Index |
Hongkong |
|
HDAX |
Deutschland |
|
IBEX 35 |
Spanien |
|
IBOVESPA |
Brasilien |
|
ISEQ 20 |
Irland |
|
KOSPI 100 |
Südkorea |
|
MSCI ACWI Index |
Weltweit |
|
MSCI EM 50 |
Schwellenländer |
|
MSCI Russia Index |
Russland |
|
NASDAQ-100 |
USA |
|
Nikkei 300 |
Japan |
|
NYSE ARCA China Index |
China |
|
OBX |
Norwegen |
|
OMX Copenhagen 25 |
Dänemark |
|
OMX Helsinki 25 |
Finnland |
|
OMXS60 |
Schweden |
|
Qatar Exchange General Index |
Katar |
|
S&P 500 |
USA |
|
S&P BSE 100 |
Indien |
|
S&P Latin America 40 |
Lateinamerika |
|
S&P/ASX 100 |
Australien |
|
S&P/BMV IPC |
Mexiko |
|
S&P/NZX 10 |
Neuseeland |
|
S&P/TSX 60 |
Kanada |
|
SBF 120 |
Frankreich |
|
SET 50 |
Thailand |
|
SMI Expanded |
Schweiz |
|
STOXX Asia/Pacific 600 |
Asien/Pazifik |
|
STOXX Europe 600 |
Europa |
|
TOPIX Mid 400 |
Japan |
|
TSEC Taiwan 50 |
Taiwan |
|
WIG20 |
Polen |
(Art. 106)
Als multilaterale Entwicklungsbanken nach Anhang 2 Ziffer 3.2 ERV gelten:
(Art. 125 Abs. 1)

|
R |
Korrelation |
|
S |
Jahresumsatz (Sales), ausgedrückt in Franken |
|
PD |
Ausfallwahrscheinlichkeit (Probability of Default) |