0.747.224.011

 AS 2009 5293; BBl 1997 III 365

Originaltext

Übereinkommen
über die Sammlung, Abgabe und Annahme von Abfällen
in der Rhein- und Binnenschifffahrt

Abgeschlossen in Strassburg am 9. September 1996
Von der Bundesversammlung genehmigt am 19. Dezember 19971
Schweizerische Ratifikationsurkunde hinterlegt am 16. Juli 1998
In Kraft getreten für die Schweiz am 1. November 2009

(Stand am 1. Januar 2026)

Die Bundesrepublik Deutschland,
Das Königreich Belgien,
Die Französische Republik,
Das Grossherzogtum Luxemburg,
Das Königreich der Niederlande,
Die Schweizerische Eidgenossenschaft,

in der Erwägung, dass die Abfallvermeidung sowie die Sammlung, Abgabe und Annahme von Abfällen zur Verwertung und zur Beseitigung aus Gründen des Umweltschutzes sowie im Interesse der Sicherheit und Gesundheit des Schiffspersonals und der Verkehrsnutzer für die Binnenschifffahrt und die mit ihr verbundenen Wirtschaftszweige ein Erfordernis ist und dass diese hierzu einen verstärkten Beitrag leisten wollen,

in der Überzeugung, dass dazu international abgestimmte, einheitliche Regelungen getroffen werden müssen, um Wettbewerbsverzerrungen zu vermeiden,

ferner in der Überzeugung, dass die Sammlung, Abgabe, Annahme und Entsorgung von Schiffsabfällen unter Berücksichtigung des Verursacherprinzips finanziert werden sollten,

in Anbetracht insbesondere der Tatsache, dass die Erhebung einer international einheitlich festgesetzten, auf der an die Binnenschifffahrt verkauften Gasölmenge basierenden Gebühr für die Annahme und Entsorgung öl- und fetthaltiger Schiffsbetriebsabfälle den Grundsatz der zoll- und abgabenrechtlichen Befreiung in den Rheinuferstaaten und Belgien, wie er im Abkommen vom 16. Mai 19522 über die zoll- und abgabenrechtliche Behandlung des Gasöls, das als Schiffsbedarf in der Rheinschifffahrt verwendet wird, verankert ist, nicht verletzt,

in dem Wunsch, dass weitere Staaten, deren Binnenwasserstrassen mit denen der Vertragsstaaten in Verbindung stehen, diesem Übereinkommen beitreten mögen,

sind wie folgt übereingekommen:

Allgemeine Bestimmungen

Art. 1 Begriffsbestimmungen

Im Sinne dieses Übereinkommens bedeutet der Ausdruck:

a)
«Schiffsabfall» die in den Buchstaben b) bis f) näher bestimmten Stoffe oder Gegenstände, deren sich ihr Besitzer entledigt, entledigen will oder entledigen muss;
b)
«Schiffsbetriebsabfall» Abfall und Abwasser, die bei Betrieb und Unterhaltung des Fahrzeugs an Bord entstehen; hierzu gehören der öl- und fetthaltige Schiffsbetriebsabfall und sonstiger Schiffsbetriebsabfall;
c)
«öl- und fetthaltiger Schiffsbetriebsabfall» Altöl, Bilgenwasser und anderen öl- oder fetthaltigen Abfall wie Altfett, Altfilter, Altlappen, Gebinde und Verpackungen dieser Abfälle;
d)
«Bilgenwasser» ölhaltiges Wasser aus Bilgen des Maschinenraumbereiches, Pieks, Kofferdämmen und Wallgängen;
e)
«sonstiger Schiffsbetriebsabfall» häusliches Abwasser, Hausmüll, Klärschlamm, Slops und übrigen Sonderabfall im Sinne des Teils C der Anwendungsbestimmung;
f)3
«Abfall aus dem Ladungsbereich» Abfall und Abwasser, die im Zusammenhang mit der Ladung an Bord des Fahrzeuges entstehen; hierzu gehören nicht Restladungen, Dämpfe und Umschlagsrückstände im Sinne des Teil B der Anwendungsbestimmung;
ff)4
«Dämpfe» gasförmige Verbindungen, die aus flüssiger Ladung verdunsten (gasförmige Rückstände flüssiger Ladung);
g)
«Fahrzeug» ein Binnenschiff, Seeschiff oder schwimmendes Gerät;
h)
«Fahrgastschiff» ein zur Beförderung von Fahrgästen gebautes und eingerichtetes Schiff;
i)
«Seeschiff» ein Schiff, das zur See- oder Küstenfahrt zugelassen und vorwiegend dafür bestimmt ist;
j)5
«Annahmestelle» eine ortsfeste oder mobile Einrichtung, die von den zuständigen Behörden zur Annahme von Schiffsabfällen oder Dämpfen zugelassen ist;
k)
«Schiffsführer» die Person, unter deren Führung das Fahrzeug steht;
l)
«motorgetriebenes Fahrzeug» ein Fahrzeug, dessen Haupt- oder Hilfsmotoren mit Ausnahme der Ankerwindenmotoren Verbrennungskraftmaschinen sind;
m)
«Gasöl» den zoll- und abgabenrechtlich befreiten Treibstoff für Binnenschiffe;
n)
«Bunkerstelle» eine Stelle, an der die Fahrzeuge das Gasöl beziehen;
nn)6
«Betreiber einer Annahmestelle» eine Person, die gewerbsmässig eine Annahmestelle betreibt;
o)7
«Betreiber der Umschlagsanlage»: eine Person, die gewerbsmässig die Be- oder Entladung von Fahrzeugen ausführt;
p)8
«Befrachter»: die Person, die den Beförderungsauftrag erteilt hat;
q)9
«Frachtführer»: eine Person, die es gewerbsmäßig übernimmt, die Beförderung von Gütern auszuführen
r)10
«Ladungsempfänger»: die Person, die berechtigt ist, das Ladungsgut in Empfang zu nehmen;
s)11
«Freisetzung von Dämpfen» jegliches Ablassen von Dämpfen aus einem geschlossenen Ladetank ausser beim Entspannen des Tanks zum Zwecke der Öffnung der Ladeluke und zum Zwecke der Durchführung von Messungen der Dampfkonzentration sowie bei Ansprechen der Sicherheitsventile.

3 Fassung gemäss der von der Konferenz der Vertragsparteien am 18. Dez. 2019 angenommen Änderung, in Kraft getreten für die Schweiz am 18. Dez. 2019 (AS 2024 294; BBl 2023 999).

4 Eingefügt durch die von der Konferenz der Vertragsparteien am 18. Dez. 2019 angenommen Änderung, in Kraft getreten für die Schweiz am 18. Dez. 2019 (AS 2024 294; BBl 2023 999).

5 Fassung gemäss der von der Konferenz der Vertragsparteien am 18. Dez. 2019 angenommen Änderung, in Kraft getreten für die Schweiz am 18. Dez. 2019 (AS 2024 294; BBl 2023 999).

6 Eingefügt durch die von der Konferenz der Vertragsparteien am 18. Dez. 2019 angenommen Änderung, in Kraft getreten für die Schweiz am 18. Dez. 2019 (AS 2024 294; BBl 2023 999).

7 Fassung gemäss der von der Konferenz der Vertragsparteien am 22. Juni 2017 angenommen Änderung, in Kraft getreten für die Schweiz am 1. Okt. 2024 (AS 2024 294; BBl 2023 999).

8 Fassung gemäss der von der Konferenz der Vertragsparteien am 22. Juni 2017 angenommen Änderung, in Kraft getreten für die Schweiz am 1. Okt. 2024 (AS 2024 294; BBl 2023 999).

9 Fassung gemäss der von der Konferenz der Vertragsparteien am 22. Juni 2017 angenommen Änderung, in Kraft getreten für die Schweiz am 1. Okt. 2024 (AS 2024 294; BBl 2023 999).

10 Fassung gemäss der von der Konferenz der Vertragsparteien am 22. Juni 2017 angenommen Änderung, in Kraft getreten für die Schweiz am 1. Okt. 2024 (AS 2024 294; BBl 2023 999).

11 Eingefügt durch die von der Konferenz der Vertragsparteien am 22. Juni 2017 angenommen Änderung, in Kraft getreten für die Schweiz am 1. Okt. 2024 (AS 2024 294; BBl 2023 999).

Besondere Bestimmungen

Verpflichtungen der Staaten

Art. 3 Verbot der Einbringung und Einleitung

(1)  Es ist verboten, von Fahrzeugen aus Schiffsabfälle und Teile der Ladung in die Anlage 1 genannte Wasserstrassen einzubringen oder einzuleiten oder auf den in Anlage 1 genannten Wasserstrassen Dämpfe in die Atmosphäre freizusetzen.12

(2)  Die Vertragsstaaten tragen dafür Sorge, dass das in Absatz 1 genannte Verbot eingehalten wird.

(3)  Ausnahmen von diesem Verbot sind nur in Übereinstimmung mit Anlage 2 und den dazu gehörigen Anhängen, im Folgenden als «Anwendungsbestimmung» bezeichnet, zulässig.

12 Fassung gemäss der von der Konferenz der Vertragsparteien am 22. Juni 2017 angenommen Änderung, in Kraft getreten für die Schweiz am 1. Okt. 2024 (AS 2024 294; BBl 2023 999).

Art. 4 Annahmestellen

(1)  Die Vertragsstaaten verpflichten sich, an den in Anlage 1 genannten Wasserstrassen ein ausreichend dichtes Netz von Annahmestellen einzurichten oder einrichten zu lassen und dies international abzustimmen.

(2)  Die Vertragsstaaten führen entsprechend der Anwendungsbestimmung ein einheitliches Verfahren zur Sammlung und zur Abgabe von Schiffsabfällen an den Annahmestellen ein. Das Verfahren schliesst für die in Artikel 1 Buchstaben c, d und f genannten Abfälle einen Nachweis über die ordnungsmässige Abgabe dieser Abfälle ein. Die ordnungsgemässe Abgabe von Slops und Klärschlamm im Sinne des Teils C der Anwendungsbestimmung ist nach den innerstaatlichen Bestimmungen nachzuweisen.

(3)  Die Annahmestellen sind verpflichtet, die Schiffsabfälle entsprechend dem in der Anwendungsbestimmung festgelegten Verfahren anzunehmen.

(4)  Die Vertragsstaaten tragen Sorge dafür, dass die Annahmestellen ihrer Annahmepflicht für Schiffsabfälle entsprechend den innerstaatlichen Bestimmungen nachkommen.

Art. 6 Finanzierung der Annahme und Entsorgung der öl- und
fetthaltigen Schiffsbetriebsabfälle

(1)  Die Finanzierung der Annahme und Entsorgung der öl- und fetthaltigen Schiffsbetriebsabfälle erfolgt über eine Entsorgungsgebühr, die von motorgetriebenen Fahrzeugen, soweit sie Gasöl verwenden, erhoben wird; ausgenommen sind Seeschiffe. Die Höhe der Entsorgungsgebühr ist in allen Vertragsstaaten gleich. Sie wird auf der Grundlage der Summe der Annahme- und Entsorgungskosten nach Abzug der möglichen Erlöse aus der Verwertung der öl- und fetthaltigen Schiffsbetriebsabfälle und der Menge des gelieferten Gasöls nach dem in Teil A der Anwendungsbestimmung festgelegten Verfahren festgesetzt. Sie wird an die Kostenentwicklung angepasst. Zur Förderung der Abfallvermeidung sollen Kriterien ausgearbeitet und bei der Festsetzung der Höhe der Entsorgungsgebühr berücksichtigt werden.

Sämtliche entrichteten Entsorgungsgebühren sind ausschliesslich für die Finanzierung der Annahme und der Entsorgung der öl- und fetthaltigen Schiffsbetriebsabfälle zu verwenden.

(2)  Das in Absatz 1 genannte Verfahren wird bei Bedarf unter Berücksichtigung der bei der Anwendung des Systems gewonnenen Erfahrungen überprüft.

(3)  Die Entrichtung der Entsorgungsgebühr berechtigt zur Abgabe der öl- und fetthaltigen Schiffsbetriebsabfälle an den von den innerstaatlichen Institutionen bezeichneten Annahmestellen.

(4)  Die Vertragsstaaten stellen sicher, dass die Schiffsführer und die Bunkerstellen die ihnen nach Teil A der Anwendungsbestimmung obliegenden Verpflichtungen insbesondere bei jeder Gasöllieferung erfüllen.

Art. 7 Finanzierung der Annahme und Entsorgung
von sonstigen Schiffsbetriebsabfällen

(1)  In Häfen, an Umschlagsanlagen sowie an Liegestellen und Schleusen werden für die Annahme und Entsorgung von Hausmüll keine besonderen Gebühren erhoben.

(2)  Hinsichtlich der Annahme und Entsorgung von übrigem Sonderabfall werden die Vertragsstaaten abgestimmte Regelungen in bezug auf ein Finanzierungssystem treffen, bei dem die Kosten für die Annahme und Entsorgung der genannten Abfälle in den Hafen- oder Liegeplatzgebühren inbegriffen sind oder dem Fahrzeug anderweitig auferlegt werden, unabhängig davon, ob es die genannten Abfälle abgibt oder nicht.

(3)  Bei Fahrgastschiffen können die Kosten für die Annahme und Entsorgung von häuslichem Abwasser und Klärschlamm sowie von Hausmüll und übrigem Sonderabfall dem Schiffsführer gesondert angelastet werden.

(4)  Die Kosten für die Annahme und Entsorgung von Slops können dem Schiffsführer gesondert angelastet werden.

Art. 8 Finanzierung der Restentladung, des Waschens sowie der Annahme und Entsorgung von Abfällen aus dem Ladungsbereich

(1)  Der Befrachter oder der Ladungsempfänger trägt die Kosten für die Restentladung und das Waschen des Fahrzeugs sowie für die Annahme und Entsorgung der Abfälle aus dem Ladungsbereich entsprechend Teil B der Anwendungsbestimmung.

(1a)  Der Befrachter trägt die Kosten für das Entgasen des Fahrzeugs entsprechend Teil B der Anwendungsbestimmung.13

(2)  Wenn das Fahrzeug vor dem Beladen dem vorgeschriebenen Entladungsstandard nicht entspricht und wenn der von der vorangegangenen Beförderung betroffene Ladungsempfänger oder Befrachter seine Verpflichtungen erfüllt hat, trägt der Frachtführer die Kosten für die Restentladung; und:

a)
im Falle des Waschens die Kosten für das Waschen;
b)
im Falle des Entgasens die Kosten für das Entgasen,

des Fahrzeugs sowie für die Annahme und Entsorgung der Abfälle aus dem Ladungsbereich.14

13 Eingefügt durch die von der Konferenz der Vertragsparteien am 22. Juni 2017 angenommen Änderung, in Kraft getreten für die Schweiz am 1. Okt. 2024 (AS 2024 294; BBl 2023 999).

14 Fassung gemäss der von der Konferenz der Vertragsparteien am 22. Juni 2017 angenommen Änderung, in Kraft getreten für die Schweiz am 1. Okt. 2024 (AS 2024 294; BBl 2023 999).

Art. 9 Innerstaatliche Institution

(1)  Jeder Vertragsstaat bezeichnet eine innerstaatliche Institution, die für die Organisation des einheitlichen Systems zur Finanzierung der Annahme und Entsorgung öl- und fetthaltiger Schiffsbetriebsabfälle nach Massgabe des Teils A der Anwendungsbestimmung verantwortlich ist.

(2)  Die Zusammensetzung sowie die Einzelheiten der Organisation und der Arbeitsweise der innerstaatlichen Institution werden durch innerstaatliche Regelungen der Vertragsstaaten festgelegt. Der innerstaatlichen Institution müssen Vertreter des Binnenschifffahrtsgewerbes angehören.

(3)  Die Betriebs- und Verwaltungskosten jeder innerstaatlichen Institution werden von dem jeweiligen Vertragsstaat getragen.

Art. 10 Internationaler Finanzausgleich – Internationale Ausgleichs- und
Koordinierungsstelle

(1)  Der internationale Finanzausgleich erfolgt nach diesem Übereinkommen sowie nach Teil A seiner Anwendungsbestimmung.

(2)  Es wird eine internationale Ausgleichs- und Koordinierungsstelle eingerichtet. Sie hat unter anderem:

a)
den Finanzausgleich zwischen den innerstaatlichen Institutionen bei der Annahme und Entsorgung von öl- und fetthaltigen Schiffsbetriebsabfällen nach dem von ihr auf der Grundlage des Teils A der Anwendungsbestimmung bestimmten Verfahren zu gewährleisten;
b)
zu prüfen, inwieweit das vorhandene Netz der Annahmestellen unter Berücksichtigung der Bedürfnisse der Schifffahrt und der Wirtschaftlichkeit der Entsorgung einer Anpassung bedarf;
c)
das System zur Finanzierung der Annahme und Entsorgung von öl- und fetthaltigen Schiffsbetriebsabfällen nach Artikel 6 aufgrund der in der Praxis gesammelten Erfahrungen jährlich zu bewerten;
d)
Vorschläge für die Anpassung der Höhe der Entsorgungsgebühr an die Kostenentwicklung zu unterbreiten;
e)
Vorschläge für die finanzielle Berücksichtigung technischer Massnahmen zur Abfallvermeidung zu unterbreiten.

Sie setzt sich aus je zwei Vertretern der innerstaatlichen Institutionen zusammen, von denen jeweils einer das nationale Binnenschifffahrtsgewerbe vertritt.

(3)  Die internationale Ausgleichs- und Koordinierungsstelle gibt sich eine Geschäftsordnung, die einstimmig beschlossen wird und in der die Einzelheiten des internationalen Finanzausgleichs festgelegt werden.

(4)  Die Organisation der internationalen Ausgleichs- und Koordinierungsstelle ist in Teil A der Anwendungsbestimmung festgelegt.

(5)  Das Sekretariat der internationalen Ausgleichs- und Koordinierungsstelle wird vom Sekretariat der Zentralkommission für die Rheinschifffahrt wahrgenommen.

(6)  Die Kosten der internationalen Ausgleichs- und Koordinierungsstelle werden im Voraus für das folgende Jahr in einem Haushaltsplan veranschlagt, zu dem die Vertragsstaaten zu gleichen Teilen beitragen.

Verpflichtungen und Rechte der Beteiligten

Art. 11 Allgemeine Sorgfaltspflicht

Der Schiffsführer, die übrige Besatzung sowie sonstige Personen an Bord, der Befrachter, der Frachtführer, der Ladungsempfänger, die Betreiber der Umschlagsanlagen sowie die Betreiber der Annahmestellen müssen die nach den Umständen gebotene Sorgfalt anwenden, um eine Verschmutzung der Wasserstrasse und der Atmosphäre zu vermeiden, die Menge des entstehenden Schiffsabfalls so gering wie möglich zu halten und eine Vermischung verschiedener Abfallarten soweit wie möglich zu vermeiden.15

15 Fassung gemäss der von der Konferenz der Vertragsparteien am 22. Juni 2017 angenommen Änderung, in Kraft getreten für die Schweiz am 1. Okt. 2024 (AS 2024 294; BBl 2023 999).

Art. 12 Verpflichtungen und Rechte des Schiffsführers

(1)  Der Schiffsführer kann die Schiffsabfälle nach Massgabe der Anwendungsbestimmung an den Annahmestellen jedes Vertragsstaats abgeben.

(2)  Der Schiffsführer hat die in der Anwendungsbestimmung vorgesehenen Verpflichtungen einzuhalten. Insbesondere hat er, soweit in der Anwendungsbestimmung keine Ausnahme vorgesehen ist, das Verbot zu beachten, vom Fahrzeug aus Schiffsabfälle und Teile der Ladung in die Wasserstrasse einzubringen oder einzuleiten oder in die Atmosphäre freizusetzen.16

(3)  Ist kein Schiffsführer verantwortlich zu machen, so ist jeweils der Frachtführer, der Ausrüster oder der Schiffseigner in der genannten Reihenfolge für die Einhaltung der Verpflichtungen aus diesem Übereinkommen zur Verantwortung zu ziehen.

16 Fassung gemäss der von der Konferenz der Vertragsparteien am 22. Juni 2017 angenommen Änderung, in Kraft getreten für die Schweiz am 1. Okt. 2024 (AS 2024 294; BBl 2023 999).

Art. 1317 Verpflichtungen des Frachtführers, des Befrachters und des Ladungsempfängers sowie der Betreiber von Umschlagsanlagen und Annahmestellen

Der Frachtführer, der Befrachter, der Ladungsempfänger sowie die Betreiber von Umschlagsanlagen und Annahmestellen haben ihre jeweiligen Verpflichtungen nach Massgabe der Anwendungsbestimmung zu erfüllen. Sie können sich zur Erfüllung ihrer Verpflichtungen eines Dritten bedienen.

17 Fassung gemäss der von der Konferenz der Vertragsparteien am 22. Juni 2017 angenommen Änderung, in Kraft getreten für die Schweiz am 1. Okt. 2024 (AS 2024 294; BBl 2023 999).

Konferenz der Vertragsparteien

Art. 14 Organisation und Zuständigkeit

(1)  Die Vertragsparteien richten eine Konferenz der Vertragsparteien ein, die mit der Überwachung der Durchführung dieses Übereinkommens beauftragt wird.

Diese Konferenz tritt einmal im Jahr zusammen. Sie kann auf Antrag von mindestens zwei Vertragsparteien zu einer ausserordentlichen Sitzung einberufen werden.

(2)  Die Konferenz prüft und beschliesst Änderungen dieses Übereinkommens und seiner Anlagen nach dem in Artikel 19 festgelegten Verfahren.

(3)  Die Konferenz beschliesst auf Vorschlag der internationalen Ausgleichs- und Koordinierungsstelle:

a)
den jährlichen Finanzausgleich;
b)
die Festsetzung der Entsorgungsgebühr für das folgende Jahr nach dem in Artikel 6 festgelegten Verfahren;
c)
Verfahrensänderungen beim vorläufigen und jährlichen Finanzausgleich;
d)
Ermässigungen der Entsorgungsgebühr infolge technischer Massnahmen zur Abfallvermeidung auf Fahrzeugen.

Die Konferenz empfiehlt den Vertragsstaaten auf Vorschlag der internationalen Ausgleichs- und Koordinierungsstelle die Anpassung des vorhandenen Netzes der Annahmestellen.

(4)  Die Konferenz entscheidet über Streitigkeiten betreffend die Auslegung und Anwendung dieses Übereinkommens sowie über Streitigkeiten in der internationalen Ausgleichs- und Koordinierungsstelle, ohne dass dies zur Aussetzung des laufenden vorläufigen Finanzausgleichs führen kann.

(5)  Die Konferenz gibt sich eine Geschäftsordnung, die einstimmig beschlossen wird.

(6)  Die Konferenz veranschlagt im Voraus für das folgende Jahr ihren Haushaltsplan, zu dem die Vertragsparteien zu gleichen Teilen beitragen.

Art. 15 Sekretariat

Für die Zwecke dieses Übereinkommens wird das Sekretariat der Konferenz der Vertragsparteien vom Sekretariat der Zentralkommission für die Rheinschifffahrt wahrgenommen.

Sanktionen

Art. 16 Sanktionen

Die Vertragsstaaten verfolgen die in ihrem Hoheitsgebiet begangenen Verstösse gegen die in diesem Übereinkommen und seiner Anwendungsbestimmung festgelegten Ge- und Verbote entsprechend ihren jeweiligen innerstaatlichen Bestimmungen.

 Schlussbestimmungen

Art. 17 Unterzeichnung, Ratifikation und Beitritt

(1)  Dieses Übereinkommen liegt vom 1. Juni 1996 bis zum 30. September 1996 für die Bundesrepublik Deutschland, das Königreich Belgien, die Französische Republik, das Grossherzogtum Luxemburg, das Königreich der Niederlande und die Schweizerische Eidgenossenschaft zur Unterzeichnung auf.

(2)  Dieses Übereinkommen bedarf der Ratifikation, Annahme oder Genehmigung durch die Unterzeichnerstaaten. Die Ratifikations-, Annahme-, oder Genehmigungsurkunden werden beim Generalsekretär der Zentralkommission für die Rheinschifffahrt hinterlegt.

(3)  Nach Inkrafttreten steht dieses Übereinkommen für alle Staaten zum Beitritt offen, deren Binnenwasserstrassen mit denen der Vertragsstaaten in Verbindung stehen. Die Beitrittsurkunden werden beim Generalsekretär der Zentralkommission für die Rheinschifffahrt hinterlegt.

Art. 18 Inkrafttreten

Dieses Übereinkommen tritt am ersten Tag des zweiten Monats nach Hinterlegung der letzten Ratifikations-, Annahme-, oder Genehmigungsurkunde der Unterzeichnerstaaten in Kraft. Für jede andere Vertragspartei tritt es am ersten Tag des zweiten Monats nach der Hinterlegung ihrer Beitrittsurkunde in Kraft.

Art. 19 Änderungen des Übereinkommens und seiner Anlagen

(1)  Jede Vertragspartei kann Änderungen dieses Übereinkommens und seiner Anlagen vorschlagen. Änderungsvorschläge werden auf der Konferenz der Vertragsparteien geprüft.

(2)  Der Wortlaut jedes Änderungsvorschlags und die Begründung dafür werden dem Verwahrer vorgelegt, der den Vorschlag den Vertragsparteien spätestens drei Monate vor dem Beginn der Konferenz übermittelt. Alle zu einem solchen Vorschlag eingegangenen Stellungnahmen werden den Vertragsparteien durch den Verwahrer übermittelt.

(3)  Änderungen dieses Übereinkommens und seiner Anlagen werden einstimmig beschlossen.

(4)  Änderungen dieses Übereinkommens bedürfen der Ratifikation, Annahme oder Genehmigung durch die Vertragsparteien. Sie treten am ersten Tag des sechsten Monats nach der Hinterlegung der letzten Ratifikations-, Annahme- oder Genehmigungsurkunde beim Verwahrer in Kraft.

(5)  Änderungen der Anlagen dieses Übereinkommens treten zu dem vereinbarten Zeitpunkt, spätestens neun Monate nach der Beschlussfassung, in Kraft, sofern nicht eine Vertragspartei dem Verwahrer binnen sechs Monaten mitteilt, dass sie diese Änderungen ablehnt.

Art. 20 Kündigung

(1)  Dieses Übereinkommen kann von einer Vertragspartei jederzeit nach Ablauf von fünf Jahren nach dem Tag, an dem das Übereinkommen für diese Vertragspartei in Kraft getreten ist, durch eine an den Verwahrer gerichtete Notifikation gekündigt werden.

(2)  Die Kündigung wird am ersten Tag des Monats, der auf den Ablauf eines Jahres nach Eingang der Notifikation folgt, frühestens aber nach Abschluss des jährlichen Finanzausgleichs für das vergangene Geschäftsjahr oder nach Ablauf eines in der Notifikation bestimmten längeren Zeitabschnitts wirksam.

Art. 21 Verwahrer

(1)  Der Generalsekretär der Zentralkommission für die Rheinschifffahrt ist Verwahrer dieses Übereinkommens. Er veranlasst die Aufnahme eines Protokolls über die Hinterlegung der Ratifikations-, Annahme-, Genehmigungs- oder Beitrittsurkunden und übermittelt allen in Artikel 17 Absatz 1 genannten Parteien sowie allen Parteien, die diesem Übereinkommen beigetreten sind, eine beglaubigte Abschrift dieser Urkunden sowie des Hinterlegungsprotokolls.

(2)  Der Verwahrer übermittelt allen in Artikel 17 Absatz 1 genannten Parteien sowie allen anderen Parteien, die diesem Übereinkommen beigetreten sind, beglaubigte Abschriften des Übereinkommens in den in Artikel 22 genannten Sprachen.

(3)  Der Verwahrer übermittelt unverzüglich den in Artikel 17 Absatz 1 genannten Parteien sowie allen Parteien, die diesem Übereinkommen beigetreten sind, beziehungsweise unterrichtet sie über:

a)
jede weitere Unterzeichnung sowie den Tag, an dem die Unterzeichnung stattgefunden hat;
b)
die in Artikel 19 Absatz 2 genannten Dokumente;
c)
die Texte jeder Änderung dieses Übereinkommens und seiner Anlagen in den in Artikel 22 genannten Sprachen;
d)
den Tag des Inkrafttretens dieses Übereinkommens sowie der Änderungen dieses Übereinkommens und seiner Anlagen;
e)
Mitteilungen der Vertragsparteien, dass sie einer Änderung der Anlagen nicht zustimmen und jede andere Mitteilung, die nach einem der Artikel dieses Übereinkommens vorgeschrieben ist;
f)
jede Kündigung dieses Übereinkommens und den Tag, an dem sie wirksam wird.
Art. 22 Sprachen

Dieses Übereinkommen ist in einer Urschrift in deutscher, französischer und niederländischer Sprache abgefasst, wobei jeder Wortlaut gleichermassen verbindlich ist.

Unterschriften

Zu Urkund dessen haben die hierzu gehörig befugten Unterzeichneten dieses Übereinkommen unterschrieben.

Geschehen zu Strassburg am 9. September 1996.

(Es folgen die Unterschriften)

Anlage 118

18 Bereinigt gemäss der von den Konferenzen der Vertragsparteien 2011–2022 verabschiedeten Beschlüsse, in Kraft getreten für die Schweiz bis zum 1. Jan. 2023 (AS 2024 295).

Wasserstrassen nach Artikel 2

Deutschland:

Alle dem allgemeinen Verkehr dienenden Binnenwasserstrassen, mit Ausnahme des deutschen Teils des Bodensees und der Rheinstrecke oberhalb Rheinfelden.

Belgien:

Alle für die Binnenschifffahrt zugänglichen Gewässer.

Frankreich:

Teil A der Anwendungsbestimmung:

Rhein, ausgebaute Mosel bis Metz
(km 298,5)

Teile B und C der Anwendungsbestimmung:

Rhein, ausgebaute Mosel bis Neuves-Maisons (km 392,45),
Kanal Niffer-Mulhouse, Kanal
zwischen der Schleuse Pont Malin
(km 0,0) und der belgisch-französischen Grenze (km 36,561), Grossschifffahrtskanal zwischen der
Schleuse Pont Malin (km 0,0) und der Schleuse Mardyck (km 143,075), Kanal zwischen Bauvin (km 0,0) und
der belgisch-französischen Grenze
(km 33,850).

Grossherzogtum Luxemburg:

Mosel

Niederlande:

Alle für die Binnenschifffahrt zugänglichen Gewässer.

Schweiz:

Rhein zwischen Basel und Rheinfelden.

Anlage 219

19 Bereinigt gemäss Beschluss vom 8. Juni 2010 (AS 2010 6379), der von den Konferenzen der Vertragsparteien 2011–2022 verabschiedeten Beschlüsse (AS 2024 295), gemäss den Beschlüssen vom 21. Juni 2023 (AS 2023 619), vom 27. Juni 2024 (AS 2024 556) und vom 12. Dez. 2024, in Kraft seit 1. Jan. 2026 (AS 2025 38).

Anwendungsbestimmung

Teil A

Sammlung, Abgabe und Annahme von öl- und fetthaltigen Schiffsbetriebsabfällen

Teil B

Sammlung, Abgabe und Annahme von Abfällen aus dem Ladungsbereich.

Teil C

Sammlung, Abgabe und Annahme von sonstigen Schiffsbetriebsabfällen.

Anhänge20

I.

Muster für ein Ölkontrollbuch

II.

Anforderungen an das Nachlenzsystem

III.

Entladungsstandards und Abgabe-/Annahmevorschriften für
die Zulässigkeit der Einleitung von Wasch-, Niederschlags- und
Ballastwasser mit Ladungsrückständen

IIIa.

Entgasungsstandards

IV.

Entladebescheinigung

V.

Grenz- und Überwachungswerte für Bordkläranlagen von Fahrgastschiffen

Teil A Sammlung, Abgabe und Annahme von öl- und fetthaltigen
Schiffsbetriebsabfällen

Kapitel I Verpflichtungen der Annahmestellen

Art. 1.01 Abgabebescheinigung

Die Betreiber der Annahmestellen bescheinigen dem Fahrzeug die Abgabe der öl- und fetthaltigen Schiffsbetriebsabfälle in dem Ölkontrollbuch nach Anhang I.

Kapitel II Verpflichtungen des Schiffsführers

Art. 2.01 Verbot der Einbringung und Einleitung

(1)  Es ist verboten, von Fahrzeugen aus öl- und fetthaltige Schiffsbetriebsabfälle in die Wasserstrasse einzubringen oder einzuleiten.

(2)  Sind die in Absatz 1 genannten Abfälle freigeworden oder drohen sie freizuwerden, muss der Schiffsführer unverzüglich die nächste zuständige Behörde darüber unterrichten. Dabei hat er den Ort des Vorfalls sowie Menge und Art des Stoffes so genau wie möglich anzugeben.

(3)  Von dem Verbot nach Absatz 1 ist die Einleitung von separiertem Wasser aus zugelassenen Bilgenentölungsbooten in die Wasserstrasse ausgenommen, wenn der maximale Restölgehalt des Auslaufs ständig und ohne vorherige Verdünnung den nationalen Bestimmungen entspricht.

Art. 2.02 Sammlung und Behandlung an Bord

(1)  Bilgenwasser gemäss Artikel 1 Buchstabe d, das aus den dort genannten Bereichen an Bord des Schiffes stammt, gilt nur dann als Bilgenwasser, wenn das ölhaltige Wasser während des Betriebs und der Instandhaltung des Schiffes entstanden ist und nicht mit anderen Stoffen als Öl verunreinigt ist. Anderweitig verunreinigtes Bilgenwasser gilt als übriger Sonderabfall im Sinne des Artikels 8.01 Buchstabe e.

Der Schiffsführer hat sicherzustellen, dass öl- und fetthaltige Schiffsbetriebsabfälle an Bord getrennt in dafür vorgesehenen Behältern beziehungsweise Bilgenwasser in den Maschinenraumbilgen gesammelt werden.

Die Behälter sind an Bord so zu lagern, dass auslaufende Stoffe leicht und rechtzeitig erkannt und zurückgehalten werden können.

(2)  Es ist verboten:

a)
an Deck gestaute lose Behälter als Altölsammelbehälter zu verwenden;
b)
Abfälle an Bord zu verbrennen;
c)
öl- und fettlösende oder emulgierende Reinigungsmittel in die Maschinenraumbilgen einzubringen. Ausgenommen hiervon sind Mittel, die die Reinigung des Bilgenwassers durch die Annahmestellen nicht erschweren.
Art. 2.03 Ölkontrollbuch, Abgabe an Annahmestellen

(1)  Jedes motorgetriebene Fahrzeug muss, soweit es Gasöl verwendet, ein gültiges Ölkontrollbuch an Bord haben, das von der zuständigen Behörde nach dem Muster des Anhangs I ausgestellt wird. Dieses Kontrollbuch ist an Bord aufzubewahren. Nach seiner Erneuerung muss das vorhergehende Kontrollbuch mindestens sechs Monate nach der letzten Eintragung an Bord aufbewahrt werden.

(2)  Die öl- und fetthaltigen Schiffsbetriebsabfälle sind in regelmässigen, durch den Zustand und den Betrieb des Fahrzeugs bestimmten Zeitabständen an die Annahmestellen gegen Nachweis abzugeben. Der Nachweis besteht aus einem Vermerk der Annahmestelle im Ölkontrollbuch.

(3)  Seeschiffe, die ein Öltagebuch nach dem Internationalen Übereinkommen zur Verhütung der Meeresverschmutzung durch Schiffe (Marpol) haben, sind von der Führung des Ölkontrollbuchs nach Absatz 1 befreit.

Kapitel III Organisation und Finanzierung der Entsorgung
von öl- und fetthaltigen Schiffsbetriebsabfällen

Art. 3.01 Begriffsbestimmungen

Im Sinne dieses Kapitels bedeutet der Ausdruck:

a)
«Schiffsbetreiber» diejenige natürliche oder juristische Person, die die laufenden Ausgaben im Zusammenhang mit dem Schiffsbetrieb, insbesondere für den Kauf des verwendeten Kraftstoffs trägt, ersatzweise der Schiffseigner;
b)
«SPE-CDNI» elektronisches Zahlungssystem, das Konten (ECO-Konten), Magnetkarten (ECO-Karten) und mobile elektronische Terminals umfasst;
c)
«ECO-Konto» ein auf den Namen des Schiffsbetreibers lautendes Konto bei einer Innerstaatlichen Institution, das für die Zahlung der in Artikel 3.03 genannten Entsorgungsgebühr bestimmt ist;
d)
«ECO-ID» eine eindeutige Identifikationsnummer, die mit einem Schiff und einem zugehörigen ECO-Konto durch den Schiffsbetreiber verknüpft wird und Zugang zur autorisierten Nutzung der App ermöglicht;
e)
«App» eine Anwendung, die eine für die Zahlung der Entsorgungsgebühr bestimmte Software enthält und als Anwendung über ein mobiles Gerät oder über eine Internet-Website verfügbar ist und folgende Funktionen enthält:
die Erzeugung und Anzeige der 2-D Barcodes, die die ECO-ID enthalten,
die Auslösung einer Transaktion für die Entsorgungsgebühr durch die Bunkerstelle, und
die Freigabe der Zahlung der Entsorgungsgebühr durch den Schiffsführer oder den Schiffsbetreiber;
f)
«2D Barcode» ein eindeutiger Barcode, der eine Identifizierung ermöglicht. 2D Barcodes können auf einem Smartphone, Tablet, PC angezeigt werden oder analog ausgedruckt werden.
Art. 3.02 Innerstaatliche Institution

Die innerstaatliche Institution erhebt die Entsorgungsgebühr und legt der internationalen Ausgleichs- und Koordinierungsstelle Vorschläge zur Festlegung des innerstaatlich erforderlichen Netzes der Annahmestellen vor. Sie hat ferner insbesondere die Aufgabe, nach einem international einheitlichen Muster regelmässig die Mengen der entsorgten öl- und fetthaltigen Schiffsbetriebsabfälle und die Summe der erhobenen Entsorgungsgebühren zu erfassen. Die innerstaatliche Institution oder die zuständige Behörde überwacht die Kosten der Entsorgung. Die innerstaatliche Institution ist in der internationalen Ausgleichs- und Koordinierungsstelle vertreten und hat insbesondere die von dieser Stelle festgestellten vorläufigen und endgültigen Finanzausgleichsbeträge zum festgesetzten Zeitpunkt an andere innerstaatliche Institutionen zu erbringen.

Art. 3.03 Erhebung der Entsorgungsgebühr

(1)  Die Entsorgungsgebühr beträgt 12 Euro (zuzüglich MWSt) pro 1000 l gelieferten Gasöls. Das Volumen des verkauften Gasöls entspricht dem Volumen bei 15 °C.

(2)  Schuldner der Entsorgungsgebühr ist der Schiffsbetreiber.

(3)  Die Entsorgungsgebühr wird beim Bunkern fällig. Sie muss als Transaktionssumme proportional zur gelieferten Gasölmenge sein.

(4)  Die Entsorgungsgebühr wird über das SPE-CDNI entrichtet. Das SPE-CDNI wird von den innerstaatlichen Institutionen betrieben.

(5)  Das Verfahren zur Entrichtung der Entsorgungsgebühr mittels SPE-CDNI beruht auf dem Grundsatz der Zahlung eines angemessenen Betrages durch den Schiffsbetreiber an eine innerstaatliche Institution, mit der die künftig geschuldeten Entsorgungsgebühren beglichen werden. Das Verfahren umfasst folgende Bestandteile:

a)
die Eröffnung eines ECO-Kontos durch den Schiffsbetreiber oder seinen Beauftragten bei der innerstaatlichen Institution seiner Wahl;
b)
die Ausstellung einer oder mehrerer ECO-Karten, die zu dem an der Gebührentransaktion beteiligten ECO-Konto Zugang geben, durch diese innerstaatliche Institution;
c)
die Überweisung eines ausreichenden Betrages durch den Schiffsbetreiber oder seinen Beauftragten zugunsten des betreffenden ECO-Kontos auf das Bankkonto der betreffenden innerstaatlichen Institution zur Zahlung der Entsorgungsgebühr;
d)
die Abbuchung der Entsorgungsgebühr vom betreffenden ECO-Konto beim Bunkern mittels ECO-Karte und die Abwicklung der Transaktion über ein mobiles elektronisches Terminal durch die Bunkerstelle. Hierfür händigt der Schiffsführer der Bunkerstelle während des Bunkervorgangs die ECO-Karte aus;
e)
die Übermittlung der zur Anmeldung im elektronischen System erforderlichen Daten an die Schiffsführer und an die Bunkerstellen durch das elektronische System;
f)
das Erstellen einer ECO-ID pro Fahrzeug des Schiffsbetreibers oder seines Beauftragten, die mit dem an den künftigen Gebührentransaktionen beteiligten ECO-Konto verbunden ist durch das elektronische System;
g)
die Überweisung eines ausreichenden Betrages durch den Schiffsbetreiber oder seinen Beauftragten zugunsten des betreffenden ECO-Kontos auf das Bankkonto der betreffenden innerstaatlichen Institution zur Zahlung der Entsorgungsgebühr;
h)
die Abbuchung der Entsorgungsgebühr vom betreffenden ECO-Konto beim Bunkern und die Abwicklung der Transaktion mittels des elektronischen Systems. Hierfür zeigt der Schiffsführer der Bunkerstelle den 2D Barcode.

(6)  Abweichend von Absatz 4 erfolgt die Entrichtung der Entsorgungsgebühr durch den Schiffsbetreiber in den folgenden Fällen im Wege eines schriftlichen Verfahrens:

a)
das SPE-CDNI ist nicht verfügbar oder außer Betrieb;
b)
der Schiffsführer kann keinen 2D Barcode vorlegen oder der vorgelegte 2D Barcode ist ungültig;
c)
das Guthaben auf dem ECO-Konto ist nicht ausreichend.

(7)  In den unter Absatz 6 genannten Fällen übermittelt die Bunkerstelle der innerstaatlichen Institution des Landes, in dem das Bunkern stattgefunden hat, innerhalb eines Zeitraums von nicht mehr als sieben Kalendertagen die Angaben, die für die Entrichtung der Entsorgungsgebühr in Bezug auf die entsprechende Lieferung von Gasöl erforderlich sind. Die innerstaatliche Institution trifft die erforderlichen Massnahmen für die Erhebung der geschuldeten Gebühren. Gegebenenfalls kann sie den Vorgang einer der anderen nationalen Institutionen übergeben.

(8)  Für Transaktionen, die unter Absatz 6 Buchstabe b) und c) fallen, hat der Schiffsbetreiber an die forderungsstellende innerstaatliche Institution, Verwaltungsgebühren zu entrichten; die Höhe dieser Gebühren wird von der Internationalen Ausgleichs- und Koordinierungsstelle für alle Vertragsparteien einheitlich festgelegt.

(9)  Eine innerstaatliche Institution kann in Einzelfällen, in denen die Anwendung des Verfahrens laut Absatz 4 und 5 im Hinblick auf die Zweckmässigkeit der Entrichtung aus Sicht dieser innerstaatlichen Institution nicht angemessen ist, einzelne Ausnahmeregelungen in Bezug auf die Lieferung von Gasöl und die Entrichtung der Entsorgungsgebühr treffen. Diese Ausnahmeregelungen, die der Internationalen Ausgleichs- und Koordinierungsstelle bekannt zu machen sind, müssen den sonstigen Bestimmungen dieses Kapitels entsprechen.

(10)  Die Einzelheiten der in diesem Artikel genannten Verfahren sind nach Abstimmung in der internationalen Ausgleichs- und Koordinierungsstelle innerstaatlich festzulegen.

Art. 3.04 Kontrolle der Erhebung der Entsorgungsgebühr und der Kosten der Annahme und Entsorgung

(1)  Bei jedem Bezug von Gasöl ist durch die Bunkerstelle ein Bezugsnachweis für Gasöl auszufertigen. Dieser soll mindestens die folgenden Angaben enthalten: Name des Fahrzeugs, einheitliche europäische Schiffsnummer oder eine andere Angabe zur eindeutigen Identifizierung des Fahrzeugs, Name des Schiffsbetreibers oder des Schiffsführers, bezogene/abgegebene Gasölmenge (in Liter entsprechend dem Volumen bei 15°C, auf den nächsten vollen Liter gerundet), Ort und Datum, Unterschrift des Schiffsführers und der Bunkerstelle.

(2)  Die vom SPE-CDNI für die Gebührentransaktion ausgegebene Quittung wird elektronisch erstellt. Der Schiffsführer erhält eine Kopie des Bezugsnachweises für Gasöl und der elektronischen Quittung nach Satz 1. Der Schiffsführer hat den Bezugsnachweis für Gasöl und die jederzeit lesbar zu machende elektronische Quittung zwölf Monate an Bord aufzubewahren. Eine weitere Ausfertigung des Bezugsnachweises für Gasöl bzw. die jederzeit elektronisch lesbar zu machende elektronische Quittung verbleibt zwölf Monate bei der Bunkerstelle.

(3)  Bei Anwendung des schriftlichen Verfahrens nach Artikel 3.03 Absatz 6 vermerkt die Bunkerstelle auf dem Bezugsnachweis, dass der Schiffsbetreiber die Entsorgungsgebühr nicht entrichtet hat.

(4)  Die Übereinstimmung zwischen den von den Fahrzeugen bezogenen Gasölmengen und der Summe der entrichteten Entsorgungsgebühren wird durch die innerstaatliche Institution oder durch die zuständige Behörde anhand der von den Bunkerstellen vorzulegenden Bezugsnachweise für Gasöl und elektronischen Quittungen kontrolliert.

(5)  Die zuständige Behörde kann an Bord der Fahrzeuge oder aus der Ferne über eine Einsichtnahme in das elektronische Bezahlsystem die Entrichtung der Entsorgungsgebühr sowie die entsorgten Mengen der öl- und fetthaltigen Schiffsbetriebsabfälle, insbesondere durch Vergleich der in den geeigneten Borddokumenten eingetragenen Fahrten mit den im Bezugsnachweis für Gasöl oder in elektronischen Quittungen enthaltenen Angaben kontrollieren.

(6)  Die innerstaatliche Institution oder die zuständige Behörde kann bei den Annahmestellen die Angaben über die entsorgten Mengen sowie die Kosten der Entsorgung anhand der geeigneten Dokumente kontrollieren.

(7)  Die innerstaatliche Institution oder die zuständige Behörde kann bei den Bunkerstellen die Angaben über die an gebührenpflichtige Schiffe gelieferten Mengen an Gasöl kontrollieren.

(8)  Die Einzelheiten der in diesem Artikel genannten Verfahren sind nach Abstimmung in der internationalen Ausgleichs- und Koordinierungsstelle innerstaatlich festzulegen.

Kapitel IV Internationaler Finanzausgleich

Art. 4.01 Internationale Ausgleichs- und Koordinierungsstelle

(1)  Die Internationale Ausgleichs- und Koordinierungsstelle tritt einmal jährlich im letzten Quartal zusammen, um den Finanzausgleich des vergangenen Jahres zu verabschieden und gegebenenfalls der Konferenz der Vertragsparteien eine Änderung der Höhe des Entsorgungsgebühr sowie eine etwa notwendige Anpassung des vorhandenen Netzes der Annahmestellen unter Berücksichtigung der Bedürfnisse der Schifffahrt und der Wirtschaftlichkeit der Entsorgung vorzuschlagen. Sie kann jederzeit auf Vorschlag des Sekretariats zusammentreten oder wenn die Vertreter zweier innerstaatlicher Institutionen dies verlangen.

(2)  Die Internationale Ausgleichs- und Koordinierungsstelle legt einheitliche Verfahren und Modalitäten für die Durchführung der vorläufigen und jährlichen Finanzausgleiche fest.

(3)  Alle finanziellen Transaktionen im Zusammenhang mit der Entsorgungsgebühr erfolgen in Euro.

Art. 4.02 Vorläufiger Finanzausgleich

(1)  Die innerstaatlichen Institutionen melden dem Sekretariat der Internationalen Ausgleichs- und Koordinierungsstelle vierteljährlich jeweils zum 1. Februar, 1. Mai, 1. August und 1. November:

a)
die Mengen der im vorhergehenden Vierteljahr gesammelten und entsorgten öl- und fetthaltigen Abfälle;
b)
die gesamten Annahme- und Entsorgungskosten für die angegebenen Mengen nach Buchstabe a);
c)
die Mengen des an die Fahrzeuge abgegebenen Gasöls, für die eine Entsorgungsgebühr zu entrichten ist;
d)
die Summe der eingenommenen Entsorgungsgebühren;
e)
die finanziellen Auswirkungen der Massnahmen nach Artikel 6 Absatz 1 fünfter Satz des Übereinkommens.

Die Modalitäten für das Verfahren werden von der internationalen Ausgleichs- und Koordinierungsstelle festgelegt.

(2)  Die internationale Ausgleichs- und Koordinierungsstelle ermittelt auf der Grundlage der Meldungen nach Absatz 1 sowie unter Zugrundelegung des Ausgleichsverfahrens nach Artikel 4.04 für jedes abgelaufene Vierteljahr einen vorläufigen Finanzausgleich und übermittelt die Beträge innerhalb von zwei Wochen nach Eingang sämtlicher Meldungen nach Absatz 1 an die innerstaatlichen Institutionen.

(3)  Die innerstaatlichen Institutionen, die im Rahmen des vierteljährlichen Finanzausgleichs eine Zahlung zu erbringen haben, sind verpflichtet, diese Zahlung innerhalb von vier Wochen nach Eingang der Zahlungsaufforderung an die innerstaatlichen Institutionen, denen die Ausgleichszahlung zusteht, zu leisten.

Art. 4.03 Jährlicher Finanzausgleich

(1)  Die innerstaatlichen Institutionen legen dem Sekretariat der internationalen Ausgleichs- und Koordinierungsstelle ihre Jahresabrechnung für das vergangene Geschäftsjahr bis spätestens 15. Oktober des laufenden Jahres vor. Die internationale Ausgleichs- und Koordinierungsstelle legt den Finanzausgleich für das Vorjahr bei ihrer ordentlichen Sitzung fest.

(2)  Die innerstaatlichen Institutionen sind zur Leistung der aufgrund des endgültigen Finanzausgleichs nach Artikel 4.02 Absatz 3 für das Vorjahr geschuldeten Zahlungen verpflichtet.

Art. 4.04 Verfahren des Finanzausgleichs

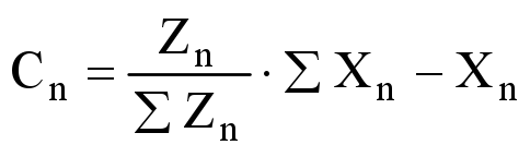
(1)  Der Finanzausgleich nach den Artikeln 4.02 und 4.03 wird für jede innerstaatliche Institution wie folgt ermittelt:

Darin bedeutet:

Cn

den Ausgleichsbetrag für eine innerstaatliche Institution N.
Vorzeichen positiv: Die Institution erhält eine Ausgleichszahlung.
Vorzeichen negativ: Die Institution muss eine Ausgleichszahlung leisten;

Xn

die Einnahmen an Entsorgungsgebühren einer innerstaatlichen Institution N nach Artikel 4.02 Absatz 1;

Zn

die tatsächlichen Annahme- und Entsorgungskosten einer innerstaatlichen Institution N nach Artikel 4.02 Absatz 1;

Σ Xn

die Summe der Einnahmen an Entsorgungsgebühren aller innerstaatlichen Institutionen;

Σ Zn

die Summe der tatsächlichen Annahme- und Entsorgungskosten aller innerstaatlichen Institutionen.

(2)  Ausgleichsbeträge Cn, die geringer sind als ein bestimmter Mindestprozentsatz der Einnahmen einer innerstaatlichen Institution N an Entsorgungsgebühren, werden nicht ausgeglichen. Der Mindestprozentsatz wird von der internationalen Ausgleichs- und Koordinierungsstelle festgelegt.

Teil B Sammlung, Abgabe und Annahme von Abfällen
aus dem Ladungsbereich

Kapitel V Allgemeine Bestimmungen

Art. 5.01 Begriffsbestimmungen

Im Sinne dieses Teiles bedeutet der Ausdruck:

a)
«Einheitstransporte»: Transporte, bei denen im Laderaum oder Ladetank des Fahrzeugs ununterbrochen nachweislich das gleiche Ladegut oder ein anderes Ladegut, dessen Beförderung keine vorherige Reinigung des Laderaums oder des Ladetanks erfordert, befördert wird;
aa)
«kompatible Transporte»: Transporte, bei denen während aufeinanderfolgender Fahrten im Laderaum oder Ladetank des Fahrzeugs nachweislich ein Ladegut befördert wird, dessen Beförderung kein vorheriges Waschen oder Entgasen des Laderaums oder des Ladetanks erfordert;
b)
«Restladung»: die flüssige Ladung, die nach dem Löschen ohne Einsatz eines Nachlenzsystems im Ladetank und im Leitungssystem verbleibt, sowie Trockenladung, die nach dem Löschen ohne den Einsatz von Besen, Kehrmaschinen oder Vakuumreinigern im Laderaum verbleibt;
c)
«Ladungsrückstände»: die flüssige Ladung, die nicht durch das Nachlenzsystem aus dem Ladetank und dem Leitungssystem entfernt werden kann, sowie trockene Ladung, die nicht durch den Einsatz von Kehrmaschinen, Besen oder Vakuumreinigern aus dem Laderaum entfernt werden kann;
d)
«Nachlenzsystem»: ein System nach Anhang II für das möglichst vollständige Entleeren der Ladetanks und des Leitungssystems bis auf nicht lenzbare Ladungsrückstände;
e)
«Umschlagsrückstände»: Ladung, die beim Umschlag ausserhalb des Laderaums auf das Schiff gelangt;
f)
«besenreiner Laderaum»: einen Laderaum, aus dem die Restladung mit Reinigungsgeräten wie Besen oder Kehrmaschinen ohne den Einsatz von saugenden oder spülenden Geräten entfernt worden ist und der nur noch Ladungsrückstände enthält;
g)
«nachgelenzter Ladetank»: einen Ladetank, aus dem die Restladung durch den Einsatz eines Nachlenzsystems entfernt worden ist und der nur noch Ladungsrückstände enthält;
h)
«vakuumreiner Laderaum»: einen Laderaum, aus dem die Restladung mittels Vakuumtechnik entfernt worden ist und der deutlich weniger Ladungsrückstände enthält als ein besenreiner Laderaum;
i)
«Restentladung» die Beseitigung der Restladung aus den Laderäumen beziehungsweise Ladetanks und Leitungssystemen durch geeignete Mittel (z.B. Besen, Kehrmaschine, Vakuumtechnik, Nachlenzsystem), durch die der Entladungsstandard:
«Laderaum besenrein», oder
«Laderaum vakuumrein», oder
«Ladetank nachgelenzt»,

erreicht wird, sowie die Beseitigung der Umschlagsrückstände und von Verpackungs- und Stauhilfsmitteln;

j)
«Waschen» die Beseitigung der Ladungsrückstände aus dem besenreinen oder vakuumreinen Laderaum oder aus dem nachgelenzten Ladetank unter Einsatz von Wasserdampf oder Wasser;
k)
«waschreiner Laderaum oder Ladetank» einen Laderaum oder Ladetank, der nach dem Waschen grundsätzlich für jede Ladungsart geeignet ist;
l)
«Waschwasser» das Wasser, das beim Waschen von besenreinen oder vakuumreinen Laderäumen oder von nachgelenzten Ladetanks anfällt. Hierzu wird auch Ballastwasser und Niederschlagswasser gerechnet, das aus diesen Laderäumen oder Ladetanks stammt;
m)
«Entgasen»: die Beseitigung von Dämpfen nach Anhang IIIa aus einem nachgelenzten Ladetank bei einer Annahmestelle unter Einsatz geeigneter Verfahren und Techniken;
n)
«Ventilieren»: die direkte Freisetzung der Dämpfe aus dem Ladetank in die Atmosphäre;
o)
«entgaster oder ventilierter Ladetank»: ein gemäss den Entgasungsstandards nach Anhang IIIa von Dämpfen befreiter Ladetank.
Art. 5.02 Verpflichtung der Vertragsstaaten

Die Vertragsstaaten verpflichten sich, die infrastrukturellen und sonstigen Voraussetzungen für die Abgabe und Annahme von Restladungen, Umschlagsrückständen, Ladungsrückständen, Waschwasser und Dämpfen zu schaffen oder schaffen zu lassen.

Art. 5.03 Seeschiffe

Dieser Teil B gilt nicht für das Laden und Löschen von Seeschiffen:

a)
in Seehäfen an Seeschifffahrtsstrassen;
b)
in Binnenhäfen, die der Europäischen Richtlinie (EU) 2019/88321 unterliegen.

21 Richtlinie (EU) 2019/883 des europäischen Parlamentes und des Rates vom 17. April 2019 über Hafenauffangeinrichtungen für die Entladung von Abfällen von Schiffen, zur Änderung der Richtlinie 2010/65 und zur Aufhebung der Richtlinie 2000/59/EG (ABl. 151 vom 7.6.2019, S.116–142).

Art. 5.04 Anwendung von Teil B bei Dämpfen

(1) Teil B findet unbeschadet:

a)
der Bestimmungen des Europäischen Übereinkommens vom 26. Mai 200022 über die internationale Beförderung von gefährlichen Gütern auf Binnenwasserstrassen (ADN) in Verbindung mit der Richtlinie 2008/68/EG des Europäischen Parlaments und des Rates vom 24. September 2008 über die Beförderung gefährlicher Güter im Binnenland; und
b)
der geänderten Richtlinie 94/63/EG des Europäischen Parlaments und des Rates vom 20. Dezember 1994 zur Begrenzung der Emissionen flüchtiger organischer Verbindungen (VOC-Emissionen) bei der Lagerung von Ottokraftstoff und seiner Verteilung von den Auslieferungslagern bis zu den Tankstellen;

in ihrer jeweils aktuellen Fassung Anwendung.

(2)  Die Bestimmungen des Anhangs IIIa gelten ergänzend zu den Bestimmungen der in Absatz 1 Buchstabe b) genannten Richtlinie.

Fahrzeuge, für die schriftlich nachgewiesen werden kann, dass sie ausserhalb des Geltungsbereichs des CDNI vorschriftsgemäss entgast haben, gelten als entgaste Schiffe im Sinne dieser Verordnung, sofern die Werte des Anhangs IIIa eingehalten werden. Die Konferenz der Vertragsparteien benennt neben der Richtlinie 94/63/EG und dem ADN die Vorschriften, die sie hinsichtlich der Entgasungsbestimmungen als gleichwertig anerkennt.

Kapitel VI Verpflichtungen des Schiffsführers

Art. 6.01 Verbot der Einbringung und Einleitung

(1)  Es ist verboten, von Fahrzeugen aus Teile der Ladung sowie Abfall aus dem Ladungsbereich in die Wasserstrasse einzubringen oder einzuleiten oder Dämpfe in die Atmosphäre freizusetzen.

(2)  Ausgenommen von dem Verbot nach Absatz 1:

a)
ist Waschwasser mit Ladungsrückständen von Gütern, für die das Einleiten in die Wasserstrasse nach Anhang III;
b)
sind Dämpfe, für die eine Freisetzung in die Atmosphäre durch Ventilieren nach Anhang IIIa ausdrücklich gestattet ist;

wenn die Bestimmungen dieser Anhänge eingehalten worden sind.

(3)  Sind:

a)
Stoffe, für die in Anhang III ausschliesslich eine Abgabe zur Sonderbehandlung; oder
b)
Dämpfe, für die in Anhang IIIa ein Entgasen;

vorgeschrieben ist, freigeworden oder drohen sie freizuwerden, muss der Schiffsführer unverzüglich die nächste zuständige Behörde darüber unterrichten.

Dabei hat er den Ort des Vorfalls sowie Menge und Art des Stoffes oder der Dämpfe so genau wie möglich anzugeben.

(4)  Die zuständige innerstaatliche Behörde beurteilt die Zulässigkeit der Einleitung oder Einbringung von Abfall aus dem Ladungsbereich von Gütern, die nicht im Güterverzeichnis nach Anhang III aufgeführt sind. Sie legt einen vorläufigen Einleitungsstandard fest.

Die Konferenz der Vertragsparteien prüft diesen Vorschlag und nimmt gegebenenfalls eine Ergänzung des Güterverzeichnisses vor.

(5)  Abweichend vom Verbot nach Absatz 1 dürfen Dämpfe freigesetzt werden, wenn dies durch einen unerwarteten Werftaufenthalt oder eine unerwartete Vor-Ort-Reparatur durch eine Werft oder eine andere Fachfirma erforderlich wird und die Dämpfe nicht einer Annahmestelle zugeführt werden können. Hierbei sind die Bestimmungen des Anhangs IIIa A 4 und des Unterabschnitts 7.2.3.7 des ADN23 zu beachten.

Art. 6.03 Entladebescheinigung

(1)  Jedes Fahrzeug, das im Geltungsbereich dieses Übereinkommens entladen wurde, muss eine gültige Entladebescheinigung an Bord haben, die nach dem Muster in Anhang IV ausgestellt sein muss.

Diese Entladebescheinigung ist nach ihrer Ausstellung mindestens sechs Monate an Bord aufzubewahren.

Bei Fahrzeugen ohne Steuerhaus und Wohnung kann die Entladebescheinigung auch an anderer Stelle als an Bord vom Frachtführer aufbewahrt werden.

(1b)  Eine Entladebescheinigung in elektronischem Format kann verwendet werden, sofern:

a)
der Datenschutz gemäss der Verordnung (EU) 2016/67924 (Datenschutz-Grundverordnung) in der jeweils geltenden Fassung oder gemäss vergleichbaren nationalen Vorschriften der Schweizerischen Eidgenossenschaft gewährleistet ist;
b)
eine fälschungssichere Signatur gemäss der Verordnung (EU) Nr. 910/201425 (eIDAS) in der jeweils geltenden Fassung oder gemäss vergleichbaren nationalen Vorschriften der Schweizerischen Eidgenossenschaft vorgesehen ist;
c)
die Datensicherheit durch Umsetzung entsprechender Vorgaben in den in Buchstabe a genannten Vorschriften gewährleistet ist und damit auch unberechtigter Zugang sicher unterbunden wird;
d)
die Überprüfbarkeit der Entladebescheinigung an Bord oder in der Unternehmensbuchführung des Schiffsbetreibers gewährleistet ist;
e)
die Überprüfbarkeit in der Unternehmensbuchführung der Identität der Person, die die Entladebescheinigung ausgestellt hat und der Person, die die Annahmestelle betreibt, gewährleistet ist.

Die Entladebescheinigung ist auf Verlangen den Bediensteten der zuständigen Behörden auszuhändigen. Die Entladebescheinigung darf in einer lesbaren elektronischen Fassung zur Verfügung gestellt werden.

(2)  Bei der Restentladung sowie bei der Abgabe und Annahme von Abfällen aus dem Ladungsbereich sind:

a)
im Falle des Waschens die Entladungsstandards und Abgabe-/Annahmevorschriften des Anhangs III;
b)
im Falle des Entgasens die Vorschriften und Entgasungsstandards des Anhangs IIIa anzuwenden.

(3)  Nach dem Beladen darf das Fahrzeug die Fahrt erst dann fortsetzen, wenn sich der Schiffsführer davon überzeugt hat, dass die Umschlagsrückstände entfernt worden sind.

(4a)  Das Fahrzeug darf nach dem Entladen die Fahrt nur unter folgenden Bedingungen fortsetzen:

Der Ladungsempfänger oder, wenn sich der Ladungsempfänger oder der Befrachter einer Umschlagsanlage bedient, der Betreiber der Umschlagsanlage hat eine Entladebescheinigung vorgelegt (Artikel 7.08).
Der Schiffsführer hat durch die Unterzeichnung von Teil 2 a) der Entladebescheinigung bestätigt, dass alle Massnahmen im Zusammenhang mit dem Entladen des Fahrzeugs wie vom Ladungsempfänger oder der Umschlagsanlage in den Feldern 1 bis 10 angegeben durchgeführt wurden. Dies schliesst die Zuweisung einer Annahmestelle für die Übernahme der Abfälle oder Dämpfe des Fahrzeugs ein (Artikel 7.01 Absatz 1).

(4b)  Während der Fahrt ist der Schiffsführer verpflichtet, folgende Angaben in Teil 2 b) der Entladebescheinigung durch Unterzeichnung zu erklären:

ob Waschwasser entstanden ist (beim Waschen während der Fahrt);
welche Menge Waschwasser an Bord entstanden ist und dessen Unterbringungsort;
ob eine kompatible Folgeladung nach dem Verlassen der Umschlagsanlage vorlag (Artikel 7.04 Absatz 3 Buchstabe c).

(5)  Auf Fahrzeuge, die Einheitstransporte durchführen, finden nur die Beseitigung und die Übernahme von Umschlagsrückständen Anwendung.

(6)  Werden Laderäume oder Ladetanks gewaschen und darf das dabei entstandene Waschwasser gemäss den Entladungsstandards und den Abgabe- und Annahmevorschriften gemäss Anhang III nicht in das Gewässer eingeleitet werden, darf das Fahrzeug die Fahrt erst fortsetzen, nachdem in der Entladebescheinigung bestätigt wurde:

dass die Umschlagsanlage das Waschwasser übernommen hat; oder
dem Schiffsführer eine Annahmestelle zugewiesen wurde; und
der Schiffsführer mitgeteilt hat, ob die Laderäume oder Ladetanks während der Fahrt gewaschen werden.

(7)  Die Absätze 1 und 4 finden keine Anwendung für Schiffe, die eingesetzt werden für:

a)
den Transport von Containern;
b)
den Transport von beweglicher Ladung (ro-ro), von Stück- und Schwergut bzw. Grossgeräten.

Die Absätze 1 und 4 finden keine Anwendung für Schiffe, die ausschliesslich eingesetzt werden für:

a)
die Lieferung von Treibstoffen, Trinkwasser und Bordvorräten an See- und an Binnenschiffe (Bevorratungsschiffe);
b)
die Sammlung öl- und fetthaltiger Abfälle der See- und Binnenschiffe;
c)
den Transport von verflüssigten Gasen (ADN Typ G);
d)
den Transport von flüssigem Schwefel, Zementpulver, Flugasche und vergleichbaren Gütern, die als Schüttgut oder pumpbare Ladung befördert werden, wobei von einem ausschließlich für die betroffene Güterkategorie geeigneten System für Beladung, Entladung und Lagerung an Bord Gebrauch gemacht wird;
e)
den Transport von Sand, Kies und/oder Baggergut von der Baggerstelle zur Entladestelle.

Diese Bestimmung findet keine Anwendung auf den Transport gemischter Ladungen mit solchen Schiffen.

Im Einzelfall kann die zuständige Behörde bei Vorlage vergleichbarerer Voraussetzungen ein Fahrzeug im Rahmen der Durchführung von Sondertransporten von der Anwendung der Absätze 1 und 4 befreien. Der Nachweis dieser Befreiung ist an Bord des Fahrzeuges mitzuführen.

(8)  Die Absätze 1 und 4 finden auch keine Anwendung auf Transporte, bei denen die Entladung in ein Seeschiff erfolgt. Der Schiffsführer hat diese Entladung anhand der entsprechenden Beförderungspapiere nachzuweisen und die Papiere auf Verlangen den Aufsichtsbehörden vorzuzeigen.

24 Verordnung (EU) 2016/679 des Europäischen Parlaments und des Rates vom 27. April 2016 zum Schutz natürlicher Personen bei der Verarbeitung personenbezogener Daten, zum freien Datenverkehr und zur Aufhebung der Richtlinie 95/46/EG (Datenschutz-Grundverordnung).

25 Verordnung (EU) Nr. 910/2014 des Europäischen Parlaments und des Rates über elektronische Identifizierung und Vertrauensdienste für elektronische Transaktionen im Binnenmarkt und zur Aufhebung der Richtlinie 1999/93/EG.

Kapitel VII Verpflichtungen des Frachtführers, des Befrachters,
des Ladungsempfängers und des Betreibers der Umschlagsanlage

Art. 7.01 Bescheinigung der Annahme

(1)  In der Entladebescheinigung nach Artikel 6.03 bestätigt der Ladungsempfänger dem Fahrzeug die Entladung, die Restentladung und, soweit ihm dies obliegt, das Waschen der Laderäume oder Ladetanks oder das Entgasen der Ladetanks sowie die Annahme von Abfällen aus dem Ladungsbereich oder gegebenenfalls die Zuweisung einer Annahmestelle. Er hat die von ihm und dem Schiffsführer ausgefüllte und unterzeichnete Entladebescheinigung nach ihrer Ausstellung mindestens sechs Monate in Kopie aufzubewahren.

(2)  Sofern der Ladungsempfänger das Waschwasser, das nicht in die Wasserstrasse eingeleitet werden darf, nicht selbst annimmt, bestätigt der Betreiber der Annahmestelle dem Fahrzeug die Annahme des Waschwassers. Er hat die von ihm, dem Ladungsempfänger und dem Schiffsführer ausgefüllte und unterzeichnete Entladebescheinigung nach ihrer Ausstellung mindestens sechs Monate in Kopie aufzubewahren.

(3)  Sofern dem Fahrzeug eine Annahmestelle zur Entgasung zugewiesen worden ist, bestätigt deren Betreiber die Entgasung des Fahrzeuges in der Entladebescheinigung. Der Betreiber hat die von ihm und dem Schiffsführer ausgefüllte und unterzeichnete Entladebescheinigung nach ihrer Ausstellung mindestens sechs Monate in Kopie aufzubewahren.

Art. 7.02 Bereitstellung des Fahrzeuges

(1)  Der Frachtführer stellt dem Befrachter das Fahrzeug mit einem solchen Entladungsstandard zur Verfügung, dass die Ladung unbeeinträchtigt befördert und abgeliefert werden kann. Dies ist in der Regel der Fall mit einem Entladungsstandard «Laderaum besenrein» oder «Ladetank nachgelenzt» und wenn das Fahrzeug frei von Umschlagsrückständen ist.

(2)  Ein höherer Entladungsstandard, das Waschen oder das Entgasen kann im Voraus schriftlich vereinbart werden. Eine Kopie dieser Vereinbarung ist an Bord des Fahrzeuges mindestens bis zum Ausfüllen der Entladebescheinigung nach Entladen und Reinigen des Fahrzeuges mitzuführen.

(3)  Mit Beginn des Beladens gilt das Fahrzeug als vom Frachtführer in einem Zustand zur Verfügung gestellt, der den Erfordernissen nach Absatz 1 oder 2 entspricht.

Art. 7.03 Beladen und Entladen

(1)  Das Beladen und das Entladen eines Fahrzeugs schliessen auch die Massnahmen zur Restentladung sowie:

a)
im Falle des Waschens für das Waschen;
b)
im Falle des Entgasens für das Entgasen;

ein, die nach diesem Teil B erforderlich sind. Restladung ist soweit wie möglich der Ladung hinzuzufügen.

(2)  Beim Beladen sorgt der Befrachter dafür, dass das Fahrzeug frei von Umschlagsrückständen bleibt. Sind dennoch Umschlagsrückstände entstanden, sorgt der Befrachter nach der Beladung für deren Beseitigung, es sei denn, es ist etwas anderes vereinbart worden.

(3)  Beim Entladen sorgt der Ladungsempfänger dafür, dass das Fahrzeug frei von Umschlagsrückständen bleibt. Sind dennoch Umschlagsrückstände entstanden, sorgt der Ladungsempfänger für deren Beseitigung. Umschlagsrückstände sind soweit wie möglich der Ladung hinzuzufügen.

Art. 7.0426 Ablieferung des Fahrzeuges

(1)  Bei trockener Ladung hat der Ladungsempfänger dafür zu sorgen, dass nach dem Entladen der Laderaum besenrein oder vakuumrein nach den Entladungsstandards und Abgabe-/ Annahmevorschriften des Anhangs III übergeben wird. Er ist verpflichtet, vorhandene Restladungen sowie Umschlagsrückstände des entladenen Fahrzeugs anzunehmen.

Bei flüssiger Ladung hat der Befrachter dafür zu sorgen, dass nach dem Entladen der Ladetank nachgelenzt übergeben wird. Die Entladung einschliesslich der Restentladung mit Hilfe eines Nachlenzsystems wird vom Schiffsführer durchgeführt, es sei denn, im Transportauftrag ist etwas anderes vereinbart worden. Die Leitung zur Annahme von Restladung muss mit einem Anschluss entsprechend Muster 1 des Anhangs II versehen sein. Bei Benutzung des bordeigenen Nachlenzsystems des Schiffes darf vor Beginn des Nachlenzvorgangs der Gegendruck in der Rohrleitungsanlage des Ladungsempfängers 3 bar nicht überschreiten. Der Betreiber der Umschlagsanlage ist verpflichtet, die Restladung anzunehmen.

(2)  Im Falle:

a)
trockener Ladung ist der Ladungsempfänger verpflichtet, für einen waschreinen Laderaum zu sorgen, wenn das Fahrzeug Güter befördert hat, deren Ladungsrückstände nach den Entladungsstandards und den Abgabe-/Annahmevorschriften des Anhangs III nicht mit dem Waschwasser in das Gewässer eingeleitet werden dürfen;
b)
flüssiger Ladung ist der Befrachter verpflichtet, für einen:
aa)
waschreinen Ladetank zu sorgen, wenn das Fahrzeug Güter befördert hat, deren Ladungsrückstände nach den Entladungsstandards und den Abgabe-/Annahmevorschriften des Anhangs III nicht mit dem Waschwasser in das Gewässer eingeleitet werden dürfen,
bb)
entgasten Ladetank zu sorgen, wenn das Fahrzeug Güter befördert hat, deren Dämpfe nach den Entgasungsstandards und den Abgabe-/Annahmevorschriften des Anhangs IIIa nicht in die Atmosphäre ventiliert werden dürfen.

Im Übrigen haben die Verantwortlichen nach Satz 1 für einen waschreinen Laderaum beziehungsweise einen waschreinen und/oder entgasten Ladetank zu sorgen, wenn dieser vor der Beladung gemäss einer Vereinbarung nach Artikel 7.02 Absatz 2 gewaschen oder entgast war.

(3)  Die Absätze 1 und 2 finden Anwendung mit folgenden Ausnahmen:

a)
Die Absätze 1 und 2 finden keine Anwendung auf Laderäume und Ladetanks von Fahrzeugen, die Einheitstransporte durchführen, sofern bei einer folgenden Ladung die Dämpfe nach Anhang IIIa von der Umschlagsanlage erfasst und nicht in die Atmosphäre freigesetzt werden. Der Frachtführer muss dies schriftlich nachweisen können. In diesem Fall muss in der Entladebescheinigung das Feld 6a) angekreuzt werden. Der Nachweis ist an Bord mitzuführen.
b)
Absatz 2 findet keine Anwendung auf Laderäume und Ladetanks von Fahrzeugen, die kompatible Transporte durchführen, sofern bei einer folgenden Ladung die Dämpfe nach Anhang IIIa von der Umschlagsanlage erfasst und nicht in die Atmosphäre freigesetzt werden. Der Frachtführer muss dies schriftlich nachweisen können. In diesem Fall muss in der Entladebescheinigung das Feld 6b) angekreuzt werden. Der Nachweis ist bis zur Entladung der kompatiblen Folgeladung an Bord mitzuführen.
Die Bestimmungen von Anhang IIIa finden keine Anwendung mehr, wenn der Schiffsführer nachweisen kann, dass nach der Beladung und vor der Abfahrt von der Umschlagsanlage:
für jeden separaten Ladetank die drei nachfolgenden Ladungen aus einem Produkt bestanden, das nicht unter das Verbot von Anhang IIIa fällt, sofern diese Tanks zu mindestens 50 % beladen waren; oder
jeder separate Ladetank zu mindestens 95 % mit einem Produkt befüllt war, das nicht unter das Verbot von Anhang IIIa fällt;
oder die Dämpfe gemäss den in Anhang IIIa vorgesehenen Bedingungen erfasst wurden.
c)
Falls zum Zeitpunkt der Entladung die Folgeladung noch nicht bekannt ist, aber es sich voraussichtlich um eine kompatible Ladung handeln wird, kann die Anwendung von Absatz 2 hinausgeschoben werden. Der Befrachter (bei flüssiger Ladung) oder der Ladungsempfänger (bei trockener Ladung) muss vorläufig eine Annahmestelle für das Waschwasser oder für eine Entgasung bezeichnen, die in die Entladebescheinigung einzutragen ist. Zusätzlich muss in der Entladebescheinigung das Feld 6c) angekreuzt werden. Sofern vor Anlauf der in der Entladebescheinigung angegebenen Annahmestelle durch den Frachtführer / Schiffsführer nachweisbar feststeht, dass die Folgeladung kompatibel ist und es bei einer folgenden Ladung möglich ist, die Dämpfe, die nach Anhang IIIa (Tabellen I bis III) nicht in die Atmosphäre freigesetzt werden dürfen, zu erfassen, gibt der Schiffsführer dies in Feld 13 von Teil 2 b) der Entladebescheinigung an. In diesem Fall braucht nicht gewaschen oder entgast zu werden. Andernfalls gelten die Bestimmungen zum Waschen oder zum Entgasen uneingeschränkt.
Der Nachweis bezüglich der kompatiblen Folgeladung ist bis zur Entladung der kompatiblen Folgeladung an Bord mitzuführen.
Die Bestimmungen von Anhang IIIa finden keine Anwendung mehr, wenn der Schiffsführer nachweisen kann, dass nach der Beladung und vor der Abfahrt von der Umschlagsanlage:
für jeden separaten Ladetank die drei nachfolgenden Ladungen aus einem Produkt bestanden, das nicht unter das Verbot von Anhang IIIa fällt, sofern diese Tanks zu mindestens 50 % beladen waren; oder
jeder separate Ladetank zu mindestens 95 % mit einem Produkt befüllt war, das nicht unter das Verbot von Anhang IIIa fällt;
oder die Dämpfe gemäss den in Anhang IIIa vorgesehenen Bedingungen erfasst wurden.

(4)  Wenn der Ladungsempfänger oder der Befrachter das Fahrzeug nach der vereinbarten Entladezeit oder den vereinbarten Liegetagen nicht entsprechend den Bestimmungen dieses Artikels sowie des Artikels 7.03 abliefert, kann der Frachtführer das Fahrzeug in den vorgeschriebenen Zustand bringen oder bringen lassen. Sämtliche Kosten einschliesslich der dadurch entstehenden Liegegelder, soweit diese nicht auf ein Verschulden des Frachtführers zurückzuführen sind, gehen zu Lasten des Ladungsempfängers oder des Befrachters.

26 Siehe Beschluss CDNI 2016-I-4

Art. 7.05 Ladungsrückstände und Waschwasser

(1)  Bei trockener Ladung ist der Ladungsempfänger verpflichtet, das Waschwasser anzunehmen, das nach dem Waschen entsprechend Artikel 7.04 Absatz 2 entstanden ist oder nach Rücksprache mit dem Frachtführer dem Schiffsführer eine Annahmestelle zuzuweisen.

(2)  Bei flüssiger Ladung ist der Befrachter verpflichtet, dem Frachtführer im Transportauftrag eine Annahmestelle für das Waschwasser zuzuweisen, das nach dem Waschen entsprechend Artikel 7.04 Absatz 2 entsteht.

(2a)  Bei flüssiger Ladung, bei der Dämpfe entstehen, die ein Entgasen nach Artikel 7.04 Absatz 2 erfordern, ist der Befrachter verpflichtet, dem Frachtführer im Transportauftrag eine Annahmestelle zuzuweisen, bei der nach der Entladung des Fahrzeuges (einschliesslich Restentladung und Beseitigung der Umschlagsrückstände) das Fahrzeug zu entgasen ist.

(3)  Die Annahmestelle soll sich in der Nähe der Umschlagsanlage oder auf dem Weg zur nächsten vom Fahrzeug anzulaufenden Umschlagsanlage befinden.

Art. 7.06 Kosten

(1)  Bei trockener Ladung hat der Ladungsempfänger die Kosten der Restentladung und des Waschens der Laderäume nach Artikel 7.04 und die Kosten einer Annahme von Waschwasser nach Artikel 7.05 Absatz 1, einschliesslich der etwa dadurch entstehenden Kosten für Wartezeiten und Umwege, zu tragen. Das gilt auch für Niederschlagswasser, das in die Laderäume gelangt ist, nachdem die Beladung begonnen hat und bevor die Entladung gemäss Artikel 7.03 Absatz 1 abgeschlossen ist, wenn nicht eine abgedeckte Beförderung vereinbart worden war.

Bei Einheitstransporten für denselben Befrachter hat dieser auf eigene Kosten vor dem Beladen das Niederschlagswasser anzunehmen, das seit dem Ende der vorhergehenden Entladung in die Laderäume gelangt ist.

(2)  Bei flüssiger Ladung hat der Befrachter die Kosten der Restentladung und im Falle des:

a)
Waschens die Kosten für:
aa)
das Waschen der Ladetanks nach Artikel 7.04 Absatz 2, und
bb)
die Annahme von Waschwasser nach Artikel 7.05 Absatz 2;
b)
Entgasens die Kosten für das Entgasen der Ladetanks nach Artikel 7.04 Absatz 2 i.V.m. Artikel 7.05 Absatz 2a;

einschliesslich der etwa dadurch entstehenden Kosten für Wartezeiten und Umwege, zu tragen.

(3)  Die Kosten einer Abgabe von Waschwasser aus Laderäumen und Ladetanks oder die Entgasung aus den Ladetanks, die den vorgeschriebenen Standards nicht entsprechen, gehen zu Lasten des Frachtführers.

Art. 7.08 Übergang der Rechte und Verpflichtungen des Befrachters oder
des Ladungsempfängers auf den Betreiber der Umschlagsanlage

Bedient sich der Befrachter oder der Ladungsempfänger beim Beladen oder beim Entladen eines Fahrzeugs einer Umschlagsanlage, gehen die dem Befrachter oder dem Ladungsempfänger zustehenden Rechte und obliegenden Verpflichtungen nach den Artikeln 7.01 Absatz 1 sowie 7.03, 7.04 und 7.05 auf den Betreiber der Umschlagsanlage über. Bezüglich der Kosten nach Artikel 7.06 gilt dies nur für die Entfernung und Annahme der Umschlagsrückstände.

Art. 7.09 Beförderungspapiere

Der Befrachter gibt in dem Transportauftrag und in den Beförderungspapieren folgende Informationen an:

die Bezeichnung und die vierstellige Nummer nach Anhang III für jede Güterart, die er zum Transport in Auftrag gegeben hat; und
die UN-Nummer nach Anhang IIIa; und
den variablen AVFL-Wert (aufgrund der Zusammensetzung der Mischung), wenn er nicht in Spalte 3 der Tabellen I bis III in Anhang IIIa angegeben ist.

Teil C Sammlung, Abgabe und Annahme
von sonstigen Schiffsbetriebsabfällen

Kapitel VIII Allgemeine Bestimmungen

Art. 8.01 Begriffsbestimmungen

Im Sinne dieses Teiles bedeutet der Ausdruck:

a)
«häusliches Abwasser» Abwasser aus Küchen, Essräumen, Waschräumen und Waschküchen sowie Fäkalwasser;
b)
«Hausmüll» aus Haushalten und aus der Schiffsgastronomie stammende organische und anorganische Abfälle, jedoch ohne Anteile der anderen definierten Schiffsbetriebsabfälle;
c)
«Klärschlamm» Rückstände, die bei Betrieb einer Bordkläranlage an Bord des Fahrzeugs entstehen;
d)
«Slops» ein pumpfähiges oder nicht pumpfähiges Gemisch aus Ladungsrückständen und Waschwasserresten, Rost oder Schlamm;
e)
«übriger Sonderabfall» Schiffsbetriebsabfall ausser dem öl- und fetthaltigen Schiffsbetriebsabfall und den unter den Buchstaben a bis d genannten Abfällen;
f)
«Kabinenschiff» ein Fahrgastschiff mit Kabinen für die Übernachtung von Fahrgästen.
Art. 8.02 Verpflichtungen der Vertragsstaaten

(1)  Die Vertragsstaaten verpflichten sich, Annahmemöglichkeiten für Hausmüll:

a)
an den Umschlagsanlagen oder in Häfen;
b)
an den Fahrgastschiffsanlegestellen für die dort anlegenden Fahrgastschiffe;
c)
an bestimmten Liegestellen und Schleusen für die durchgehende Schifffahrt;

bereitzustellen oder bereitstellen zu lassen.

(2)  Die Vertragsstaaten verpflichten sich, binnen fünf Jahren nach Inkrafttreten dieses Übereinkommens Annahmestellen für Slops und für den übrigen Sonderabfall in Häfen einzurichten oder einzurichten lassen.

(3)  Die Vertragsstaaten verpflichten sich nach Artikel 4 Absatz 1 dieses Übereinkommens, Annahmestellen für häusliches Abwasser an bestimmten als Stamm- oder Übernachtungsliegeplatz dienenden Anlegestellen einzurichten oder einrichten zu lassen.

Die Annahmestellen an den Liegeplätzen für Schiffe, die unter Artikel 9.01 Absatz 3 fallen, müssen bis zu der in Artikel 9.01 Absatz 3 festgelegten Frist eingerichtet werden.

Kapitel IX Verpflichtungen des Schiffsführers

Art. 9.01 Verbot der Einbringung und Einleitung

(1)  Es ist verboten, von Fahrzeugen aus Hausmüll, Slops, Klärschlamm und übrigen Sonderabfall in die Wasserstrasse einzubringen oder einzuleiten.

(2)  Sind die in Absatz 1 genannten Abfälle freigeworden oder drohen sie freizuwerden, muss der Schiffsführer unverzüglich die nächste zuständige Behörde darüber unterrichten. Dabei hat er den Ort des Vorfalls sowie Menge und Art des Stoffes so genau wie möglich anzugeben.

(3)  Die Einleitung von häuslichem Abwasser ist für Fahrgastschiffe mit mehr als 12 Fahrgästen und für Kabinenschiffe mit mehr als 12 Schlafplätzen verboten. Dieses Verbot gilt ab dem 1. Januar 2025 für Kabinenschiffe mit weniger als 50 Schlafplätzen und Fahrgastschiffe, die weniger als 50 Fahrgäste befördern dürfen.

(4)  Dieses Verbot gilt nicht für Fahrgastschiffe, die:

nicht den technischen Vorschriften über die Ausrüstungspflicht mit Sammeltanks für häusliche Abwässer oder Bordkläranlagen unterliegen; oder
für diese Vorschrift über eine Einzelausnahmegenehmigung verfügen,

in Übereinstimmung mit den geltenden Bestimmungen der Rheinschiffsuntersuchungsordnung oder der Richtlinie (EU) 2016/162927.

(5)  Das Verbot nach Absatz 3 gilt zudem nicht für Fahrgastschiffe, die über zugelassene Bordkläranlagen verfügen, welche die Grenz- und Überwachungswerte nach Anhang V einhalten.

(6)  Das Verbot nach Absatz 3 gilt nicht für Seeschiffe in Seehäfen an Seeschifffahrtsstrassen, die den Bestimmungen des Internationalen Übereinkommens zur Verhütung der Meeresverschmutzung durch Schiffe (Marpol) unterliegen.

27 Richtlinie (EU) 2016/1629 des Europäischen Parlaments und des Rates vom 14. September 2016 zur Festlegung technischer Vorschriften für Binnenschiffe, zur Änderung der Richtlinie 2009/100/EG und zur Aufhebung der Richtlinie 2006/87/EG.

Art. 9.0228 Abweichungen vom Einleiteverbot für häusliches Abwasser

Die Vertragsstaaten können für Schiffe nach Artikel 9.01 Absatz 3, für die die Einhaltung des Einleiteverbotes für häusliches Abwasser praktisch schwer durchführbar ist oder unzumutbar hohe Kosten verursacht, ein geeignetes Verfahren für Ausnahmemöglichkeiten vereinbaren und die Bedingungen festlegen, unter denen diese Ausnahmen als gleichwertig angesehen werden können.

28 Siehe Beschluss CDNI 2013-II-5

Art. 9.03 Sammlung und Behandlung an Bord, Abgabe an Annahmestellen

(1)  Der Schiffsführer hat sicherzustellen, dass die in Artikel 9.01 Absatz 1 genannten Abfälle getrennt gesammelt und abgegeben werden.

Hausmüll ist wenn möglich getrennt nach:

Papier;
Glas;
Hartplastik/Hartkunststoffen;
Verpackungsabfällen (Kunststoff, Metall und Getränkekartons);
Restmüll; und
sonstigen Abfällen,

abzugeben.

(2)  Das Verbrennen der in Artikel 9.01 Absatz 1 genannten Abfälle an Bord ist verboten.

(3)  Die Betreiber von Fahrgastschiffen, die über Bordkläranlagen nach Anhang V verfügen, haben für die ordnungsgemässe Abgabe des Klärschlamms gegen Nachweis gemäss den innerstaatlichen Vorschriften in geeigneter Weise selbst zu sorgen.

(4)  Der Schiffsführer eines unter Artikel 9.01 Absatz 3 vom Verbot der Einleitung häuslicher Abwässer betroffenen Fahrgastschiffes hat sicherzustellen, dass die häuslichen Abwässer in geeigneter Weise an Bord gesammelt und bei einer Annahmestelle oder -anlage nach Artikel 8.02 Absatz 3 abgegeben werden, sofern das Fahrgastschiff nicht über eine Bordkläranlage nach Artikel 9.01 Absatz 5 verfügt.

(5)  Die in Absatz 1 genannten gesammelten Abfälle sind an Bord in geeigneten Sammelbehältern zu lagern, die mit entsprechenden Piktogrammen gekennzeichnet sind.

Kapitel X Verpflichtungen des Betreibers der Annahmestelle

Art. 10.01 Annahme durch die Annahmestellen

(1)  Der Betreiber der Annahmestelle hat sicherzustellen, dass die in Artikel 9.01 Absatz 1 genannten Abfälle getrennt abgegeben werden können.

(2)  Der Betreiber der Annahmestelle muss dem Schiffsführer die Abgabe von Slops gemäss den innerstaatlichen Vorschriften bescheinigen.

Teil D Übergangsbestimmungen und Abweichungen

Kapitel XI Übergangsbestimmungen und Abweichungen

Art. 11.01 Übergangsbestimmungen

Für die Anwendung der Bestimmungen dieser Anlage, die sich aus der Änderung des Übereinkommens zur Aufnahme des Freisetzungsverbots für Dämpfe in die Atmosphäre ergeben, gelten folgende Übergangsbestimmungen:

a)
Für die Dämpfe der in der Tabelle I in Anhang IIIa aufgeführten Güter gilt das Verbot ab dem gemäss Artikel 19 Absatz 4 des Übereinkommens festgelegten Zeitpunkt des Inkrafttretens der Änderung;
b)
Für die Dämpfe der in der Tabelle II in Anhang IIIa aufgeführten Güter gilt das Verbot mit Ablauf eines Zeitraums von zwei Jahren nach dem in Buchstabe a genannten Zeitpunkt;
c)
Für die Dämpfe der in der Tabelle III in Anhang IIIa aufgeführten Güter gilt das Verbot mit Ablauf eines Zeitraums von drei Jahren nach dem in Buchstabe a genannten Zeitpunkt29.

29 Sofern eine ab dem in Buchstabe a genannten Zeitpunkt durchgeführte Bewertung zu dem Ergebnis führt, dass dies keine Probleme bereitet. Andernfalls gilt das Verbot nach Ablauf eines Zeitraums von vier Jahren nach dem in Buchstabe a genannten Zeitpunkt.

Art. 11.02 Abweichungen

Die Vertragsparteien können im Einzelfall Abweichungen von den Bestimmungen dieser Anlage vereinbaren, sofern diese als gleichwertig zu betrachten sind. Die Abweichungen müssen von der Konferenz der Vertragsparteien genehmigt werden und können für den festgelegten Anwendungsbereich und unter den festgelegten Bedingungen von den zuständigen Behörden mit sofortiger Wirkung zugelassen werden.

20 Die Anhänge I–V werden in der AS und SR nicht veröffentlicht. Sie können unter https://www.cdni-iwt.org > Dokumente > Übereinkommen CDNI > Konsolidiertes Übereinkommen eingesehen werden oder beim Depositar: Zentralkommission für die Rheinschifffahrt (ZKR), Palais du Rhin, 2 place de la République, F-67082 Strasbourg CEDEX bezogen werden.

Geltungsbereich am 13. Oktober 2009

Vertragsstaaten

Ratifikation

Inkrafttreten

Belgien

22. September

2009

  1. November

2009

Deutschland

10. März

2004

  1. November

2009

Frankreich

15. September

2005

  1. November

2009

Luxemburg

14. Mai

2002

  1. November

2009

Niederlande

10. Juli

2000

  1. November

2009

Schweiz

16. Juli

1998

  1. November

2009