1–3 Allgemeine Angaben über das Radionuklid [Quelle: International Commission on Radiological Protection, ICRP 107]. Tochternuklide mit einer Halbwertszeit von weniger als 10 Minuten sind nicht separat aufgeführt; ihre Eigenschaften sind in der Zeile des Mutternuklids integriert.
1 Radionuklid; m: metastabil. Ein Tochternuklid mit einer Halbwertszeit von weniger als 10 Minuten ist nach dem Schrägstrich angegeben.
2 Halbwertszeit: s: Sekunde; min: Minute; h: Stunde; d: Tag; a: Jahr; E: Exponentialdarstellung. Quelle: International Commission on Radiological Protection, ICRP 107. Dort nicht aufgeführte, einzelne Nuklide: IAEA, Safety Requirements: Radiation Protection and Safety of Radiation Sources: International Basic Safety Standards, Revision of IAEA Safety Series N°115, GOV2011/42, 15 August 2011; Table III-2A.
3 Zerfallsart/Strahlung: α: Alphastrahlung; β+, β-: Betastrahlung; ec: Elektroneneinfang; it: isomeric transition; fs: spontane Spaltung. Für «/Strahlung» ist bei jedem Radionuklid «/ph» angegeben, wenn der Zerfall unter Emission von Photonenstrahlung (γ oder Röntgen) mit einer Energie von mehr als 10-4 MeV pro Zerfall erfolgt.
4, 5 Dosiskoeffizient für die effektive Folgedosis infolge einer Inhalation (Einatmen) bzw. einer Ingestion (Essen, Trinken) eines Radionuklids für Erwachsene [Quelle: IAEA, Safety Requirements: Radiation Protection and Safety of Radiation Sources: International Basic Safety Standards, Revision of IAEA Safety Series N°115, GOV2011/42, 15 August 2011; Tabelle III-2A Spalte e(g)5 µm für Inhalation und Spalte e(g) für Ingestion Dort nicht aufgeführte, einzelne Nuklide: International Commission on Radiological Protection, «ICRP Database of Dose Coefficients: Workers and Members of the Public», unter der Rubrik «Free Educational CD Downloads» du site http://www.icrp.org/.
4 Dosiskoeffizient für die effektive Folgedosis infolge einer Inhalation eines Radionuklids. Die Inhalation von 1 Bq führt höchstens zur angegebenen effektiven Folgedosis in Sv. Der angegebene Wert entspricht dem Maximalwert für die verschiedenen Aufnahmearten (oder -geschwindigkeiten) von den Lungen ins Blut (F, M oder S), mit einem AMAD von 5 µm
Anmerkung: Für 12 Radionuklide [Nb-91, Nb-91m, Nb-92m, Te-119m, Nd-140, Re-183, Pt-190, Au-196, Bi-208, Po-206, Po-208, Po-209] sind die einh-Werte weder in den IAEA BSS noch auf der CD1 ICRP aufgeführt. Die Werte für diese Radionuklide waren für die StSV vom 22. Juni 199466 dem Bericht NRPB-R245 von 1991 entnommen worden. Da diese Quelle nicht mehr aktuell ist und diese Radionuklide nur von geringer Bedeutung sind, wird in dieser Verordnung auf die Angabe der Dosiskoeffizienten für diese zwölf Radionuklide verzichtet.
5 Dosiskoeffizient für die effektive Folgedosis infolge einer Ingestion eines Radionuklids. Die Ingestion von 1 Bq führt höchstens zur angegebenen effektiven Folgedosis in Sv.
Anmerkung: Für 12 Radionuklide (wie bei einh) sind die eing-Werte weder in den IAEA BSS der noch auf der CD1 ICRP aufgeführt. Die Werte für diese Radionuklide waren für die StSV vom 22. Juni 1994 dem Bericht NRPB-R245 von 1991 entnommen worden. Da diese Quelle nicht mehr aktuell ist und diese Radionuklide nur von geringer Bedeutung sind, wird in dieser Verordnung auf die Angabe der Dosiskoeffizienten für diese zwölf Radionuklide verzichtet.
6–8 Dosiskoeffizient für externe Bestrahlung [Quelle: Petoussi et al., GSF-Bericht 7/93, Forschungszentrum für Umwelt und Gesundheit GmbH, Neuherberg]. Falls das Tochternuklid eine Halbwertszeit von weniger als 10 Minuten hat, ist die Summe der Dosiskoeffizienten von Mutter und Tochter angegeben.
6 Dosisleistung in 10 mm Tiefe (Umgebungs-Äquivalentdosisleistung) in 1 m Abstand von einer radioaktiven Quelle mit einer Aktivität von 1 GBq (109 Bq).
7 Dosisleistung in 0,07 mm Gewebetiefe (Richtungs-Äquivalentdosisleistung) in 10 cm Abstand von einer radioaktiven Quelle mit einer Aktivität von 1 GBq.
8 Dosiskoeffizient für Hautkontamination. Eine Hautkontamination von 1 kBq/cm2 (gemittelt über 100 cm2) führt zur angegebenen Dosisleistung (Richtungs-Äquivalentdosisleistung).
9–12 Befreiungsgrenze, Bewilligungsgrenze und Richtwerte
9 Befreiungsgrenze für die spezifische Aktivität in Bq/g (LL). [Quellen: IAEA, Safety Requirements: Radiation Protection and Safety of Radiation Sources: International Basic Safety Standards, Revision of IAEA Safety Series N°115, GOV2011/42, 15 Aug. 2011; Tabelle I-2; Brenk Systemplanung, Berechnung von Freigrenzen und Freigabewerten für Nuklide, für die keine Werte in den IAEA-BSS vorliegen Endbericht, Aachen, 2012.] Für Radionuklide mit kurzer Halbwertszeit liegen die im Bericht von Brenk Systemplanung errechneten Freigrenzen häufig über den Freigrenzen der bei geringen Materialmengen geltenden spezifischen Aktivität, die in den IAEA BSS festgelegt sind. In diesem Fall sowie bei den wenigen Radionukliden, für die von Brenk Systemplanung kein Wert errechnet wurde, werden in der vorliegenden Verordnung die Werte für geringe Materialmengen aus den IAEA BSS verwendet [Quelle: IAEA, Safety Requirements: Radiation Protection and Safety of Radiation Sources: International Basic Safety Standards, Revision of IAEA Safety Series N°115, GOV2011/42, 15. Aug. 2011; Tabelle I-1 Spalte «Activity Concentration»]. Radionuklide, bei denen die in den IAEA BSS für geringe Materialmengen aufgeführten Freigrenzen verwendet werden, sind in Spalte 9 der Tabelle mit der Angabe [1] gekennzeichnet.
Radionuklide, für die der Beitrag von Tochternukliden bei der Bestimmung des LL-Werts berücksichtigt ist, sind in Spalte 9 der Tabelle mit der Angabe [2] gekennzeichnet. In der untenstehenden Tabelle ist bei jedem Radionuklid, für das ein Tochternuklid berücksichtigt wurde, das letzte Radionuklid der Zerfallskette angegeben, das zusammen mit der Mutter für die Berechnung des LL-Werts herangezogen wurde.
Beispiel: Ra-226 -> Po-214 bedeutet, dass die Tochternuklide von Ra-226 bis Po-214 (d.h. Rn-222, Po-218, Pb-214, Bi-214 und Po-214) zusammen mit der Mutter zur Berechnung von LL berücksichtigt wurden.
Für H-3 und S-35, die in verschiedenen chemischen Formen vorliegen können, erfolgte die Berechnung von LL im Bericht von Brenk mit den pessimistischeren Dosiskoeffizienten für jeden Expositionsweg (z.B. für S-35 mit eing von S-35 org und einh von S-35 inorg). Die auf diese Weise festgelegten LL-Werte wurden auf alle chemischen Formen des Radionuklids angewendet.
10 Bewilligungsgrenze (LA). Die Werte für die Bewilligungsgrenzen sind aus Spalte 4 abgeleitet, da beim Umgang mit Radionukliden im Labor die Inhalationsgefahr dominiert. Die einmalige Inhalation einer Aktivität LA führt zu einer effektiven Folgedosis von 5 mSv.
Für Edelgase, C-11, N-13, O-15, F-18 und Cl-38 entspricht die Bewilligungsgrenze der Aktivität eines Raums von 1000 m3 Inhalt und einer Konzentration CA nach Spalte 11.
11 Richtwert für Daueraktivität in der Luft für beruflich strahlenexponierte Personen (CA). Der Aufenthalt in Luft mit einer Aktivitätskonzentration CA während 40 Stunden pro Woche und 50 Wochen pro Jahr führt zu einer effektiven Folgedosis von 20 mSv.
Für Inhalation gilt: CA [Bq/m3] = 0,02 Sv / (einh . 2400 m3/a).
Für Edelgase führt der Aufenthalt in einer halbkugelförmigen Wolke grosser Ausdehnung während 40 Stunden pro Woche und 50 Wochen pro Jahr zu einer effektiven Dosis von 20 mSv (Die Dosiskoeffizienten für die Immersion eimm stammen aus der Publikation ICRP119, soweit sie nicht in der ENSI-Richtlinie G14 geregelt sind). In den meisten Fällen bezieht sich der CA-Wert auf das Mutternuklid. Die Ausnahmen, bei denen der CA-Wert des Tochternuklids angegeben ist, sind speziell gekennzeichnet. Ebenso mit der entsprechenden Fussnote gekennzeichnet sind Fälle, bei denen die Immersion zu einer Bestrahlung der Haut bzw. aller Organe führt und die Dosis durch Immersion bedeutender ist als diejenige durch Inhalation. [5]: Bei Kr-88 wurden die Werte des Tochternuklids für Immersion angegeben. [3]: Abgeleitet aus der effektiven Dosis bei Immersion. [4]: Abgeleitet aus der Hautdosis bei Immersion. In diesem Fall stammen die Dosiskoeffizienten eimm für die Haut aus der Publikation: [Federal Guidance Report N°12, External Exposure to Radionuclides in air, water and soil, Keith F. Eckerman and Jeffrey C. Ryman, Sept. 1993].
12 Richtwert für die Oberflächenkontamination ausserhalb von Kontrollbereichen gemittelt über 100 cm2 (CS).
Der Wert von CS wird auf der Basis der folgenden Szenarien berechnet, wobei das ungünstigste gewählt wird:
- –
- eine andauernde Bestrahlung während des ganzen Jahres (8760 Stunden) durch eine Haut-kontamination führt zu einer Äquivalentdosis von 50 mSv pro Jahr (1/10 des Dosisgrenzwerts für die Haut);
- –
- eine tägliche Ingestion einer Kontamination auf eine Fläche von 10 cm2 führt zu einer effektiven Dosis von 0,5 mSv pro Jahr;
- –
- eine einmalige Inhalation von 10 )% der Aktivität einer Kontamination auf einer Fläche von 100 cm2 führt zu einer Dosis von 0,5 mSv (1/10 der Bewilligungsgrenze);
- –
- ein Maximalwert von 1000 Bq/cm2.
13 Instabiles Tochternuklid
13 Instabiles Tochternuklid; → bedeutet: zerfällt in ...; bei einer Verzweigung in mehrere Nuklide sind diese durch ein Komma getrennt; ein zweiter Pfeil deutet auf eine Zerfallsreihe hin. [6]: Der Wert h10 des Tochternuklids überschreitet 0,1 (mSv/h)/GBq in 1 m Abstand (je nachdem Tochternuklid beachten!).
Zusammenstellung der Fussnoten:
[1] Radionuklide, bei denen als Befreiungsgrenze die Werte für geringe Materialmengen aus den IAEA BSS verwendet werden.
[2] Radionuklide, für welche der Beitrag von Tochternukliden zur Bestimmung des LL-Werts (Spalte 9) berücksichtigt wurde. In der Tabelle weiter unten ist für jedes dieser Radionuklide das letzte Radionuklid der Zerfallskette angegeben, das zusammen mit der Mutter bei der Berechnung des LL-Werts berücksichtigt wurde.
[3] Abgeleitet aus der effektiven Dosis bei Immersion (Spalte 11).
[4] Abgeleitet aus der Hautdosis bei Immersion (Spalte 11).
[5] Bei Kr-88 wurden die Werte des Tochternuklids für Immersion angegeben (Spalte 11).
[6] Der Wert h10 des Tochternuklids überschreitet 0,1 (mSv/h)/GBq in 1 m Abstand (je nachdem Tochternuklid beachten! Spalte 13).
[7] Der Anteil H-3, HTO ist auch zu berücksichtigen.
[8] Für Kr-85 wurde LA so gewählt, dass die Dosisleistung in 10 cm Abstand bei 5 µSv/h liegt.
[9] In h10 ist die Spontanspaltung mitberücksichtigt. Der Anteil Spontanspaltung stammt aus Tables of Isotopes (eighth edition, 1996, John Wiley & Sons) und aus der ENDF Datenbank des Brookhaven National Laboratory. Für die mittlere Anzahl Neutronen pro Spaltung und den Dosisfaktor wurden die Werte von Cf-252 übernommen. Nicht berücksichtigt ist der Photonenanteil bei der Kernspaltung und die Photonenemission der entstehenden Spaltprodukte.
[10] Kaliumsalze in Mengen von weniger als 1000 kg gelten als befreit.
[11] Für Nuklidgemische von Uran (U-238/U-235/U-234+Töchter) sowie von Thorium (Th-232/Th-230/Th-228+Töchter) gilt die Bewilligungsgrenze des dominierenden Nuklids.
Nuklidgemische
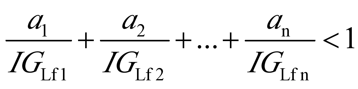
Bei Nuklidgemischen gilt für die Spalten 9, 11 und 12 die Summenregel:
Regel zur Überprüfung der Einhaltung von Aktivitätsgrenzwerten bei Nuklidgemischen. Dabei werden die verschiedenen Nuklide entsprechend ihrer Gefährdung gewichtet. Wenn die folgenden Ungleichungen erfüllt sind, so liegen die Gemische unter der Befreiungsgrenze bzw. unter dem Richtwert für die Oberflächenkontamination.

a1, a2, ...an: spezifische Aktivitäten der Nuklide 1, 2, ..., n in Bq/g.
LL1, LL2, ...LLn: Befreiungsgrenzen der Nuklide 1, 2, ..., n in Bq/g nach Anhang 3 Spalte 9.

c1, c2, ...cn: Kontaminationswerte der Nuklide 1, 2, ..., n in Bq/cm2.
CS1, CS2, ...CSn: Richtwert für die Oberflächenkontamination der Nuklide 1, 2, ..., n in Bq/cm2 nach Anhang 3 Spalte 12.
Zu Fussnote [2] Einbeziehung von Tochternukliden bei der Berechnung der Befreiungsgrenze
Nuklid | Tochternuklide | Nuklid | Tochternuklide | Nuklid | Tochternuklide | Nuklid | Tochternuklide | Nuklid | Tochternuklide |
Mg-28 | -> Al-28 | Mo-99 | -> Tc-99m | I-135 | -> Xe-135m | Hg-195m | -> Hg-195 | Np-237 | -> Pa-233 |
Si-32 | -> P-32 | Tc-95m | -> Tc-95 | Cs-137 | -> Ba-137m | Pb-202 | -> Tl-202 | Pu-239 | -> U-235m |
Ca-45 | -> Sc-45m | Ru-103 | -> Rh-103m | Ba-128 | -> Cs-128 | Pb-210 | -> Bi-210 | Pu-244 | -> Np-240 |
Sc-44m | -> Sc-44 | Ru-106 | -> Rh-106 | Ce-134 | -> La-134 | Pb-212 | -> Tl-208 | Pu-245 | -> Am-245 |
Ti-44 | -> Sc-44 | Pd-100 | -> Rh-100 | Ce-137m | -> Ce-137 | Bi-210m | -> Tl-206 | Pu-246 | -> Am-246m |
Fe-52 | -> Mn-52m | Pd-109 | -> Ag-109m | Ce-144 | -> Pr-144 | At-211 | -> Po-211 | Am-242m | -> Np-238 |
Fe-60 | -> Co-60 | Ag-108m | -> Ag-108 | Nd-138 | -> Pr-138 | Rn-222 | -> Tl-210 | Am-243 | -> Np-239 |
Ni-66 | -> Cu-66 | Ag-110m | -> Ag-110 | Nd-140 | -> Pr-140 | Fr-222 | -> Po-214 | Cm-247 | -> Pu-243 |
Zn-62 | -> Cu-62 | Cd-109 | -> Ag-109m | Gd-146 | -> Eu-146 | Ra-223 | -> Tl-207 | Cm-250 | -> Am-246m |
Zn-69m | -> Zn-69 | Cd-113m | -> In-113m | Yb-178 | -> Lu-178 | Ra-224 | -> Tl-208 | Cf-253 | -> Cm-249 |
Zn-72 | -> Ga-72m | Cd-115 | -> In-115m | Lu-177m | -> Lu-177 | Ra-226 | -> Po-214 | | |
Ge-68 | -> Ga-68 | Cd-115m | -> In-115m | Hf-172 | -> Sn-121m | Ra-228 | -> Ac-228 | | |
As-73 | -> Ge-73m | In-111 | -> Cd-111m | Hf-182 | -> Ta-182 | Ac-225 | -> Pb-209 | | |
Br-80m | -> Br-80 | In-114m | -> In-114 | W-188 | -> Re-188 | Ac-226 | -> Th-226 | | |
Br-83 | -> Kr-83m | Sn-110 | -> In-110m | Re-186m | -> Re-186 | Ac-227 | -> Bi-211 | | |
Rb-83 | -> Kr-83m | Sn-113 | -> In-113m | Re-189 | -> Os-189m | Th-228 | -> Tl-208 | | |
Sr-80 | -> Rb-80 | Sn-121m | -> Sn-121 | Os-191 | -> Ir-191m | Th-229 | -> Pb-209 | | |
Sr-89 | -> Y-89m | Sn-126 | -> Sb-126 | Os-194 | -> Ir-194 | Th-232 | -> Tl-208 | | |
Sr-90 | -> Y-90 | Sb-125 | -> Te-125m | Ir-189 | -> Os-189m | Th-234 | -> Pa-234 | | |
Sr-91 | -> Y-91m | Sb-127 | -> Te-127 | Ir-190 | -> Os-190m | U-230 | -> Po-214 | | |
Y-87 | -> Sr-87m | Te-127m | -> Te-127 | Ir-194m | -> Ir-194 | U-232 | -> Tl-208 | | |
Zr-86 | -> Y-86m | Te-129m | -> Te-129 | Pt-191 | -> Ir-191m | U-235 | -> Th-231 | | |
Zr-95 | -> Nb-95m | Te-131m | -> Te-131 | Pt-200 | -> Au-200 | U-238 | -> Pa-234 | | |
Zr-97 | -> Nb-97 | Te-132 | -> I-132 | Hg-194 | -> Au-194 | U-240 | -> Np-240 | | |