613.21

Verordnung
über den Finanz- und Lastenausgleich

(FiLaV)

vom 7. November 2007 (Stand am 1. Januar 2025)

Der Schweizerische Bundesrat,

gestützt auf das Bundesgesetz vom 3. Oktober 20031 über den Finanz- und
Lastenausgleich (FiLaG),

verordnet:

1. Titel: Ressourcenausgleich durch Bund und Kantone

1. Kapitel: Ressourcenpotenzial

1. Abschnitt: Begriffe

Art. 1 Ressourcenpotenzial und aggregierte Steuerbemessungsgrundlage

1 Das Ressourcenpotenzial eines Kantons ist in Anhang 1 festgelegt. Es basiert auf der aggregierten Steuerbemessungsgrundlage des Kantons. Diese entspricht der Summe:

a.
der massgebenden Einkommen der natürlichen Personen;
b.
der massgebenden quellenbesteuerten Einkommen;
c.
der massgebenden Vermögen der natürlichen Personen;
d.2
der massgebenden Gewinne der juristischen Personen;
e.3
f.
der massgebenden Steuerrepartitionen der direkten Bundessteuer.

2 Das Ressourcenpotenzial der Schweiz entspricht der Summe der Ressourcenpotenziale aller Kantone.

2 Fassung gemäss Ziff. I der V vom 6. Nov. 2019, in Kraft seit 1. Jan. 2024 (AS 2019 3823).

3 Aufgehoben durch Ziff. I der V vom 6. Nov. 2019, mit Wirkung seit 1. Jan. 2024 (AS 2019 3823).

Art. 2 Referenz- und Bemessungsjahr

1 Das Referenzjahr des Ressourcenpotenzials ist das Jahr, für welches das Ressourcenpotenzial als Grundlage für den Ressourcenausgleich dient.

2 Das Ressourcenpotenzial eines Referenzjahres entspricht dem Durchschnitt der aggregierten Steuerbemessungsgrundlage aus drei aufeinander folgenden Jahren (Bemessungsjahre).

3 Das erste Bemessungsjahr liegt gegenüber dem Referenzjahr um sechs, das letzte um vier Jahre zurück.

Art. 34 Ressourcenpotenzial pro Kopf der Einwohnerinnen und Einwohner

Das Ressourcenpotenzial pro Kopf der Einwohnerinnen und Einwohner ist in Anhang 1 festgelegt. Es entspricht dem Verhältnis zwischen dem Ressourcenpotenzial und dem Durchschnitt der mittleren ständigen und nichtständigen Wohnbevölkerung in den Bemessungsjahren des Ressourcenpotenzials.

4 Fassung gemäss Ziff. I der V vom 4. Nov. 2015, in Kraft seit 1. Jan. 2016 (AS 2015 4753).

Art. 4 Ressourcenindex

1 Der Ressourcenindex eines Kantons ist in Anhang 1 festgelegt. Er entspricht dem mit Faktor 100 multiplizierten Verhältnis zwischen dem Ressourcenpotenzial pro Kopf der Einwohnerinnen und Einwohner des Kantons und dem Ressourcenpotenzial pro Kopf der Einwohnerinnen und Einwohner der gesamten Schweiz.

2 …5

3 Der Ressourcenindex der gesamten Schweiz beträgt 100 Indexpunkte.

4 Kantone, deren Ressourcenindex den Wert von 100 übersteigt, gelten als ressourcenstark. Die übrigen Kantone gelten als ressourcenschwach.

5 Aufgehoben durch Ziff. I der V vom 30. Okt. 2013, mit Wirkung seit 1. Jan. 2014 (AS 2013 3809).

Art. 5 Standardisierter Steuerertrag und Steuersatz

1 Der standardisierte Steuerertrag eines Kantons entspricht seinen massgebenden eigenen Ressourcen. Dieser Ertrag ergibt sich aus der Anwendung eines für alle Kantone einheitlichen proportionalen Steuersatzes (standardisierter Steuersatz) auf das Ressourcenpotenzial.6

2 Der standardisierte Steuerertrag der Schweiz umfasst:7

a.8
die Steuereinnahmen, die alle Kantone und Gemeinden im Durchschnitt der Bemessungsjahre laut Finanzstatistik der öffentlichen Haushalte nach Statistikerhebungsverordnung vom 30. Juni 19939 erzielt haben;
b.
die Anteile der Kantone an den Einnahmen der direkten Bundessteuer gemäss Artikel 196 Absatz 1 des Bundesgesetzes vom 14. Dezember 199010 über die direkte Bundessteuer (DBG) im Durchschnitt der Bemessungsjahre.

3 Der standardisierte Steuersatz entspricht dem Verhältnis zwischen dem standardisierten Steuerertrag und dem Ressourcenpotenzial der Schweiz.

4 Der Index der standardisierten Steuererträge pro Einwohnerin und Einwohner entspricht dem Ressourcenindex.

5 Die Berechnung des standardisierten Steuerertrags sowie der standardisierte Steuersatz sind in Anhang 1 festgelegt.11

6 Fassung gemäss Ziff. I der V vom 4. Nov. 2015, in Kraft seit 1. Jan. 2016 (AS 2015 4753).

7 Fassung gemäss Ziff. I der V vom 4. Nov. 2015, in Kraft seit 1. Jan. 2016 (AS 2015 4753).

8 Fassung gemäss Ziff. I der V vom 6. Nov. 2019, in Kraft seit 1. Jan. 2020 (AS 2019 3823).

9 SR 431.012.1

10 SR 642.11

11 Eingefügt durch Ziff. I der V vom 4. Nov. 2015, in Kraft seit 1. Jan. 2016 (AS 2015 4753).

2. Abschnitt: Massgebende Einkommen der natürlichen Personen

Art. 6 Berechnungsgrundlage für die einzelne natürliche Person

1 Das massgebende Einkommen einer natürlichen steuerpflichtigen Person entspricht ihrem steuerbaren Einkommen nach DBG12 abzüglich eines einheitlichen Freibetrags.

2 Der Freibetrag entspricht dem tiefsten steuerbaren Betrag für Ehepaare nach Artikel 36 Absätze 2 und 3 DBG des entsprechenden Bemessungsjahres.13

3 Ist das steuerbare Einkommen einer steuerpflichtigen Person kleiner als der Freibetrag, so ist ihr massgebendes Einkommen Null.

12 SR 642.11

13 Fassung gemäss Ziff. I der V vom 6. Nov. 2019, in Kraft seit 1. Jan. 2020 (AS 2019 3823).

Art. 7 Berechnungsgrundlage für den Kanton

Das massgebende Einkommen der natürlichen Personen eines Kantons ist in Anhang 2 festgelegt. Es entspricht der Summe der massgebenden Einkommen der im betreffenden Kanton steuerpflichtigen natürlichen Personen gemäss DBG14.

3. Abschnitt: Massgebende quellenbesteuerte Einkommen

Art. 8 Berechnungsgrundlage

Das massgebende quellenbesteuerte Einkommen wird aufgrund der jährlichen Erhebung der Bruttolöhne der an der Quelle besteuerten natürlichen Personen und der Anzahl steuerpflichtige Personen gemäss den Artikeln 83 ff. und 91 ff. DBG15 berechnet.

Art. 9 Zusammensetzung

Das massgebende quellenbesteuerte Einkommen eines Kantons ist in Anhang 3 festgelegt. Es setzt sich zusammen aus der Summe der massgebenden quellenbesteuerten Einkommen:

a.
der gebietsansässigen Ausländerinnen und Ausländer gemäss Artikel 83 DBG16;
b.
der ausländischen Verwaltungsrätinnen und Verwaltungsräte gemäss Artikel 93 DBG;
c.
der vollständig besteuerten Grenzgängerinnen und Grenzgänger gemäss Artikel 91 DBG;
d.
der begrenzt besteuerten Grenzgängerinnen und Grenzgänger gemäss Artikel 83 DBG und den Doppelbesteuerungsabkommen mit Österreich, Deutschland, Frankreich und Italien.
Art. 1017 Berechnung

1 Die massgebenden quellenbesteuerten Einkommen eines Kantons werden nach Anhang 3 berechnet. Die Umrechnung der Bruttolöhne auf das Niveau der ordentlich besteuerten Einkommen erfolgt mittels des Faktors Gamma.

2 Der Faktor Gamma entspricht dem Verhältnis zwischen dem massgebenden Einkommen der natürlichen Personen der Schweiz und dem Primäreinkommen der privaten Haushalte der Schweiz. Grundlage für die Berechnung ist das Verhältnis im letzten verfügbaren Bemessungsjahr. Der Faktor wird auf drei Kommastellen gerundet.

3 Der Faktor Gamma wird jeweils für das letzte Bemessungsjahr nach Artikel 2 Absatz 3 neu berechnet. Für die anderen Bemessungsjahre werden die Faktoren Gamma aus dem Vorjahr übernommen.

17 Fassung gemäss Ziff. I der V vom 6. Nov. 2019, in Kraft seit 1. Jan. 2020 (AS 2019 3823).

4. Abschnitt: Massgebende Vermögen der natürlichen Personen

Art. 11 Berechnungsgrundlage

1 Das massgebende Vermögen der natürlichen Personen wird aufgrund der Steuerbemessungsgrundlage für die kantonale Vermögenssteuer berechnet.

2 In die Berechnung miteinbezogen werden:

a.
das Reinvermögen der unbeschränkt steuerpflichtigen Personen mit Wohnsitz im Kanton, abzüglich des Anteils, welcher anderen Kantonen oder dem Ausland zusteht; und
b.
das Reinvermögen der beschränkt steuerpflichtigen Personen im Liegenschafts- oder Betriebsstättenkanton, einschliesslich der vom Kanton steuerlich erfassten Reinvermögensteile von Personen mit Wohnsitz im Ausland.
Art. 12 Massgebendes Vermögen einer steuerpflichtigen Person

1 Das massgebende Vermögen einer steuerpflichtigen Person ist das mit dem Gewichtungsfaktor Alpha multiplizierte Reinvermögen der steuerpflichtigen Person.

2 Ist das Reinvermögen einer steuerpflichtigen Person negativ, so ist das massgebende Vermögen Null.

Art. 1318 Berechnung des Faktors Alpha

1 Der Faktor Alpha entspricht der steuerlichen Ausschöpfung der Vermögen im Verhältnis zur steuerlichen Ausschöpfung der Einkommen. Grundlage für die Berechnung ist der Durchschnitt dieses Verhältnisses in den letzten verfügbaren sechs Bemessungsjahren. Der Faktor wird auf drei Kommastellen gerundet. Die Berechnung richtet sich nach Anhang 4.

2 Der Faktor Alpha wird jeweils für das letzte Bemessungsjahr nach Artikel 2 Absatz 3 neu berechnet. Für die anderen Bemessungsjahre werden die Faktoren Alpha aus den jeweiligen Vorjahren übernommen.

18 Fassung gemäss Ziff. I der V vom 6. Nov. 2019, in Kraft seit 1. Jan. 2020 (AS 2019 3823).

5. Abschnitt: Massgebende Gewinne der juristischen Personen
ohne besonderen Steuerstatus

Art. 15 Berechnung für die einzelne juristische Person

1 Der massgebende Gewinn einer juristischen Person ohne besonderen Steuerstatus entspricht dem steuerbaren Reingewinn nach Artikel 58 DBG19 abzüglich des Nettoertrags aus Beteiligungen gemäss DBG.

2 Ist der Nettoertrag aus Beteiligungen grösser als der steuerbare Reingewinn, so ist der massgebende Gewinn null.

Art. 16 Berechnung für den Kanton

Die massgebenden Gewinne der juristischen Personen ohne besonderen Steuerstatus eines Kantons sind in Anhang 5 festgelegt. Sie entsprechen der Summe der massgebenden Gewinne der im Kanton steuerpflichtigen juristischen Personen ohne besonderen Steuerstatus.

6. Abschnitt: Massgebende Gewinne der juristischen Personen
mit besonderem Steuerstatus

Art. 17 Berechnung für die einzelne juristische Person

Der massgebende Gewinn einer juristischen Person mit besonderem Steuerstatus entspricht der Summe:

a.
des steuerbaren Gewinns aus den Einkünften aus der Schweiz gemäss Artikel 28 Absätze 2–4 des Bundesgesetzes vom 14. Dezember 199020 über die Harmonisierung der direkten Steuern der Kantone und Gemeinden (StHG);
b.
des steuerbaren Reingewinns gemäss Artikel 58 DBG21, abzüglich des Nettoertrags aus Beteiligungen gemäss DBG und des steuerbaren Gewinns aus der Schweiz gemäss Buchstabe a, gewichtet mit dem Faktor Beta.
Art. 18 Berechnung für den Kanton

Der massgebende Gewinn der juristischen Personen mit besonderem Steuerstatus eines Kantons ist in Anhang 6 festgelegt. Er entspricht der Summe der massgebenden Gewinne der im Kanton steuerpflichtigen juristischen Personen mit besonderem Steuerstatus.

Art. 19 Berechnung der Faktoren Beta

1 Es wird für juristische Personen nach Artikel 28 Absätze 2–4 StHG22 je ein Faktor Beta berechnet. Sie sind in Anhang 6 festgelegt.

2 Die Faktoren Beta sind für alle Kantone gleich.

3 Die Faktoren Beta gelten für eine Vierjahresperiode des Ressourcenausgleichs. Grundlage sind die Zahlen der Bemessungsjahre der vergangenen Vierjahresperiode des Ressourcenausgleichs.

4 Die Faktoren Beta entsprechen der Summe aus je einem Basisfaktor und je einem Zuschlagsfaktor.

5 Für juristische Personen mit besonderem Steuerstatus, die nicht definitiv veranlagt sind, beträgt der Faktor Beta 1, es sei denn, dass provisorische Angaben in gleichwertiger Qualität wie die definitiv veranlagten Angaben geliefert werden können.23

6 Eine provisorische Angabe ist von gleichwertiger Qualität, wenn im Zeitpunkt, in dem die Daten eines Bemessungsjahres erhoben werden, aufgrund der Steuererklärung die steuerbaren Einkünfte nach Artikel 17 bekannt sind.24

22 SR 642.14

23 Fassung gemäss Ziff. I der V vom 4. Nov. 2015, in Kraft seit 1. Jan. 2016 (AS 2015 4753).

24 Eingefügt durch Ziff. I der V vom 4. Nov. 2015, in Kraft seit 1. Jan. 2016 (AS 2015 4753).

Art. 20 Basis- und Zusatzfaktor

1 Der Basisfaktor entspricht für:

a.
juristische Personen mit besonderem Steuerstatus gemäss Artikel 28 Absatz 2 StHG25: 0;
b.
juristische Personen mit besonderem Steuerstatus gemäss Artikel 28 Absatz 3 StHG: dem ersten Quartil der steuerbaren Anteile der übrigen Einkünfte aus dem Ausland aller juristischen Personen in der Schweiz, die gemäss Artikel 28 Absatz 3 StHG besteuert werden.
c.
juristische Personen mit besonderem Steuerstatus gemäss Artikel 28 Absatz 4 StHG: dem ersten Quartil der steuerbaren Anteile der übrigen Einkünfte aus dem Ausland aller juristischen Personen in der Schweiz, die gemäss Artikel 28 Absatz 4 StHG besteuert werden.

2 Die Berechnung der Zuschlagsfaktoren richtet sich nach Anhang 6.

6a. Abschnitt:26 Massgebende Gewinne der juristischen Personen unter Berücksichtigung der Gewinne aus Patenten

26 Eingefügt durch Ziff. I der V vom 6. Nov. 2019, in Kraft seit 1. Jan. 2024 (AS 2019 3823).

Art. 20a Berechnung für die einzelne juristische Person

1 Die Berechnung des massgebenden Gewinns einer juristischen Person basiert auf dem steuerbaren Reingewinn nach Artikel 58 DBG27 abzüglich des Nettoertrags aus Beteiligungen nach DBG. Die Gewinne sind in ordentlich besteuerte Gewinne und Gewinne aus Patenten und vergleichbaren Rechten nach Artikel 24b des Bundesgesetzes vom 14. Dezember 199028 über die Harmonisierung der direkten Steuern der Kantone und Gemeinden (StHG) aufzuteilen.

2 Im Jahr der erstmaligen ermässigten Besteuerung von Gewinnen aus Patenten und vergleichbaren Rechten werden der Forschungs- und Entwicklungsaufwand nach Artikel 24b Absatz 3 StHG, jedoch ohne einen allfälligen Abzug nach Artikel 25a StHG, berücksichtigt. Dieser Aufwand wird reduziert gewichtet; die Gewichtung ist in Anhang 6a aufgeführt. Die Berechnung erfolgt im ersten Jahr, auch wenn der Kanton die Besteuerung innert fünf Jahren auf andere Weise sicherstellt.

3 Gewinne aus Patenten und vergleichbaren Rechten werden mit dem Faktor Zeta-2 gewichtet.

4 Der massgebende Gewinn einer juristischen Person entspricht der mit dem Faktor Zeta-1 gewichteten Summe aus den ordentlich besteuerten Gewinnen nach Absatz 1 und dem Ergebnis der Berechnungen nach den Absätzen 2 und 3.

5 Ist das Ergebnis der Berechnung negativ, beträgt der massgebende Gewinn Null.

Art. 20b Berechnung der Faktoren Zeta-1 und Zeta-2

1 Der Faktor Zeta-1 entspricht dem Verhältnis der steuerlichen Ausschöpfung des Gewinns der juristischen Personen zur steuerlichen Ausschöpfung des Einkommens und Vermögens der natürlichen Personen. Grundlage für die Berechnung ist der Durchschnitt dieses Verhältnisses in den letzten verfügbaren sechs Bemessungsjahren. Der Faktor wird auf drei Kommastellen gerundet. Die Berechnung ist in Anhang 6a festgelegt.

2 Der Faktor Zeta-2 entspricht der durchschnittlichen Ausschöpfung der Gewinne aus Patenten und vergleichbaren Rechten nach Artikel 24b StHG29. Grundlage für die Berechnung sind die Ermässigungen der Kantone im letzten verfügbaren Bemessungsjahr. Der Faktor wird auf drei Kommastellen gerundet. Die Berechnung ist in Anhang 6a festgelegt.

3 Die Faktoren Zeta-1 und Zeta-2 werden jeweils für das letzte Bemessungsjahr nach Artikel 2 Absatz 3 neu berechnet. Für die anderen Bemessungsjahre werden diese Faktoren aus den jeweiligen Vorjahren übernommen.

Art. 20c Berechnung für den Kanton

Die massgebenden Gewinne der juristischen Personen eines Kantons sind in Anhang 6a festgelegt. Sie entsprechen der Summe der massgebenden Gewinne der im Kanton steuerpflichtigen juristischen Personen.

7. Abschnitt: Massgebende Steuerrepartitionen

Art. 21

1 Die massgebenden Steuerrepartitionen eines Kantons (Anhang 7) entsprechen dem gewichteten Saldo zwischen:

a.
der Summe der Gutschriften der direkten Bundessteuer, die in den Bemessungsjahren in anderen Kantonen zu seinen Gunsten verbucht wurden; und
b.
der Summe der Gutschriften der direkten Bundessteuer, die er in den Bemessungsjahren zugunsten anderer Kantone verbucht hat.

2 Der Gewichtungsfaktor eines Kantons entspricht dem Verhältnis zwischen der Summe der massgebenden Einkommen und Gewinne des Kantons nach den Abschnitten 2, 3 und 6a und dem Steueraufkommen der direkten Bundessteuer des Kantons in den Bemessungsjahren.30

30 Fassung gemäss Ziff. I der V vom 6. Nov. 2019, in Kraft seit 1. Jan. 2024 (AS 2019 3823).

8. Abschnitt: Datenerhebung

Art. 22

Das EFD erlässt Weisungen für die Erhebung und die Lieferung der erforderlichen Daten durch die Kantone sowie für deren Verarbeitung durch die Bundesämter. Es lädt die Kantone und die eidgenössische Finanzkontrolle zur Stellungnahme ein.

2. Kapitel: Ausgleichszahlungen

Art. 22a31 Beiträge an die ressourcenschwachen Kantone

1 Die Progression nach Artikel 3a Absatz 2 Buchstabe b FiLaG wird so festgelegt, dass:

a.
die garantierte Mindestausstattung (Art. 3a Abs. 2 Bst. a FiLaG) mit möglichst wenig finanziellen Mitteln erreicht werden kann;
b.
die Rangfolge der Kantone bezüglich der standardisierten Steuererträge pro Einwohnerin und Einwohner zuzüglich dem Beitrag aus dem Ressourcenausgleich pro Einwohnerin und Einwohner nicht verändert wird.

2 Die Berechnung der Beiträge an die ressourcenschwachen Kantone richtet sich nach Anhang 7a.

31 Eingefügt durch Ziff. I der V vom 6. Nov. 2019, in Kraft seit 1. Jan. 2020 (AS 2019 3823).

Art. 2433 Leistung der ressourcenstarken Kantone

1 Die Gesamtleistung der ressourcenstarken Kantone entspricht 40 Prozent der notwendigen Mittel nach Artikel 22a.

2 Der Beitrag pro Einwohnerin und Einwohner eines ressourcenstarken Kantons ist proportional zur Differenz zwischen seinem Ressourcenindex und dem Ressourcenindex der gesamten Schweiz.

3 Die Berechnung der Beiträge der ressourcenstarken Kantone richtet sich nach Anhang 8.

33 Fassung gemäss Ziff. I der V vom 6. Nov. 2019, in Kraft seit 1. Jan. 2020 (AS 2019 3823).

2. Titel: Lastenausgleich durch den Bund

1. Kapitel: Datengrundlagen

Art. 27 Datengrundlage

Datengrundlage sind Statistiken des Bundes gemäss dem Bundesstatistikgesetz vom 9. Oktober 199235, dem Bundesgesetz vom 26. Juni 199836 über die eidgenössische Volkszählung und den dazugehörigen Verordnungen des jeweils letzten verfügbaren Jahres.

35 SR 431.01

36 [AS 1999 917. 2007 6743 Art. 16]. Siehe heute: das BG vom 22. Juni 2007 (SR 431.112).

Art. 28 Datenlieferungspflicht

1 Die Kantone sorgen dafür, dass die Daten zur Verfügung gestellt werden.

2 Das Eidgenössische Departement des Innern erlässt Weisungen für die Erhebung und Lieferung der Daten durch die Kantone. Es lädt die Kantone zur Stellungnahme ein.

2. Kapitel: Geografisch-topografischer Lastenausgleich

1. Abschnitt: Massgebende Sonderlasten

Art. 29 Teilindikatoren

1 Der geografisch-topografische Lastenausgleich basiert auf folgenden vier Teilindikatoren der Kantone:

a.37
Siedlungshöhe: Anteil der ständigen Wohnbevölkerung mit einer Wohnhöhe von über 800 Metern über Meer an der gesamten ständigen Wohnbevölkerung;
b.
Steilheit des Geländes: Höhenmedian der produktiven Fläche gemäss Arealstatistik;
c.38
Siedlungsstruktur: Anteil der ständigen Wohnbevölkerung mit Wohnsitz ausserhalb des Hauptsiedlungsgebietes (Anhang 10) an der gesamten ständigen Wohnbevölkerung;
d.39
geringe Bevölkerungsdichte: Gesamtfläche in Hektaren pro Kopf der ständigen Einwohnerinnen und Einwohner gemäss Arealstatistik.

2 …40

37 Fassung gemäss Ziff. I der V vom 30. Okt. 2013, in Kraft seit 1. Jan. 2014 (AS 2013 3809).

38 Fassung gemäss Ziff. I der V vom 30. Okt. 2013, in Kraft seit 1. Jan. 2014 (AS 2013 3809).

39 Fassung gemäss Ziff. I der V vom 4. Nov. 2015, in Kraft seit 1. Jan. 2016 (AS 2015 4753).

40 Aufgehoben durch Ziff. I der V vom 4. Nov. 2015, mit Wirkung seit 1. Jan. 2016 (AS 2015 4753).

Art. 30 Lastenindizes und massgebende Sonderlasten

1 Für jeden Teilindikator werden ein Lastenindex und die massgebenden Sonderlasten der Kantone berechnet.

2 Der Lastenindex eines Kantons entspricht dem mit dem Faktor 100 multiplizierten Verhältnis zwischen dem Teilindikatorwert des Kantons und dem entsprechenden Teilindikatorwert der gesamten Schweiz. Er wird auf eine Kommastelle gerundet.

3 Der Lastenindex der gesamten Schweiz beträgt 100 Indexpunkte.

4 Die massgebenden Sonderlasten eines Kantons entsprechen der gewichteten Differenz zwischen dem Lastenindex des Kantons und dem entsprechenden Lastenindex der gesamten Schweiz. Die Gewichte unterscheiden sich nach dem zu Grunde liegenden Teilindikator und lauten wie folgt:

a.41
für den Teilindikator Siedlungshöhe: ständige Wohnbevölkerung des Kantons mit Wohnhöhe von über 800 Metern über Meer;
b.
für den Teilindikator Steilheit des Geländes: produktive Fläche des Kantons gemäss Arealstatistik;
c.42
für den Teilindikator Siedlungsstruktur: ständige Wohnbevölkerung mit Wohnsitz ausserhalb der Hauptsiedlungsgebiete des Kantons;
d.43
für den Teilindikator geringe Bevölkerungsdichte: ständige Wohnbevölkerung des Kantons.

5 Ist der Lastenindex eines Kantons kleiner als der Lastenindex der gesamten Schweiz, so sind die massgebenden Sonderlasten des Kantons Null.

6 …44

41 Fassung gemäss Ziff. I der V vom 30. Okt. 2013, in Kraft seit 1. Jan. 2014 (AS 2013 3809).

42 Fassung gemäss Ziff. I der V vom 30. Okt. 2013, in Kraft seit 1. Jan. 2014 (AS 2013 3809).

43 Fassung gemäss Ziff. I der V vom 4. Nov. 2015, in Kraft seit 1. Jan. 2016 (AS 2015 4753).

44 Aufgehoben durch Ziff. I der V vom 4. Nov. 2015, mit Wirkung seit 1. Jan. 2016 (AS 2015 4753).

2. Abschnitt: Ausgleichszahlungen

Art. 3145 Festlegung

Der Ausgleichsbetrag für den geografisch-topografischen Lastenausgleich entspricht dem Ausgleichsbetrag des Vorjahres angepasst gemäss der Veränderungsrate des Landesindexes der Konsumentenpreise gegenüber dem Vorjahresmonat zum Zeitpunkt der Berechnung.

45 Fassung gemäss Ziff. I der V vom 6. Nov. 2019, in Kraft seit 1. Jan. 2020 (AS 2019 3823).

Art. 32 Verwendung

Der Ausgleichsbetrag wird wie folgt verwendet:

a.
ein Drittel für die Abgeltung der massgebenden Sonderlasten aufgrund der Siedlungshöhe;
b.
ein Drittel für die Abgeltung der massgebenden Sonderlasten aufgrund der Steilheit des Geländes;
c.
ein Sechstel für die Abgeltung der massgebenden Sonderlasten aufgrund der Siedlungsstruktur;
d.46
ein Sechstel für die Abgeltung der massgebenden Sonderlasten aufgrund der geringen Bevölkerungsdichte.

46 Fassung gemäss Ziff. I der V vom 4. Nov. 2015, in Kraft seit 1. Jan. 2016 (AS 2015 4753).

Art. 33 Beiträge an die Kantone

1 Die Beiträge an einen Kanton für die einzelnen Sonderlasten sind proportional zu seinem Anteil an der Summe der entsprechenden Sonderlasten aller Kantone.

2 Sie sind in Anhang 12 aufgelistet.

3. Kapitel: Soziodemografischer Lastenausgleich

1. Abschnitt: Massgebende Sonderlasten aufgrund der Bevölkerungsstruktur

Art. 34 Teilindikatoren

1 Der Ausgleich von soziodemografischen Sonderlasten aufgrund der Bevölkerungsstruktur basiert auf folgenden drei Teilindikatoren der Kantone:

a.
Armut: Anteil der Empfängerinnen und Empfänger von Leistungen der Sozialhilfe im weiteren Sinne an der ständigen Wohnbevölkerung;
b.
Altersstruktur: Anteil der Einwohnerinnen und Einwohner mit einem Alter von 80 Jahren und mehr an der ständigen Wohnbevölkerung;
c.
Ausländerintegration: Anteil der ausländischen Einwohnerinnen und Einwohner, die nicht aus Nachbarstaaten stammen und maximal seit 12 Jahren in der Schweiz leben, an der ständigen Wohnbevölkerung.

2 Als Leistungen der Sozialhilfe im weiteren Sinn gelten bedarfsorientierte Geldleistungen, sofern sie personen- beziehungsweise haushaltsbezogen gewährt werden und soweit sie in der Statistik der Sozialhilfeempfängerinnen und Sozialhilfeempfänger gemäss Statistikerhebungsverordnung vom 30. Juni 199347 aufgeführt sind. Dazu gehören insbesondere:

a.
wirtschaftliche Sozialhilfe gemäss den kantonalen Sozialhilfegesetzen;
b.
kantonal geregelte Bevorschussung von Alimenten;
c.
Ergänzungsleistungen des Bundes, gewichtet mit dem kantonalen Finanzierungsanteil gemäss Artikel 13 Absatz 1 des Bundesgesetzes vom 6. Oktober 200648 über Ergänzungsleistungen zur Alters-, Hinterlassenen- und Invalidenversicherung;
d.
kantonale Alters- und Invaliditätsbeihilfen;
e.
kantonale Bedarfsleistungen im Zusammenhang mit Arbeitslosigkeit;
f.
kantonale Mutterschaftsbeihilfen sowie Unterhaltszuschüsse an Familien mit Kindern;
g.
kantonale Wohngelder beziehungsweise Wohnkostenzuschüsse.49

3 Weist eine Leistung der Sozialhilfe im weiteren Sinn einen im gesamtschweizerischen Vergleich tiefen jährlichen Unterstützungsbeitrag pro Kopf der Empfängerinnen und Empfänger auf, so wird die Anzahl der Empfängerinnen und Empfänger dieser Leistung gewichtet. Die Finanzstatistik der Sozialhilfe im weiteren Sinn nach Statistikerhebungsverordnung bildet die Datengrundlage für die Gewichtung.50

4 Mehrfachbezüge werden einfach gezählt.51

47 SR 431.012.1

48 SR 831.30

49 Fassung gemäss Ziff. I der V vom 4. Nov. 2015, in Kraft seit 1. Jan. 2017 (AS 2015 4753).

50 Fassung gemäss Ziff. I der V vom 6. Nov. 2019, in Kraft seit 1. Jan. 2020 (AS 2019 3823).

51 Fassung gemäss Ziff. I der V vom 4. Nov. 2015, in Kraft seit 1. Jan. 2017 (AS 2015 4753).

Art. 35 Lastenindex und massgebende Sonderlasten

1 Die Teilindikatoren der Kantone werden standardisiert und mit Hilfe von Gewichten zu einem Lastenindex zusammengefasst. Die Gewichte werden mit der Hauptkomponentenanalyse festgelegt und jedes Jahr überprüft. Die Berechnung richtet sich nach Anhang 13.

2 Der Lastenindex eines Kantons wird auf drei Kommastellen gerundet.

3 Aus dem Lastenindex eines Kantons wird eine Masszahl für die Lasten pro Einwohnerin und Einwohner berechnet. Diese Masszahl entspricht der Differenz zwischen dem Lastenindex des Kantons und dem Lastenindex desjenigen Kantons mit dem tiefsten Indexwert.

4 Die massgebenden Sonderlasten eines Kantons entsprechen der mit der ständigen Wohnbevölkerung gewichteten Differenz zwischen den Lasten pro Einwohnerin und Einwohner des Kantons und dem entsprechenden Mittelwert der Lasten pro Einwohnerin und Einwohner aller Kantone. Sind die Lasten pro Einwohnerin und Einwohner des Kantons kleiner als der Mittelwert, so sind die massgebenden Sonderlasten des Kantons Null.

5 …52

52 Aufgehoben durch Ziff. I der V vom 4. Nov. 2015, mit Wirkung seit 1. Jan. 2016 (AS 2015 4753).

2. Abschnitt: Massgebende Sonderlasten der Kernstädte

Art. 36 Teilindikatoren

Die Sonderlasten der Kernstädte werden aufgrund folgender drei Teilindikatoren der Gemeinden ausgeglichen:

a.
Gemeindegrösse: ständige Wohnbevölkerung;
b.
Siedlungsdichte: ständige Wohnbevölkerung und Anzahl Beschäftigte im Verhältnis zur produktiven Fläche der Gemeinde;
c.
Beschäftigungsquote: Anzahl Beschäftigte im Verhältnis zur ständigen Wohnbevölkerung der Gemeinde.
Art. 37 Lastenindex und massgebende Sonderlasten

1 Die Teilindikatoren werden standardisiert und mit Hilfe einer Hauptkomponentenanalyse zu einem Lastenindex zusammengefasst. Der Lastenindex einer Gemeinde entspricht der ersten standardisierten Hauptkomponente der standardisierten Teilindikatoren. Die Berechnung richtet sich nach Anhang 14.

2 Der Lastenindex eines Kantons entspricht dem gewichteten Mittelwert der Lastenindizes seiner Gemeinden. Als Gewicht dient die ständige Wohnbevölkerung der Gemeinden. Der Lastenindex des Kantons wird auf drei Kommastellen gerundet.

3 Aus dem Lastenindex eines Kantons wird eine Masszahl für die Lasten pro Einwohnerin und Einwohner des Kantons berechnet. Diese Masszahl entspricht der Differenz zwischen dem Lastenindex des Kantons und dem Lastenindex desjenigen Kantons mit dem tiefsten Indexwert.

4 Die für einen Kanton massgebenden Sonderlasten der Kernstädte entsprechen der mit der ständigen Wohnbevölkerung gewichteten Differenz zwischen den Lasten pro Einwohnerin und Einwohner des Kantons und dem Mittelwert der Lasten pro Einwohnerin und Einwohner aller Kantone. Sind die Lasten pro Einwohnerin und Einwohner des Kantons kleiner als der Mittelwert der Kantone, so sind die massgebenden Sonderlasten des Kantons Null.

5 …53

53 Aufgehoben durch Ziff. I der V vom 4. Nov. 2015, mit Wirkung seit 1. Jan. 2016 (AS 2015 4753).

3. Abschnitt: Ausgleichszahlungen

Art. 3854 Festlegung

1 Der Ausgleichsbetrag für den soziodemografischen Lastenausgleich entspricht dem Ausgleichsbetrag des Vorjahres angepasst gemäss der Veränderungsrate des Landesindexes der Konsumentenpreise gegenüber dem Vorjahresmonat zum Zeitpunkt der Berechnung.

2 Die Erhöhung der Beiträge nach Artikel 9 Absatz 2bis FiLaG wird nicht der Teuerung angepasst.

54 Fassung gemäss Ziff. I der V vom 6. Nov. 2019, in Kraft seit 1. Jan. 2020 (AS 2019 3823).

Art. 39 Verwendung

Der Ausgleichsbetrag wird wie folgt verwendet:

a.
zwei Drittel für die Abgeltung der massgebenden Sonderlasten aufgrund der Bevölkerungsstruktur;
b.
ein Drittel für die Abgeltung der massgebenden Sonderlasten der Kernstädte.
Art. 40 Beiträge an die Kantone

1 Die Beiträge, die ein Kanton für Sonderlasten aufgrund der Bevölkerungsstruktur und der Kernstädte erhält, sind proportional zu seinem Anteil an der Summe der entsprechenden Sonderlasten aller Kantone.

2 Die Beiträge an die Kantone sind in Anhang 15 aufgelistet.

3. Titel: Qualitätssicherung

Art. 41 Datenkontrolle und Berichterstattung

1 Das für die Erhebung der Daten zuständige Bundesamt plausibilisiert die Daten.

2 Stellt es bei den Daten Mängel fest, so weist es die Daten zur Überarbeitung innerhalb einer angemessenen Frist an den betroffenen Kanton zurück.

3 Anschliessend übermittelt es die Daten der eidgenössischen Finanzverwaltung (EFV) und erstattet Bericht über die Erhebung, Plausibilisierung und Überarbeitung der Daten.

Art. 42 Massnahmen bei ungenügender Datenqualität

1 Bei fehlerhaften, fehlenden oder nicht weiter verwertbaren Daten zum Ressourcenpotenzial treffen die eidgenössische Steuerverwaltung (ESTV) und die EFV folgende Massnahmen:

a.
Die ESTV korrigiert angemessen qualitativ ungenügende, aber weiterverwertbare Daten.
b.
Bei fehlenden oder nicht weiterverwertbaren Daten schätzt die EFV das Ressourcenpotenzial gemäss Anhang 16.

2 Bei fehlerhaften, fehlenden oder nicht weiter verwertbaren Daten zu den Lastenindizes nimmt das Bundesamt für Statistik (BFS) in Zusammenarbeit mit der EFV Korrekturen oder Schätzungen vor.

3 Die Erkenntnisse zur Datenqualität und die getroffenen Massnahmen werden dem betroffenen Kanton und der Konferenz der kantonalen Finanzdirektorinnen und ‑direktoren (FDK) mitgeteilt. Der betroffene Kanton hat Gelegenheit, sich innerhalb einer kurzen Frist zu den vorgenommenen Korrekturen und Schätzungen zu äussern.

Art. 42a55 Nachträgliche Berichtigung von Ausgleichszahlungen

1 Die Ausgleichszahlungen werden nachträglich berichtigt, wenn der Fehler der Ausgleichszahlungen bei einem Kanton pro Einwohnerin oder Einwohner mindestens 0,17 Prozent des durchschnittlichen Pro-Kopf-Ressourcenpotenzials der Schweiz entspricht (Erheblichkeitsgrenze).56

2 Für die Berechnung der Erheblichkeitsgrenze ist das Ressourcenpotenzial des vom Fehler betroffenen Referenzjahres massgebend.

3 Ausgleichszahlungen werden nur für ein Referenzjahr berichtigt, in welchem der Fehler die Erheblichkeitsgrenze erreicht.

55 Eingefügt durch Ziff. I der V vom 16. Nov. 2011, in Kraft seit 1. Jan. 2012 (AS 2011 5823).

56 Fassung gemäss Ziff. I der V vom 7. Nov. 2018, in Kraft seit 1. Jan. 2019 (AS 2018 4653).

Art. 43 Dokumentation

Die Korrekturen der Daten und die Schätzungen sind zu dokumentieren. Die Nachvollziehbarkeit ist sicherzustellen.

Art. 44 Fachgruppe Qualitätssicherung

1 Das EFD setzt zur Qualitätssicherung der Berechnungsgrundlagen für das Ressourcenpotenzial und die Lastenindizes eine begleitende, zwischen Bund und Kantonen paritätisch zusammengesetzte Fachgruppe ein.

2 Die Fachgruppe setzt sich zusammen aus:

a.
zwei Vertreterinnen oder Vertretern der EFV;
b.
je einer Vertreterin oder einem Vertreter der ESTV und des BFS;
c.
je zwei Vertreterinnen oder Vertretern der ressourcenstarken und der ressourcenschwachen Kantone.

3 Von den Vertreterinnen oder Vertretern der Kantone gemäss Absatz 2 Buchstabe c stammen mindestens eine Vertreterin oder ein Vertreter aus einem Kanton mit geografisch-topografischen Sonderlasten und einem Kanton mit soziodemografischen Sonderlasten.

4 Die eidgenössische Finanzkontrolle ist mit einer Beobachterin oder einem Beobachter in der Fachgruppe vertreten.

5 Die Sekretärin oder der Sekretär der FDK nimmt als Beobachterin bzw. als Beobachter Einsitz in die Fachgruppe.

6 Die Fachgruppe wird von einer Vertreterin oder einem Vertreter der Kantone gemäss Absatz 2 Buchstabe c geleitet.

7 Die EFV führt ihr Sekretariat.

Art. 45 Aufgaben der Fachgruppe

1 Die Fachgruppe begleitet die zuständigen Bundesstellen bei folgenden Aufgaben:

a.
Kontrolle der Datenerfassung des Ressourcen- und Lastenausgleichs in den Kantonen;
b.
Plausibilisierung und Überarbeitung der Daten;
c.
Korrekturen oder Schätzungen bei fehlerhaften, fehlenden oder nicht weiterverwertbaren Daten.

2 Die Fachgruppe erstattet dem EFD und den Kantonen jährlich Bericht über ihre Tätigkeit.

4. Titel: Wirksamkeitsbericht

Art. 46 Inhalt

1 Der Wirksamkeitsbericht hat folgenden Inhalt:

a.
Er gibt Auskunft über:
1.
den Vollzug des Finanzausgleichs, insbesondere die Beschaffung der Daten für den Ressourcen- und Lastenausgleich,
2.
die jährliche Volatilität der Beiträge der ressourcenstarken Kantone an den horizontalen Ressourcenausgleich und der Ausgleichszahlungen an die ressourcenschwachen Kantone innerhalb der Berichtsperiode.
b.
Er analysiert, inwieweit die Ziele des Finanz- und Lastenausgleichs in der Berichtsperiode erreicht wurden.
c.57
Er erörtert mögliche Massnahmen, namentlich:
1.
die Anpassung der garantierten Mindestausstattung des Ressourcenausgleichs (Art. 3a Abs. 2 Bst. a FiLaG),
2.
die Anpassung der Dotation des Lastenausgleichs (Art. 9 FiLaG),
3.
die vollständige oder teilweise Aufhebung des Härteausgleichs (Art. 19 Abs. 4 FiLaG).

2 Er kann Empfehlungen für die Überprüfung der Bemessungsgrundlagen des Ressourcen- und Lastenausgleichs enthalten.

3 Er enthält zudem in einer gesonderten Darstellung Angaben über die Wirkungen der interkantonalen Zusammenarbeit mit Lastenausgleich gemäss Artikel 18 Absatz 3 in Verbindung mit Artikel 11 FiLaG.

4 Der Wirksamkeitsbericht stützt sich bei der Beurteilung der Ziele insbesondere auf die Kriterien gemäss Anhang 17 ab und berücksichtigt anerkannte Standards der Evaluation.

5 Er gibt allfällige abweichende Meinungen innerhalb der paritätischen Fachgruppe wieder.

57 Fassung gemäss Ziff. I der V vom 6. Nov. 2019, in Kraft seit 1. Jan. 2020 (AS 2019 3823).

Art. 47 Datengrundlagen

1 Für die Überprüfung der Wirksamkeit werden Statistiken des Bundes und der Kantone sowie, soweit zweckmässig, verwaltungsexterne Daten und Analysen herangezogen.

2 Die Kantone stellen dem Bund die notwendigen Daten zur Verfügung.

Art. 48 Fachgruppe Wirksamkeitsbericht

1 Eine Fachgruppe, die sich paritätisch aus Vertreterinnen und Vertretern von Bund und Kantonen zusammensetzt, begleitet die Erarbeitung des Wirksamkeitsberichts. Sie äussert sich namentlich zur Auftragsvergabe an externe Gutachterinnen und Gutachter und zur Erarbeitung von Empfehlungen für den Ressourcen-, Lasten- und Härteausgleich.

2 Die Kantone sorgen für eine ausgewogene Zusammensetzung ihrer Delegation in der Fachgruppe, insbesondere sind die verschiedenen Sprachgruppen, Stadt- und Landregionen sowie die ressourcenstarken und ressourcenschwachen Kantone angemessen zu berücksichtigen.

3 Das EFD bestimmt die Zusammensetzung der Bundesdelegation, darunter die Vertreterinnen und Vertreter der EFV. Eine Vertreterin oder ein Vertreter der EFV leitet die Fachgruppe.

4 Das Sekretariat der Fachgruppe wird durch die EFV wahrgenommen.

5. Titel: Fälligkeit der Beiträge

Art. 50

Die Beiträge des Ressourcen-, Lasten- und Härteausgleichs sind halbjährlich jeweils am Ende des Halbjahres zu bezahlen.

6. Titel: Übergangsbestimmungen

1. Abschnitt: …

2. Abschnitt: Härteausgleich

Art. 55 Globalbilanz

1 Grundlage für die Ausgleichszahlungen des Härteausgleichs ist die Globalbilanz der Neugestaltung des Finanzausgleichs und der Aufgabenteilung zwischen Bund und Kantonen (NFA).

2 Die Globalbilanz der NFA zeigt die geschätzte finanzielle Nettobelastung oder Nettoentlastung des Bundes und der Kantone, die sich im Durchschnitt der Jahre 2004 und 2005 ergibt gemäss:

a.
dem Bundesbeschluss vom 3. Oktober 200361 zur Neugestaltung des Finanzausgleichs und der Aufgabenteilung zwischen Bund und Kantonen;
b.
dem Bundesgesetz vom 6. Oktober 200662 über die Schaffung und die Änderungen von Erlassen zur Neugestaltung des Finanzausgleichs und der Aufgabenteilung zwischen Bund und Kantonen;
c.
den Artikeln 3–9 und 23 FiLaG.
Art. 56 Beiträge an die Kantone

1 Mit dem Härteausgleich wird angestrebt, dass in der Globalbilanz jeder Kanton, dessen Ressourcenindex im Durchschnitt der Jahre 2004 und 2005 unter dem Wert von 100 liegt, eine finanzielle Nettoentlastung in Prozent des standardisierten Steuerertrags aufweist, die mindestens so gross ist wie der Grenzwert des Kantons.

2 Der Grenzwert des Kantons ist abhängig von seinem Ressourcenindex im Durchschnitt der Jahre 2004 und 2005 und dem für den Härteausgleich zur Verfügung stehenden Gesamtbetrag. Er berechnet sich nach Anhang 18.

3 Kantone, deren Ressourcenindex im Durchschnitt der Jahre 2004 und 2005 tiefer ist als 100 Punkte und deren Nettoentlastung in Prozent des standardisierten Steuerertrags in der Globalbilanz tiefer ist als der Grenzwert, erhalten in den Jahren 2008 bis 2015 einen Beitrag in der Höhe der Differenz zwischen der Nettoentlastung und dem Grenzwert (Anhang 18). Die restlichen Kantone erhalten keinen Beitrag.

4 Ab dem neunten Jahr ab Inkrafttreten der Verordnung reduziert sich der Beitrag um jährlich fünf Prozent des Anfangsbetrags.

5 Ein Kanton verliert seinen Anspruch auf den Härteausgleich ab dem Referenzjahr, in welchem sein Ressourcenindex auf über 100 Punkte steigt. Die Gesamtsumme des Härteausgleichs reduziert sich entsprechend.

2a. Abschnitt:63 Temporäre Abfederungsmassnahmen

63 Eingefügt durch Ziff. I der V vom 6. Nov. 2019, in Kraft seit 1. Jan. 2021 (AS 2019 3823).

Art. 56a

1 Der Anteil eines berechtigten Kantons an den Mitteln nach Artikel 19c Absatz 2 FiLaG entspricht der Anzahl der Einwohnerinnen und Einwohner des Kantons, dividiert durch die Summe der Einwohnerinnen und Einwohner aller berechtigten Kantone.

2 Die Ausgleichsbeiträge der Abfederungsmassnahmen richten sich nach Anhang 19.

3. Abschnitt: Wirksamkeitsbericht

Art. 5764

1 Der Wirksamkeitsbericht für die Periode 2020–2025 umfasst eine zusätzliche Darstellung zur Umsetzung des Bundesgesetzes vom 28. September 201865 über die Steuerreform und die AHV-Finanzierung in den Kantonen, namentlich der Instrumente des Abzugs von Forschungs- und Entwicklungsaufwand und des Abzugs für Eigenfinanzierung.

2 Die Kantone stellen dem Bund die notwendigen Informationen zur Verfügung.

64 Fassung gemäss Ziff. I der V vom 6. Nov. 2019, in Kraft seit 1. Jan. 2020 (AS 2019 3823).

65 AS 2019 2395

3a. Abschnitt:66 Berechnung der massgebenden Gewinne der juristischen Personen

66 Eingefügt durch Ziff. I der V vom 6. Nov. 2019, in Kraft seit 1. Jan. 2020 (AS 2019 3823).

Art. 57a67 Anwendung auf die Bemessungsjahre

1 Für Bemessungsjahre bis 2019 gelten die Bestimmungen des 1. Titels 1. Kapitel 5. und 6. Abschnitt, für Bemessungsjahre ab 2020 die Bestimmungen des 6a. Abschnitts.

2 Der Gewichtungsfaktor der Steuerrepartitionen nach Artikel 21 Absatz 2 basiert in den Bemessungsjahren bis 2019 auf den Gewinnen nach dem 1. Titel 1. Kapitel 5. und 6. Abschnitt, ab dem Bemessungsjahr 2020 auf den Gewinnen nach Abschnitt 6a.

67 In Kraft seit 1. Jan. 2024 (AS 2019 3823).

Art. 57b Weiteranwendung der Faktoren Beta

1 Bei Gesellschaften, die ihren besonderen Steuerstatus nach Artikel 28 Absätze 2–4 StHG68 in der bis 31. Dezember 2019 geltenden Fassung verloren haben, werden in den Bemessungsjahren 2020–2024 die Faktoren Beta nach Artikel 23a Absatz 1 FiLaG auf den Gewinnanteil nach Artikel 17 Buchstabe b dieser Verordnung in der bis 31. Dezember 2025 geltenden Fassung angewendet. Dies gilt ebenso für Gesellschaften, die auf ihren Steuerstatus verzichtet haben, für die Bemessungsjahre 2017–2024. Die Gewinnanteile aus den Einkünften aus der Schweiz fliessen zu 100 Prozent in die Bemessungsgrundlage ein.

2 Die Gewinne, die aufgrund der Reduktion des Volumens nach Artikel 23a Absatz 1 FiLaG nicht mehr der Gewichtung mit den Faktoren Beta unterstehen, werden nach Artikel 20a dieser Verordnung gewichtet.69

3 Die Berechnung und die Faktoren Beta für das Referenzjahr 2020 sind in Anhang 6a festgelegt.70

68 SR 642.14

69 In Kraft seit 1. Jan. 2024 (AS 2019 3823).

70 In Kraft seit 1. Jan. 2024 (AS 2019 3823).

Art. 57c Datenerhebung zur Weiteranwendung der Faktoren Beta

1 Die Kantone identifizieren die juristischen Personen, für die nach Artikel 57b die Faktoren Beta weiter angewendet werden.

2 Für den Gewinn dieser juristischen Personen richtet sich die Berechnung des mit dem entsprechenden Faktor Beta multiplizierten Gewinnanteils nach Artikel 57b Absatz 1 nach dem gewichteten Durchschnitt der letzten drei Jahre als juristische Person mit besonderem Steuerstatus.

2bis Der nach Absatz 2 berechnete Gewinnanteil gilt für nicht definitiv veranlagte Gesellschaften in den Bemessungsjahren 2020–2024 als von gleichwertiger Qualität wie definitiv veranlagte Angaben nach Artikel 19 Absätze 5 und 6 in der Fassung vom 1. Januar 201671.72

3 Ist eine juristische Person mit besonderem Steuerstatus Gegenstand einer Umstrukturierung, so wird die Gewichtung nach Artikel 57b anteilsmässig berücksichtigt.

71 AS 2015 4753

72 Eingefügt durch Ziff. I der V vom 16. Nov. 2022, in Kraft seit 1. Jan. 2023 (AS 2022 761).

Art. 57d73 Festlegung der Faktoren Zeta-1 und Zeta-2

1 Sind für die Berechnung des Faktors Zeta-1 nach Artikel 20b Absatz 1 nicht Daten von sechs Bemessungsjahren verfügbar, so wird der Faktor Zeta-1 mit den Daten der verfügbaren Bemessungsjahre berechnet.

2 Liegen die Faktoren Zeta-1 und Zeta-2 in den Bemessungsjahren 2020–2026 ausserhalb der nachfolgenden Spannweiten, wird der jeweilige Zeta-Faktor auf den nächstliegenden Wert innerhalb der Spannweite festgelegt. Die Spannweiten betragen:

a.
für den Faktor Zeta-1: zwischen 27,3 und 37,3 Prozent;
b.
für den Faktor Zeta-2: zwischen 27,5 und 37,5 Prozent.

73 In Kraft seit 1. Jan. 2024 (AS 2019 3823).

3b. Abschnitt:74 Ergänzungsbeiträge

74 Eingefügt durch Ziff. I der V vom 6. Nov. 2019, in Kraft seit 1. Jan. 2024 (AS 2019 3823).

Art. 57e Berechnungsgrundlage

1 Die Ergänzungsbeiträge nach Artikel 23a Absatz 4 FiLaG werden aufgrund der standardisierten Steuererträge des Referenzjahrs 2023 zuzüglich des Ressourcenausgleichs des jeweiligen Referenzjahrs berechnet.

2 Die Zahlungen werden so auf die ressourcenschwachen Kantone verteilt, dass alle berechtigten Kantone zusammen mit der Summe nach Absatz 1 denselben Wert erreichen. Die Berechnung ist in Anhang 20 festgelegt.

7. Titel: Schlussbestimmungen

Art. 58 Aufhebung bisherigen Rechts

Folgende Verordnungen werden aufgehoben:

1.
Verordnung vom 21. Dezember 197375 über die Abstufung der Bundesbeiträge nach der Finanzkraft der Kantone.
2.
Verordnung vom 27. November 198976 über den Finanzausgleich mit dem Kantonsanteil an der direkten Bundessteuer.

75 [AS 1974 146]

76 [AS 1989 2470; 2002 3069]

Anhang 177

77 Fassung gemäss Ziff. I 1 der V vom 5. Nov. 2014 (AS 2014 3825). Bereinigt gemäss Ziff. II Abs. 2 der V vom 4. Nov. 2015 (AS 2015 4753), Ziff. I 1 vom 27. Nov. 2024, in Kraft seit 1. Jan. 2025 (AS 2024 770).

(Art. 1–5)

Ressourcenpotenzial und standardisierter Steuerertrag

1. Ressourcenpotenzial

Kantonswerte für das Referenzjahr 2025

Kanton

Ressourcenpotenzial

(in 1000 Fr.)

Mittlere ständige
und nichtständige Wohnbevölkerung
(Mittelwert 2019–2021)

Ressourcenpotenzial pro Kopf
(in Fr.)

Ressourcenindex

Zürich

64 374 049

1 554 507

41 411

119.0

Bern

26 826 871

1 046 974

25 623

73.6

Luzern

13 437 575

417 392

32 194

92.5

Uri

910 200

37 056

24 563

70.6

Schwyz

10 406 533

162 029

64 226

184.5

Obwalden

1 481 215

38 368

38 605

110.9

Nidwalden

2 425 216

43 584

55 645

159.8

Glarus

1 030 745

41 058

25 105

72.1

Zug

12 682 566

129 803

97 707

280.7

Freiburg

8 148 885

325 470

25 037

71.9

Solothurn

6 956 460

278 410

24 986

71.8

Basel-Stadt

11 112 319

198 795

55 898

160.6

Basel-Landschaft

10 039 277

291 882

34 395

98.8

Schaffhausen

3 005 269

83 477

36 001

103.4

Appenzell A.Rh.

1 656 532

55 486

29 855

85.8

Appenzell I.Rh.

597 491

16 284

36 693

105.4

St. Gallen

14 480 323

515 450

28 093

80.7

Graubünden

6 439 989

206 404

31 201

89.6

Aargau

19 534 676

694 710

28 119

80.8

Thurgau

8 040 343

283 003

28 411

81.6

Tessin

11 154 091

354 247

31 487

90.4

Waadt

28 511 972

818 813

34 821

100.0

Wallis

8 212 177

355 492

23 101

66.4

Neuenburg

4 550 918

177 572

25 629

73.6

Genf

25 458 118

508 151

50 099

143.9

Jura

1 685 788

73 840

22 830

65.6

Total Kantone

303 159 599

8 708 254

34 813

100.0

2. Standardisierter Steuerertrag

Kommentar zur Berechnung

Der standardisierte Steuerertrag der Schweiz entspricht den durchschnittlichen Steuereinnahmen aller Kantone und Gemeinden. Diese bestehen aus dem gesamten Fiskalertrag der Kantone und Gemeinden abzüglich der Debitorenverluste und zuzüglich des Kantonsanteils am Ertrag der direkten Bundessteuer (17 %).

Der standardisierte Steuersatz ist für alle Kantone gleich hoch und basiert auf dem Ressourcenpotenzial und den Steuereinnahmen der Gesamtheit der Kantone.

Wert des standardisierten Steuersatzes für das Referenzjahr 2025

Standardisierter Steuersatz für das Referenzjahr 2025 = 28,1 %

Anhang 278

78 Fassung gemäss Ziff. I 2 der V vom 27. Nov. 2024, in Kraft seit 1. Jan. 2025 (AS 2024 770).

(Art. 7)

Massgebendes Einkommen der natürlichen Personen

Kantonswerte für das Referenzjahr 2025

Kanton

Massgebendes Einkommen
der natürlichen Personen (in 1000 Fr.)

Zürich

44 197 630

Bern

19 222 601

Luzern

8 718 224

Uri

631 593

Schwyz

6 704 724

Obwalden

999 743

Nidwalden

1 431 541

Glarus

691 086

Zug

6 502 190

Freiburg

5 984 464

Solothurn

5 428 692

Basel-Stadt

5 685 725

Basel-Landschaft

7 573 594

Schaffhausen

1 594 920

Appenzell A.Rh.

1 138 118

Appenzell I.Rh.

385 318

St. Gallen

9 414 163

Graubünden

4 038 176

Aargau

14 606 068

Thurgau

5 539 957

Tessin

7 277 564

Waadt

19 351 591

Wallis

5 950 265

Neuenburg

3 107 995

Genf

14 554 249

Jura

1 108 520

Total Kantone

201 838 710

Anhang 379

79 Fassung gemäss Ziff. II Abs. 3 der V vom 6. Nov. 2019 (AS 2019 3823). Bereinigt gemäss Ziff. I 1 vom 27. Nov. 2024, in Kraft seit 1. Jan. 2025 (AS 2024 770).

(Art. 9 und 10)

Massgebendes quellenbesteuertes Einkommen

1. Definition der Variablen und Parameter

BQA
Bruttoeinkommen der gebietsansässigen Ausländerinnen und Ausländer und der ausländischen Verwaltungsrätinnen und Verwaltungsräte
BQB
Bruttoeinkommen der vollständig besteuerten Grenzgängerinnen und Grenzgänger
BQC
Bruttoeinkommen der begrenzt besteuerten Grenzgängerinnen und Grenzgänger aus Österreich
BQD
Bruttoeinkommen der begrenzt besteuerten Grenzgängerinnen und Grenzgänger aus Deutschland
BQE
Bruttoeinkommen der begrenzt besteuerten Grenzgängerinnen und Grenzgänger aus Frankreich mit Besteuerung durch den Kanton Genf
BQF
Bruttoeinkommen der begrenzt besteuerten Grenzgängerinnen und Grenzgänger aus Frankreich mit Besteuerung durch Frankreich
BQG
Bruttoeinkommen der begrenzt besteuerten Grenzgängerinnen und Grenzgänger aus Italien
TC
Anteil des Österreich zustehenden Fiskalausgleichs gemäss DBA-A
TD
Maximaler Schweizer Steuersatz auf den Bruttoeinkünften der begrenzt besteuerten Grenzgängerinnen und Grenzgänger aus Deutschland gemäss Artikel 15a DBA-D
TE
Anteil der durch den Kanton Genf an Frankreich zurückerstatteten Bruttolohnsumme der begrenzt besteuerten Grenzgängerinnen und Grenzgänger aus Frankreich mit Besteuerung durch den Kanton Genf gemäss Abkommen des Kantons Genf mit Frankreich vom 29.1.1973
TF
Maximaler Anteil (Steuersatz) der durch Frankreich zurückerstatteten Bruttolohnsumme der begrenzt besteuerten Grenzgängerinnen und Grenzgänger aus Frankreich mit Besteuerung durch Frankreich gemäss dem Abkommen der Kantone Bern, Solothurn, Basel-Stadt, Basel-Landschaft, Waadt, Wallis und Neuenburg vom 11.4.1983
TG
Anteil der an Italien zurückerstatteten Bruttosteuereinnahmen von begrenzt besteuerten Grenzgängerinnen und Grenzgängern aus Italien gemäss Artikel 14a DBA-I und der Vereinbarung der Kantone Graubünden, Tessin und Wallis mit Italien
Letzter verfügbarer standardisierter Steuersatz für das Bemessungsjahr t (d.h. Bemessungsjahr + 3 Jahre)
γ
Faktor Gamma: Auf drei Stellen gerundetes Verhältnis zwischen dem massgebenden Einkommen der natürlichen Personen der Schweiz und dem Primäreinkommen der privaten Haushalte der Schweiz in den Bemessungsjahren. Der Faktor Gamma wird jährlich berechnet.
δ
Faktor Delta: Faktor, der die Lasten der Grenzgänger berücksichtigt und deren Einkommen BQB, BQC, BQD, BQE, BQF und BQG tiefer gewichtet.

2. Berechnungsformeln

(1)
Massgebendes quellenbesteuertes Einkommen der gebietsansässigen Ausländerinnen und Ausländer und ausländischen Verwaltungsrätinnen und Verwaltungsräte eines Kantons:
γ · BQA
(2)
Massgebendes quellenbesteuertes Einkommen der vollständig besteuerten Grenzgängerinnen und Grenzgänger eines Kantons:
γ · δ ·BQB
(3)
Massgebendes quellenbesteuertes Einkommen der begrenzt besteuerten Grenzgängerinnen und Grenzgänger aus Österreich:

(4)
Massgebendes quellenbesteuertes Einkommen der begrenzt besteuerten Grenzgängerinnen und Grenzgänger aus Deutschland:

(5)
Massgebendes quellenbesteuertes Einkommen der begrenzt besteuerten Grenzgängerinnen und Grenzgänger aus Frankreich mit Besteuerung durch den Kanton Genf:

(6)
Massgebendes quellenbesteuertes Einkommen der begrenzt besteuerten Grenzgängerinnen und Grenzgänger aus Frankreich mit Besteuerung durch Frankreich:

(7)
Massgebendes quellenbesteuertes Einkommen der begrenzt besteuerten Grenzgängerinnen und Grenzgänger aus Italien:

3. Parameterwerte für das Referenzjahr 2025

Parameter

Wert

γ2019

0.385

γ2020

0.392

γ2021

0.398

δ

0.750

SST2022

0.258

SST2023

0.255

SST2024

0.270

TC

0.125

TD

0.045

TE

0.035

TF

0.045

TG

0.400

4. Kommentar zur Berechnung

4.1
Das massgebende quellenbesteuerte Einkommen setzt sich zusammen aus dem Einkommen der gebietsansässigen Ausländerinnen und Ausländer und der ausländischen Verwaltungsrätinnen und Verwaltungsräte (BQA), dem Einkommen der vollständig besteuerten Grenzgängerinnen und Grenzgänger (BQB) sowie dem Einkommen der begrenzt besteuerten Grenzgängerinnen und Grenzgänger (BQC, BQD, BQE, BQF und BQG).
4.2
Erfasst werden die entsprechenden Bruttoeinkommen. Mit dem Faktor γ werden die Bruttoeinkommen in eine mit dem steuerbaren Einkommen vergleichbare Grösse umgerechnet. Bei den gebietsansässigen Ausländerinnen und Ausländern und den ausländischen Verwaltungsrätinnen und Verwaltungsräten ist zur Bestimmung des massgebenden Einkommens lediglich eine Multiplikation der entsprechenden Bruttoeinkommen mit dem Faktor γ erforderlich [Berechnungsformel (1)].
4.3
Zusätzlich zum Faktor γ werden die Bruttolöhne der Grenzgängerinnen und Grenzgänger mit einem Faktor δ von 0,75 gewichtet. Damit fliessen die mit dem Faktor δ gewichteten Bruttolöhne der Grenzgängerinnen und Grenzgänger nur zu 75 Prozent in die Berechnung der massgebenden quellenbesteuerten Einkommen ein. Dies gilt für sämtliche Grenzgänger-Kategorien.
4.3.1
Formel (2), vollständig besteuerte Grenzgängerinnen und Grenzgänger: Das massgebende steuerbare Einkommen beträgt γ ⋅ δ . BQB.
4.4
Mit den Berechnungsformeln (3)–(7) werden die begrenzt besteuerten Grenzgängereinkommen auf der Basis der entsprechenden Doppelbesteuerungsabkommen mit Österreich, Deutschland, Frankreich und Italien umgerechnet.
4.4.1
Formel (3), Grenzgängerinnen und Grenzgänger aus Österreich: Die Bruttoeinkommen werden in der Schweiz besteuert und davon Österreich ein Fiskalausgleich in der Höhe von 12,5 Prozent ihres Steueraufkommens geleistet. Das massgebende steuerbare Einkommen, γ ⋅ δ . BQC, wird um den Österreich zustehenden Anteil, TC, korrigiert.
4.4.2
Formel (4), Grenzgängerinnen und Grenzgänger aus Deutschland: Die Bruttoeinkommen der Grenzgängerinnen und Grenzgänger werden zu einem Satz von maximal 4,5 Prozent besteuert. Der in der Schweiz steuerbare Einkommensanteil wird durch Division des Steuerertrags, TD ⋅ δ . BQD, mit dem entsprechenden standardisierten Steuersatz, SSTt+3, ermittelt.
4.4.3
Formel (5), Grenzgängerinnen und Grenzgänger aus Frankreich in Genf: Die Besteuerung erfolgt in der Schweiz mit einer Rückerstattung an Frankreich von 3,5 Prozent der Bruttolohnsumme. Vom massgebenden steuerbaren Einkommen bei vollständiger Besteuerung durch Genf, γ ⋅ δ . BQE, wird der Anteil abgezogen, der Frankreich abzuliefern ist. Dieser Anteil wird berechnet, indem die an Frankreich abzuliefernde Steuer, TE ⋅ δ . BQE, durch Division mit dem entsprechenden standardisierten Steuersatz, SSTt+3, auf das steuerbare Einkommen hochgerechnet wird.
4.4.4
Formel (6), Grenzgängerinnen und Grenzgänger aus Frankreich (ohne Grenzgängerinnen und Grenzgänger aus Frankreich in Genf): Die Besteuerung erfolgt durch Frankreich, die Schweiz erhält maximal 4,5 Prozent des Bruttoeinkommens. Der in der Schweiz steuerlich ausgeschöpfte Einkommensanteil wird durch Division des Steuerertrags, TF ⋅ δ . BQF, mit dem entsprechenden standardisierten Steuersatz, SSTt+3, ermittelt.
4.4.5
Formel (7), Grenzgängerinnen und Grenzgänger aus Italien: Rückvergütung von 40 Prozent der Steuereinnahmen an Italien. Das massgebende steuerbare Einkommen, γ ⋅ δ . BQG, wird um den Italien zustehenden Anteil, TG, korrigiert.

5. Kantonswerte für das Referenzjahr 2025

Kanton

Massgebende quellenbesteuerte Einkommen
(in 1000 Fr.)

Zürich

2 057 665

Bern

673 135

Luzern

329 474

Uri

33 258

Schwyz

168 365

Obwalden

40 728

Nidwalden

44 196

Glarus

50 221

Zug

267 840

Freiburg

264 640

Solothurn

224 089

Basel-Stadt

836 196

Basel-Landschaft

430 050

Schaffhausen

142 501

Appenzell A.Rh.

24 478

Appenzell I.Rh.

10 011

St. Gallen

539 569

Graubünden

451 607

Aargau

801 840

Thurgau

360 585

Tessin

1 145 590

Waadt

1 342 135

Wallis

431 427

Neuenburg

275 271

Genf

2 773 349

Jura

109 943

Total Kantone

13 828 163

Anhang 480

80 Fassung gemäss Ziff. II Abs. 3 der V vom 6. Nov. 2019 (AS 2019 3823). Bereinigt gemäss Ziff. I 1 vom 27. Nov. 2024, in Kraft seit 1. Jan. 2025 (AS 2024 770).

(Art. 13 und 14)

Massgebendes Vermögen der natürlichen Personen

1. Definition der Variablen und Parameter

Vermögenssteuereinnahmen der Kantone und Gemeinden
Reinvermögen
Einkommenssteuereinnahmen der Kantone und Gemeinden
Quellensteuereinnahmen der Kantone und Gemeinden
Kantonsanteil an der direkten Bundessteuer nach Artikel 196 Absatz 1 DBG81
Einkommenssteuereinnahmen der direkten Bundessteuer
Massgebende Einkommen der natürlichen Personen
Massgebende quellenbesteuerte Einkommen der natürlichen Personen

2. Berechnung des Faktors Alpha

2.1
Der Faktor Alpha nach Artikel 13 wird gemäss folgender Formel berechnet:

2.2
Der Faktor Alpha wird jährlich berechnet und basiert auf den letzten verfügbaren sechs Bemessungsjahren.

3. Faktor Alpha für die Bemessungsjahre 2019–2021

2019

2020

2021

Faktor Alpha

0.015

0.015

0.015

4. Kommentar zur Berechnung des Faktors Alpha

Der Faktor Alpha berechnet sich, indem die Ausschöpfung der Vermögen durch die Ausschöpfung der Einkommen dividiert wird. Die Ausschöpfung der Vermögen entspricht den gesamten Vermögenssteuereinnahmen der Kantone und Gemeinden dividiert durch die gesamten Reinvermögen der Schweiz. Für die Ausschöpfung der Einkommen werden die gesamten Einkommens- und Quellensteuereinnahmen der Kantone und Gemeinden inklusive dem Kantonsanteil an der direkten Bundessteuer auf Einkommen verwendet und durch die massgebenden Einkommen der natürlichen Personen gemäss Anhang 2 und den massgebenden quellenbesteuerten Einkommen gemäss Anhang 3 dividiert.

5. Kantonswerte für das Referenzjahr 2025

Kanton

Massgebendes Vermögen
der natürlichen Personen (in 1000 Fr.)

Zürich

7 253 957

Bern

3 246 073

Luzern

1 685 071

Uri

125 055

Schwyz

2 183 432

Obwalden

249 781

Nidwalden

629 752

Glarus

130 223

Zug

1 395 041

Freiburg

537 084

Solothurn

485 352

Basel-Stadt

1 104 561

Basel-Landschaft

761 944

Schaffhausen

250 157

Appenzell A.Rh.

260 802

Appenzell I.Rh.

110 107

St. Gallen

1 964 412

Graubünden

1 148 803

Aargau

2 079 307

Thurgau

1 055 299

Tessin

1 259 364

Waadt

2 539 864

Wallis

969 674

Neuenburg

317 267

Genf

2 480 629

Jura

120 613

Total Kantone

34 343 625

Anhang 582

82 Fassung gemäss Ziff. I 2 der V vom 27. Nov. 2024, in Kraft seit 1. Jan. 2025 (AS 2024 770).

(Art. 16)

Massgebende Gewinne der juristischen Personen ohne besonderen Steuerstatus

Kantonswerte für das Bemessungsjahr 2019

Nach Artikel 57a Absatz 1 gelten für Bemessungsjahre bis 2019 die Bestimmungen des 1. Titels 1. Kapitel 5. und 6. Abschnitt, für Bemessungsjahre ab 2020 die Bestimmungen des 6a. Abschnitts. Nachfolgende Tabelle enthält die massgebenden Gewinne der juristischen Personen ohne besonderen Steuerstatus für das Bemessungsjahr 2019. Die massgebenden Gewinne der juristischen Personen für das Referenzjahr 2025 (Bemessungsjahre 2019–2021) werden in Anhang 6a ausgewiesen.

Kanton

Massgebende Gewinne der juristischen Personen
ohne besonderen Steuerstatus
(in 1000 Fr.)

Zürich

17 150 562

Bern

6 723 569

Luzern

3 494 293

Uri

196 490

Schwyz

1 793 220

Obwalden

281 630

Nidwalden

506 449

Glarus

202 392

Zug

3 515 711

Freiburg

1 636 853

Solothurn

1 247 246

Basel-Stadt

4 697 037

Basel-Landschaft

1 410 179

Schaffhausen

550 981

Appenzell A.Rh.

371 589

Appenzell I.Rh.

152 018

St. Gallen

3 850 521

Graubünden

868 681

Aargau

3 380 977

Thurgau

1 717 035

Tessin

2 188 955

Waadt

4 986 300

Wallis

1 294 116

Neuenburg

1 083 771

Genf

5 134 010

Jura

516 233

Total Kantone

68 950 817

Anhang 683

83 Fassung gemäss Ziff. II Abs. 3 der V vom 6. Nov. 2019, in Kraft bis zum 31. Dez. 2025 (AS 2019 3823). Bereinigt gemäss Ziff. I 1 vom 27. Nov. 2024, in Kraft seit 1. Jan. 2025 (AS 2024 770).

(Art. 18–20)

Massgebende Gewinne der juristischen Personen
mit besonderem Steuerstatus

Zuschlagsfaktoren für die Berechnungen der Faktoren Beta

1. Definition der Variablen und Parameter

π
Kantonsanteil an der direkten Bundessteuer gemäss Artikel 196 Absatz 1 DBG84
TDBG
Gewinnsteuersatz der direkten Bundessteuer gemäss Artikel 68 DBG
β*
Basisfaktor gemäss Artikel 20 Absatz 1
ω
Reduktionsfaktor (Entgelt an die Kantone für die Erhebung der direkten Bundessteuer)
SST2019
Standardisierter Steuersatz für das Referenzjahr 2019

2. Berechnung der Zuschlagsfaktoren

Die Zuschlagsfaktoren gemäss Artikel 20 Absatz 2 werden gemäss folgender Formel berechnet:

3. Parameterwerte für Referenzjahre ab 2020

Parameter

Wert

π

0.17

TDBG

0.085

SST2019

0.261

ω

0.5

4. Faktoren Beta für Referenzjahre ab 2020

Basisfaktor β*

Zuschlagsfaktor

Faktor β

Holdinggesellschaften

  0.0 %

2.8 %

  2.8 %

Domizilgesellschaften

  9.9 %

2.5 %

12.4 %

gemischte Gesellschaften

10.0 %

2.5 %

12.5 %

5. Kommentar zur Berechnung der Zuschlagsfaktoren

Die Faktoren Beta berechnen sich aus einem Basisfaktor β* und einem Zuschlagsfaktor. Der Zuschlagsfaktor berechnet sich wie folgt: In einem ersten Schritt wird der Gewinnsteuersatz der direkten Bundessteuer, TDBG, mit dem Kantonsanteil, π, multipliziert (TDBG · π). Anschliessend erfolgt eine Korrektur um den Teil, der bereits im Basisfaktor enthalten ist (1–β*). Mit einer weiteren Korrektur (1–ϖ) wird dem Umstand Rechnung getragen, dass der Kantonsanteil an der direkten Bundessteuer zumindest teilweise einer Bezugsprovision an die Kantone gleichkommt. In einem letzten Schritt wird dieser bereinigte Steuersatz durch die Division mit dem standardisierten Steuersatz des Jahres 2019, SST2019, auf einen auf die Gewinne anwendbaren Faktor hochgerechnet.

6. Kantonswerte für das Bemessungsjahr 2019

Nach Artikel 57a Absatz 1 gelten für Bemessungsjahre bis 2019 die Bestimmungen des 1. Titels 1. Kapitel 5. und 6. Abschnitt, für Bemessungsjahre ab 2020 die Bestimmungen des 6a. Abschnitts. Nachfolgende Tabelle enthält die massgebenden Gewinne der juristischen Personen mit besonderem Steuerstatus für das Bemessungsjahr 2019. Die massgebenden Gewinne der juristischen Personen für das Referenzjahr 2025 (Bemessungsjahre 2019–2021) werden in Anhang 6a ausgewiesen.

Kanton

Massgebende Gewinne der juristischen Personen
mit besonderem Steuerstatus
(in 1000 Fr.)

Zürich

1 694 879

Bern

413 092

Luzern

713 242

Uri

1 005

Schwyz

227 045

Obwalden

25 919

Nidwalden

35 289

Glarus

44 902

Zug

2 423 292

Freiburg

374 020

Solothurn

41 504

Basel-Stadt

967 721

Basel-Landschaft

689 403

Schaffhausen

640 753

Appenzell A.Rh.

21 551

Appenzell I.Rh.

552

St. Gallen

386 582

Graubünden

91 778

Aargau

39 947

Thurgau

17 797

Tessin

140 314

Waadt

2 346 761

Wallis

7 244

Neuenburg

98 567

Genf

2 296 165

Jura

26 437

Total Kantone

13 765 760

Anhang 6a85

85 Eingefügt durch Ziff. II Abs. 2 der V vom 6. Nov. 2019 (AS 2019 3823). Bereinigt gemäss Ziff. I 1 vom 27. Nov. 2024, in Kraft seit 1. Jan. 2025 (AS 2024 770).

(Art. 20a, 20b und 20c)

Massgebende Gewinne der juristischen Personen

1. Definition der Variablen und Parameter

Die Zeta-Faktoren gewichten die Gewinne der juristischen Personen im Ressourcenpotenzial gemäss ihrer steuerlichen Ausschöpfung. Es wird unterschieden zwischen den ordentlich besteuerten Gewinnen, die ausschliesslich mit Zeta-1 gewichtet werden, und den Gewinnen aus Patenten und vergleichbaren Rechten (Boxengewinnen), die reduziert besteuert und deshalb vorab mit Zeta-2 und anschliessend mit Zeta-1 gewichtet werden.

Gewichtungsfaktor für die Gewinne der juristischen Personen. Entspricht dem Verhältnis der steuerlichen Ausschöpfung der Gewinne der juristischen Personen zur steuerlichen Ausschöpfung der Einkommen und Vermögen der natürlichen Personen.

Gewichtungsfaktor für die Boxengewinne. Entspricht dem durchschnittlichen steuerbaren Anteil der Boxengewinne nach (statutarischer) Entlastung unter Einbezug des Anteils an der direkten Bundessteuer π.

Basisfaktor für . Entspricht dem durchschnittlichen steuerbaren Anteil der Boxengewinne nach (statutarischer) Entlastung.

Massgebende Gewinne des Kantons k

Massgebende Einkommen der natürlichen Personen Total

Massgebende quellenbesteuerte Einkommen der natürlichen Personen Total

Massgebende Vermögen der natürlichen Personen Total

Bemessungsgrundlage der Gewinne der juristischen Personen des Kantons k

Bemessungsgrundlage der Gewinne der juristischen Personen Total

Boxengewinne Total

Boxengewinne des Kantons k

Ordentliche Gewinne Total

Ordentliche Gewinne des Kantons k

Gewinnsteuereinnahmen juristischer Personen der Kantone und Gemeinden (inklusive Kantonsanteile an der direkten Bundessteuer)

Gewinnsteuereinnahmen juristischer Personen der Kantone und Gemeinden ohne Kantonsanteil an der direkten Bundessteuer

Einkommens-, Quellen- und Vermögenssteuereinnahmen der Kantone und Gemeinden (inklusive Kantonsanteile an der direkten Bundessteuer)

Ermässigung bei der Berechnung des steuerbaren Gewinns nach Art. 24b StHG86 des Kantons k

Gewinnsteuereinnahmen juristischer Personen der direkten Bundessteuer

Kantonsanteil an der direkten Bundessteuer nach Artikel 196 Absatz 1 DBG

Summe der Forschungs- und Entwicklungsaufwände nach Artikel 24b Absatz 3, jedoch ohne allfällige Abzüge nach Artikel 25a StHG der Unternehmen im Kanton k

Anteil der nicht mehr mit den Faktoren Beta gewichteten Gewinne nach Artikel 57b (Umbuchungsfaktor)

2. Berechnung

2.1
Die massgebenden Gewinne der juristischen Personen eines Kantons ergeben sich aus der Multiplikation der Bemessungsgrundlage mit dem Faktor Zeta-1:

2.2
Der Faktor Zeta-1 nach Artikel 20b Absatz 1 berechnet sich aus dem Verhältnis der steuerlichen Ausschöpfung der Gewinne der juristischen Personen zur steuerlichen Ausschöpfung der Einkommen und Vermögen der natürlichen Personen:

2.3
Der Faktor Zeta-1 wird jährlich berechnet und basiert auf den letzten verfügbaren sechs Bemessungsjahren.
2.4
Die Bemessungsgrundlage der Gewinne der juristischen Personen besteht aus der Summe der ordentlichen Gewinne, der gewichteten Boxengewinne und der gewichteten Forschungs- und Entwicklungsaufwände nach Artikel 20a Absatz 2:

2.5
Der Faktor Zeta-2 nach Artikel 20b Absatz 2 wird jährlich berechnet und basiert auf der durchschnittlichen Tiefergewichtung der Boxengewinne im letzten verfügbaren Bemessungsjahr (Basisfaktor ). Zudem wird berücksichtigt, dass der Kantonsanteil an der direkten Bundessteuer den Kantonen ohne Reduktion zukommt:

3. Faktoren Zeta und Gewichtung des Forschungs- und Entwicklungsaufwands für die Bemessungsjahre 2020–2021

2019

2020

2021

ζ1

34,0 %

33,6 %

ζ2

31,6 %

34,5 %

Gewichtung F+E-Aufwand

68,4 %

65,5 %

4. Weiteranwendung der Faktoren Beta in den Bemessungsjahren 2017–2024

4.1
Für die Bemessungsjahre t = 2017–2024 werden die massgebenden Gewinne der juristischen Personen nach Artikel 57b sowohl mit der Berechnungsweise nach Anhang 6 wie auch mit der Berechnungsweise nach Ziffer 2 dieses Anhangs berechnet. Die massgebenden Gewinne berechnen sich aus dem mit dem Umbuchungsfaktor gewichteten Mittel der beiden Resultate:

4.2
Der Umbuchungsfaktor beträgt in den Bemessungsjahren:

t

2017–2020

2021

2022

2023

2024

0 %

20 %

40 %

60 %

80 %

4.3
Die Faktoren Beta betragen in der Übergangsphase:

Basisfaktor β*

Zuschlagsfaktor

Faktor β

Holdinggesellschaften

  0.0 %

2.8 %

  2.8 %

Domizilgesellschaften

  9.9 %

2.5 %

12.4 %

gemischte Gesellschaften

10.0 %

2.5 %

12.5 %

5. Kantonswerte für das Referenzjahr 2025

Kanton

Massgebende Gewinne
der juristischen Personen (in 1000 Fr.)

Zürich

10 891 580

Bern

4 036 354

Luzern

2 747 618

Uri

120 651

Schwyz

1 360 137

Obwalden

191 568

Nidwalden

333 854

Glarus

153 555

Zug

4 517 153

Freiburg

1 400 737

Solothurn

797 718

Basel-Stadt

3 534 213

Basel-Landschaft

1 289 407

Schaffhausen

1 001 158

Appenzell A.Rh.

240 955

Appenzell I.Rh.

91 782

St. Gallen

2 549 007

Graubünden

706 028

Aargau

1 966 528

Thurgau

1 080 495

Tessin

1 407 858

Waadt

5 299 123

Wallis

748 506

Neuenburg

699 730

Genf

5 604 426

Jura

334 496

Total Kantone

53 104 638

Anhang 787

87 Fassung gemäss Ziff. I 2 der V vom 27. Nov. 2024, in Kraft seit 1. Jan. 2025 (AS 2024 770).

(Art. 21)

Massgebende Steuerrepartitionen der direkten Bundessteuer

Kantonswerte für das Referenzjahr 2025

Kanton

Massgebende Steuerrepartitionen
der direkten Bundessteuer (in 1000 Fr.)

Zürich

–26 784

Bern

–351 292

Luzern

–42 812

Uri

–358

Schwyz

–10 124

Obwalden

–604

Nidwalden

–14 127

Glarus

5 661

Zug

342

Freiburg

–38 039

Solothurn

20 608

Basel-Stadt

–48 376

Basel-Landschaft

–15 717

Schaffhausen

16 533

Appenzell A.Rh.

–7 821

Appenzell I.Rh.

272

St. Gallen

13 171

Graubünden

95 374

Aargau

80 933

Thurgau

4 007

Tessin

63 714

Waadt

–20 741

Wallis

112 305

Neuenburg

150 656

Genf

45 465

Jura

12 216

Total Kantone

44 463

Anhang 7a88

88 Eingefügt durch Ziff. II Abs. 2 der V vom 6. Nov. 2019 (AS 2019 3823). Bereinigt gemäss Ziff. I 1 vom 27. Nov. 2024, in Kraft seit 1. Jan. 2025 (AS 2024 770).

(Art. 22a)

Beiträge an die ressourcenschwachen Kantone

1. Definition der Variablen und Parameter

Beitrag an den ressourcenschwachen Kanton r
durchschnittliche mittlere ständige und nichtständige Wohnbevölkerung des ressourcenschwachen Kantons r in den Bemessungsjahren
Ressourcenindex des ressourcenschwachen Kantons r
Indexwert der garantierten Mindestausstattung
Standardisierter Steuerertrag der Schweiz pro Einwohnerin und Einwohner

2. Berechnung

2.1
Der Beitrag an einen ressourcenschwachen Kanton r berechnet sich wie folgt:

2.2
Der Werte der Parameter p und t werden wie folgt berechnet:

3. Parameterwerte für das Referenzjahr 2025

Parameter

Wert

sseCH

9 768

M

86.5

4. Kommentar zur Berechnung

4.1
Die Berechnung richtet sich nach der Höhe des Ressourcenindexes. Bei einem Ressourcenindex von kleiner als 70 Punkten wird der Ausgleichsbetrag so festgelegt, dass der Kanton nach Ausgleich genau die garantierte Mindestausstattung M erreicht.
4.2
Bei Ressourcenindizes ab 70 Punkten steigt der resultierende Index nach Ausgleich progressiv an. Bei einem Ressourcenindex von genau 70 Punkten soll eine Erhöhung des standardisierten Steuerertrags um eine Einheit den Ausgleichsbetrag um 90 Prozent dieser Einheit reduzieren (Grenzabschöpfung). Die Stärke der Progression wird durch die Parameter p und t definiert, welche abhängig sind von der Höhe der garantierten Mindestausstattung M, der Grenze von 70 Punkten, ab der die Progression beginnt, und der Grenzabschöpfung von 90 Prozent.

5. Auszahlung für das Jahr 2025

Kanton

Ressourcenindex

Ressourcenausgleich in Franken

horizontal

vertikal

Total

Zürich

119.0

0

0

0

Bern

73.6

–547 463 353

–821 195 030

–1 368 658 383

Luzern

92.5

–27 977 064

–41 965 596

–69 942 660

Uri

70.6

–23 168 397

–34 752 596

–57 920 993

Schwyz

184.5

0

0

0

Obwalden

110.9

0

0

0

Nidwalden

159.8

0

0

0

Glarus

72.1

–23 486 802

–35 230 202

–58 717 004

Zug

280.7

0

0

0

Freiburg

71.9

–188 302 395

–282 453 592

–470 755 987

Solothurn

71.8

–162 450 537

–243 675 806

–406 126 343

Basel-Stadt

160.6

0

0

0

Basel-Landschaft

98.8

–971 291

–1 456 937

–2 428 228

Schaffhausen

103.4

0

0

0

Appenzell A.Rh.

85.8

–10 569 689

–15 854 534

–26 424 223

Appenzell I.Rh.

105.4

0

0

0

St. Gallen

80.7

–161 512 066

–242 268 099

–403 780 165

Graubünden

89.6

–23 414 959

–35 122 439

–58 537 398

Aargau

80.8

–216 275 041

–324 412 561

–540 687 602

Thurgau

81.6

–81 909 092

–122 863 638

–204 772 730

Tessin

90.4

–35 115 218

–52 672 826

–87 788 044

Waadt

100.0

0

0

0

Wallis

66.4

–279 773 060

–419 659 590

–699 432 650

Neuenburg

73.6

–92 763 333

–139 145 000

–231 908 333

Genf

143.9

0

0

0

Jura

65.6

–60 354 489

–90 531 733

–150 886 222

Total Kantone

100.0

–1 935 506 786

–2 903 260 179

–4 838 766 965

Anhang 889

89 Bereinigt gemäss Ziff. II Abs. 2 der V vom 4. Nov. 2015 (AS 2015 4753) und Ziff. I 1 vom 27. Nov. 2024, in Kraft seit 1. Jan. 2025 (AS 2024 770).

(Art. 24)

Beiträge der ressourcenstarken Kantone

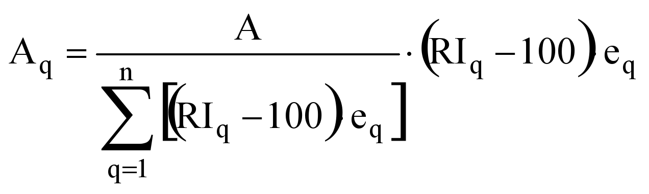
1. Definition der Variablen und Parameter

A
gesamter Beitrag der ressourcenstarken Kantone
Aq
Beitrag eines ressourcenstarken Kantons q
eq
durchschnittliche mittlere ständige und nichtständige Wohnbevölkerung eines ressourcenstarken Kantons q in den Bemessungsjahren
RIq
Ressourcenindex eines ressourcenstarken Kantons q
n
Anzahl ressourcenstarke Kantone

2. Berechnung

Der Beitrag eines ressourcenstarken Kantons q berechnet sich wie folgt:

3. Kommentar zur Berechnung

Zur Festlegung des Beitrags eines ressourcenstarken Kantons q wird sein 100 Punkte übersteigender Ressourcenindex, RIq-100, mit seiner mittleren ständigen und nichtständigen Wohnbevölkerung, eq, multipliziert. Dieser Wert wird anschliessend in Beziehung gesetzt zur Summe der Werte aller n ressourcenstarken Kantone,

Daraus ergibt sich sein Anteil am gesamten Beitrag der ressourcenstarken Kantone, A.

4. Einzahlung für das Jahr 2025

Kanton

Ressourcenindex

Beiträge
in Franken

Zürich

119.0

546 363 165

Bern

73.6

0

Luzern

92.5

0

Uri

70.6

0

Schwyz

184.5

253 858 705

Obwalden

110.9

7 750 697

Nidwalden

159.8

48 362 591

Glarus

72.1

0

Zug

280.7

434 854 926

Freiburg

71.9

0

Solothurn

71.8

0

Basel-Stadt

160.6

223 276 280

Basel-Landschaft

98.8

0

Schaffhausen

103.4

5 283 633

Appenzell A.Rh.

85.8

0

Appenzell I.Rh.

105.4

1 630 738

St. Gallen

80.7

0

Graubünden

89.6

0

Aargau

80.8

0

Thurgau

81.6

0

Tessin

90.4

0

Waadt

100.0

357 391

Wallis

66.4

0

Neuenburg

73.6

0

Genf

143.9

413 768 660

Jura

65.6

0

Total Kantone

100.0

1 935 506 786

Anhang 990

90 Aufgehoben durch Ziff. II Abs. 1 der V vom 6. Nov. 2019, mit Wirkung seit 1. Jan. 2020 (AS 2019 3823).

Anhang 1091

91 Fassung gemäss Ziff. II der V vom 30. Okt. 2013, in Kraft seit 1. Jan. 2014 (AS 2013 3809).

(Art. 29)

Definition des Begriffs Hauptsiedlungsgebiet und Datenbasis

1.
Im Rahmen des geografisch-topografischen Lastenausgleichs werden als Hauptsiedlungsgebiet zusammenhängende Ortsteile mit einer Mindestbevölkerung von 200 Personen bezeichnet.
2.
Datenbasis für die Bestimmung des Hauptsiedlungsgebiets sind die Hektardaten der Volkszählung.
3.
Als zusammenhängende Ortsteile werden aneinandergrenzende bewohnte Hektaren bezeichnet.

Anhang 1192

92 Aufgehoben durch Ziff. II Abs. 3 der V vom 4. Nov. 2015, mit Wirkung seit 1. Jan. 2016 (AS 2015 4753).

Anhang 1293

93 Fassung gemäss Ziff. I 2 der V vom 27. Nov. 2024, in Kraft seit 1. Jan. 2025 (AS 2024 770).

(Art. 33)

Geografisch-topografischer Lastenausgleich: Ausgleichszahlungen 2025

Kanton

Ausgleichsbeträge in Franken

Siedlungshöhe

Steilheit des
Geländes

Siedlungs-
struktur

Geringe
Bevölkerungsdichte

Total

Zürich

0

0

0

0

0

Bern

2 115 617

1 215 606

22 381 530

4 582 683

30 295 435

Luzern

0

0

5 824 200

0

5 824 200

Uri

587 701

6 036 076

1 698 002

3 995 669

12 317 449

Schwyz

2 705 837

2 223 216

1 666 083

599 002

7 194 139

Obwalden

569 869

3 006 580

1 612 856

1 370 273

6 559 579

Nidwalden

0

551 146

706 160

300 548

1 557 853

Glarus

0

3 477 237

66 331

2 175 899

5 719 467

Zug

0

0

0

0

0

Freiburg

2 408 819

0

6 916 798

472 038

9 797 655

Solothurn

0

0

0

0

0

Basel-Stadt

0

0

0

0

0

Basel-Landschaft

0

0

0

0

0

Schaffhausen

0

0

0

0

0

Appenzell A.Rh.

19 443 621

198 398

2 413 302

0

22 055 321

Appenzell I.Rh.

5 687 374

390 537

2 970 118

423 502

9 471 531

St. Gallen

0

0

2 186 367

0

2 186 367

Graubünden

41 007 883

67 202 638

10 236 545

27 281 512

145 728 578

Aargau

0

0

0

0

0

Thurgau

0

0

3 201 669

0

3 201 669

Tessin

0

10 581 623

0

5 113 967

15 695 591

Waadt

133 900

0

0

0

133 900

Wallis

31 559 988

31 383 278

497 706

15 735 254

79 176 226

Neuenburg

21 232 994

2 200 483

169 171

0

23 602 648

Genf

0

0

0

0

0

Jura

1 013 213

0

1 686 571

2 183 061

4 882 846

Total Kantone

128 466 818

128 466 818

64 233 409

64 233 409

385 400 454

Anhang 1394

94 Bereinigt gemäss Ziff. II Abs. 2 der V vom 4. Nov. 2015 (AS 2015 4753). Ziff. I 1 vom 27. Nov. 2024, in Kraft seit 1. Jan. 2025 (AS 2024 770).

(Art. 35)

Massgebende Sonderlasten aufgrund der Bevölkerungsstruktur

Berechnung des Lastenindex

a) Variablen und Parameter:

Teilindikator «Armut» des Kantons k

Teilindikator «Altersstruktur» des Kantons k

Teilindikator «Ausländerintegration» des Kantons k

Mittelwert der Teilindikatoren «Armut» der Kantone

Mittelwert der Teilindikatoren «Altersstruktur» der Kantone

Mittelwert der Teilindikatoren «Ausländerintegration» der Kantone

Standardabweichung der Teilindikatoren «Armut» der Kantone

Standardabweichung der Teilindikatoren «Altersstruktur» der Kantone

Standardabweichung der Teilindikatoren «Ausländerintegration» der Kantone

Standardisierter Teilindikator «Armut» des Kantons k

Standardisierter Teilindikator «Altersstruktur» des Kantons k

Standardisierter Teilindikator «Ausländerintegration» des Kantons k

Gewicht für den standardisierten Teilindikator «Armut»

Gewicht für den standardisierten Teilindikator «Altersstruktur»

Gewicht für den standardisierten Teilindikator «Ausländerintegration»

Lastenindex für Sonderlasten der Bevölkerungsstruktur des Kantons k

b) Die standardisierten Teilindikatoren werden wie folgt berechnet:

,

,

.

Die Standardisierung erfolgt, indem die Abweichungen der Teilindikatoren zum jeweiligen Schweizer Mittelwert mit der Standardabweichung dividiert werden.

c) Der Lastenindex für Sonderlasten der Bevölkerungsstruktur eines Kantons k berechnet sich wie folgt:

d) Die Gewichte werden mit Hilfe einer Hauptkomponentenanalyse berechnet. Für die Gewichte gilt deshalb:

,

mit

µLS
Vektor der Gewichte
λZS
höchster Eigenwert der Korrelationsmatrix der standardisierten Teilindikatoren
xZS
Eigenvektor des Eigenwerts λZS

e) Gewichte für das Jahr 2025:

μZSA

0.55

μZSS

–0.01

μZSI

0.56

Anhang 1495

95 Bereinigt gemäss Ziff. II Abs. 2 der V vom 4. Nov. 2015 (AS 2015 4753), vom 16. Nov. 2022 (AS 2022 761), Ziff. I 1 vom 27. Nov. 2024, in Kraft seit 1. Jan. 2025 (AS 2024 770).

(Art. 37)

Massgebende Sonderlasten der Kernstädte

1. Berechnung des Lastenindex der Gemeinden

a) Variablen und Parameter:

Teilindikator «Gemeindegrösse» der Gemeinde g

Teilindikator «Siedlungsdichte» der Gemeinde g

Teilindikator «Beschäftigungsquote» der Gemeinde g

Mittelwert der Teilindikatoren «Gemeindegrösse» der Gemeinden

Mittelwert der Teilindikatoren «Siedlungsdichte» der Gemeinden

Mittelwert der Teilindikatoren «Beschäftigungsquote» der Gemeinden

Standardabweichung der Teilindikatoren «Gemeindegrösse» der
Gemeinden

Standardabweichung der Teilindikatoren «Siedlungsdichte» der Gemeinden

Standardabweichung der Teilindikatoren «Beschäftigungsquote» der Gemeinden

Standardisierter Teilindikator «Gemeindegrösse» der Gemeinde g

Standardisierter Teilindikator «Siedlungsdichte» der Gemeinde g

Standardisierter Teilindikator «Beschäftigungsquote» der Gemeinde g

Gewicht für den standardisierten Teilindikator «Gemeindegrösse»

Gewicht für den standardisierten Teilindikator «Siedlungsdichte»

Gewicht für den standardisierten Teilindikator «Beschäftigungsquote»

Lastenindex für Sonderlasten der Kernstädte für Gemeinde g

b) Die standardisierten Teilindikatoren werden wie folgt berechnet:

,

,

.

Die Standardisierung erfolgt, indem die Abweichungen der Teilindikatoren zum jeweiligen Schweizer Mittelwert mit der Standardabweichung dividiert werden.

c) Der Lastenindex für Sonderlasten der Kernstädte einer Gemeinde berechnet sich wie folgt:

d) Die Gewichte werden mit Hilfe einer Hauptkomponentenanalyse berechnet. Für die Gewichte gilt deshalb:

,

mit

µZF
Vektor der Gewichte
λZF
höchster Eigenwert der Korrelationsmatrix der standardisierten Teilindikatoren
xZF
Eigenvektor des Eigenwerts λZF

e) Gewichte für das Jahr 2025:

μZFG

0.48

μZFS

0.50

μZFB

0.33

2. Berechnung des Lastenindex der Kantone

a) Variablen und Parameter:

LFg,k
Lastenindex für Sonderlasten der Kernstädte für Gemeinde g im Kanton k
LFk
Lastenindex für Sonderlasten der Kernstädte für Kanton k
eg,k
Ständige Wohnbevölkerung der Gemeinde g im Kanton k
ek
Ständige Wohnbevölkerung des Kantons k
Gk
Anzahl Gemeinden im Kanton k

b) Berechnung:

Der Lastenindex eines Kantons ist der mit der Bevölkerung gewichtete Durchschnitt der Lastenindizes seiner Gemeinden. Er ist somit gegeben durch die Summe der mit der ständigen Wohnbevölkerung multiplizierten Lastenindizes der Gemeinden im Kanton, dividiert durch die ständige Wohnbevölkerung des Kantons:

Anhang 1596

96 Fassung gemäss Ziff. I 2 der V vom 27. Nov. 2024, in Kraft seit 1. Jan. 2025 (AS 2024 770).

(Art. 40)

Soziodemografischer Lastenausgleich:
Ausgleichszahlungen 2025

Kanton

Ausgleichsbeträge in Franken

Sonderlasten
der Bevölkerungsstruktur

Sonderlasten
der Kernstädte

Total

Zürich

37 510 639

99 450 560

136 961 199

Bern

0

0

0

Luzern

0

0

0

Uri

0

0

0

Schwyz

0

0

0

Obwalden

0

0

0

Nidwalden

0

0

0

Glarus

0

0

0

Zug

4 579 633

0

4 579 633

Freiburg

2 279 785

0

2 279 785

Solothurn

10 649 266

0

10 649 266

Basel-Stadt

37 461 005

24 456 647

61 917 652

Basel-Landschaft

0

0

0

Schaffhausen

83 746

0

83 746

Appenzell A.Rh.

0

0

0

Appenzell I.Rh.

0

0

0

St. Gallen

0

0

0

Graubünden

0

0

0

Aargau

0

0

0

Thurgau

0

0

0

Tessin

0

0

0

Waadt

118 170 263

5 357 055

123 527 318

Wallis

10 126 240

0

10 126 240

Neuenburg

11 431 173

0

11 431 173

Genf

117 975 219

45 869 223

163 844 442

Jura

0

0

0

Total Kantone

350 266 969

175 133 485

525 400 454

Anhang 1697

97 Bereinigt gemäss Ziff. III der V vom 16. Nov. 2011, in Kraft seit 1. Jan. 2012 (AS 2011 5823).

(Art. 42)

Schätzung des Ressourcenpotenzials bei fehlenden
oder nicht weiterverwertbaren Daten

Bei fehlenden oder nicht weiterverwertbaren Daten werden die Bestandteile des Ressourcenpotenzials geschätzt. Zur Bestimmung der Koeffizienten der Schätzgleichungen werden Regressionsanalysen mit den Daten der korrekt liefernden Kantone durchgeführt. Als Ersatzwert für fehlende Daten ab dem Bemessungsjahr 2003 wird die obere Grenze des 95 % Vertrauensintervalls verwendet. Als Ersatzwert für fehlende Daten der Globalbilanz (Bemessungsjahre 1998–2001) wird der Schätzwert verwendet. Die Koeffizienten für die Bemessungsjahre der Globalbilanz für das massgebende quellenbesteuerte Einkommen, das massgebende Vermögen sowie die massgebenden Gewinne der juristischen Personen werden auf der Basis des Mittelwerts der Daten der Jahre 2003 und 2004 berechnet.

1. Variablen

MEk,t Massgebendes Einkommen der natürlichen Personen pro Einwohner des Kantons k im Bemessungsjahr t

GMEt Wachstumsrate des massgebenden Einkommens pro Einwohner der
gesamten Schweiz im Jahr t

RMk,T Verhältnis zwischen massgebendem quellenbesteuertem Einkommen und massgebendem Einkommen der natürlichen Personen des Kantons k im Bemessungsjahr T

EAk,T Anzahl der Aufenthalter (inklusive Kurzaufenthalter >12 Monate) des Kantons k im Bemessungsjahr T

EKk,T Anzahl der Kurzaufenthalter (<12 Monate oder Saisonniers) des Kantons k im Bemessungsjahr T

ECHk,T Anzahl der Schweizer Einwohner der ständigen Wohnbevölkerung des Kantons k im Bemessungsjahr T

ENk,T Anzahl der niedergelassenen Ausländer des Kantons k im Bemessungsjahr T

Gewichtung der Bruttoeinkommen von Grenzgängern aus dem Nachbarstaat X des Kantons k im Bemessungsjahr T gemäss Anhang 3

Bruttoeinkommen von Grenzgängern aus dem Nachbarstaat X des Kantons k im Bemessungsjahr T gemäss Anhang 3

RVk,T Reinvermögen pro Einwohner des Kantons k im Bemessungsjahr T

EVk,T Ertrag der Vermögenssteuer pro Einwohner des Kantons k im
Bemessungsjahr T

tvk,T Durchschnittliche Vermögenssteuerbelastung des Kantons k im
Bemessungsjahr T

GKk,T Summe der vollständig besteuerten Gewinne der juristischen Personen pro Einwohner des Kantons k im Bemessungsjahr T

EJPk,T Ertrag der Gewinnsteuer pro Einwohner des Kantons k im Bemessungsjahr T

GDBk,T Gewinne gemäss direkter Bundessteuer (nach Beteiligungsabzug) pro Einwohner des Kantons k im Bemessungsjahr T

Faktor Beta des Gesellschaftstyps gemischte Gesellschaft im Bemessungsjahr T gemäss Anhang 6

WGDBt Wachstumsrate der Gewinne gemäss direkter Bundessteuer der gesamten Schweiz im Jahr t

2. Zu schätzende Parameter

a
Konstante
b, c, d
Koeffizienten für die unabhängigen Variablen
vk
Zeitkonstante (strukturelle) kantonale Effekte (fixe Effekte) bei Schätzgleichungen, die Daten aus mehreren Zeitperioden umfassen («Panel»-Daten)
uk,t
Residuen (Schätzfehler)

3. Schätzgleichungen:

Fall

Bestandteil
Ressourcenpotenzial

Regressionsgleichung zur Bestimmung der Koeffizienten

1

Massgebendes
Einkommen
natürliche
Personen

für

2

Massgebende
quellenbesteuerte
Einkommen

mit

3

Massgebendes
Vermögen
natürliche
Personen

mit

4

Massgebende
Gewinne
juristische
Personen

Schritt 1:

mit

Schritt 2:

5

Gewinne
gemäss direkter
Bundessteuer

für

Anhang 1798

98 Bereinigt gemäss Ziff. II Abs. 4 der V vom 6. Nov. 2019, in Kraft seit 1. Jan. 2020 (AS 2019 3823).

(Art. 46)

Wirksamkeitsbericht

Kriterien und Messgrössen zur Beurteilung der Wirksamkeit

Verhältnis zwischen zweckgebundenen und zweckfreien Transferzahlungen des Bundes an die Kantone
Transferzahlungen der Kantone an den Bund
Verhältnis zwischen Kostenbeiträgen und Pauschal- und Globalbeiträgen
Unterschiede beim Ressourcenpotenzial pro Einwohner der Kantone
Unterschiede beim standardisierten Steuerertrag pro Einwohnerin und Einwohner der Kantone vor und nach erfolgtem Ressourcenausgleich
Standardisierter Steuerertrag pro Einwohnerin und Einwohner des ressourcenschwächsten Kantons im Verhältnis zum Schweizer Mittelwert vor und nach erfolgtem Ressourcenausgleich
Höhe des Freibetrags zur Berechnung der massgebenden Einkommen der natürlichen Personen
Sonderlasten pro Einwohnerin und Einwohner
Verhältnis zwischen Lastenausgleich und Sonderlasten
Einnahmen, Ausgaben und Schulden der Kantone
Unterschiede in der Steuerbelastung
Staats- und Fiskalquoten der Kantone und Gemeinden im nationalen und internationalen Vergleich
Steuererleichterungen aufgrund des Bundesgesetzes vom 6. Oktober 199599 zugunsten wirtschaftlicher Erneuerungsgebiete («Lex Bonny»)
Zu- und Abwanderungen von Steuerpflichtigen im nationalen und internationalen Verhältnis
Effektive Grenz- und Durchschnittssteuerbelastungen der Kantone im nationalen und internationalen Vergleich
Anzahl Gesellschaften mit ermässigter Besteuerung von Gewinnen aus Patenten und vergleichbaren Rechten nach Artikel 24b Absatz 1 StHG100
Interdependenz zwischen Steuerbelastung in einem Kanton und dem Immobilienmarkt in diesem Kanton
Auswirkungen wichtiger fiskalpolitischer Entscheide auf andere Kantone
Auswirkungen des Härteausgleichs auf die standardisierten Steuererträge der Kantone
Entwicklung des Volumens der interkantonalen Lastenausgleichszahlungen und Anteil der Abgeltung der Spillovers

99 [AS 1996 1918, 2001 1911, 2006 2197 Anhang Ziff. 144 4301. AS 2007 681 Anhang Ziff. I 4]. Siehe heute: das BG vom 6. Okt. 2006 über die Regionalpolitik (SR 901.0).

100 SR 642.14

Anhang 18101

101 Bereinigt gemäss Ziff. I 1 vom 27. Nov. 2024, in Kraft seit 1. Jan. 2025 (AS 2024 770).

(Art. 56)

Härteausgleich

1. Variablen und Parameter

gwk

Grenzwert für die zu erreichende Mindestentlastung eines Kantons in Prozent des standardisierten Steuerertrags des Kantons k

ε

Faktor zur Bestimmung der mit dem Härteausgleich angestrebten
Entlastung in Abhängigkeit des Ressourcenindex

Standardisierter Steuerertrag des Kantons k des Jahres 2004

Standardisierter Steuerertrag des Kantons k des Jahres 2005

Ressourcenindex des Kantons k des Jahres 2004

Ressourcenindex des Kantons k des Jahres 2005

Nettoergebnis des Kantons k in der Globalbilanz 2004 (positive Werte: Belastung, negative Werte: Entlastung)

Nettoergebnis des Kantons k in der Globalbilanz 2005 (positive Werte: Belastung, negative Werte: Entlastung)

nesk

Nettoergebnis des Kantons k in Prozent des standardisierten Steuerertrags des Kantons k (positive Werte: Belastung, negative Werte: Entlastung)

HAk

Anfangsbeitrag aus dem Härteausgleich für den Kanton k

2. Grenzwert für den Bezug von Härteausgleich

Der Grenzwert für den Bezug von Härteausgleich berechnet sich wie folgt:

Der Grenzwert eines Kantons berechnet sich durch die Multiplikation des Faktors Epsilon, ε, mit der durchschnittlichen Abweichung des Ressourcenindex des Kantons vom Schweizer Durchschnitt in den Jahren 2004 und 2005. Negative Werte bedeuten eine Entlastung, positive Werte eine Belastung. Aus der Formel ergibt sich, dass der Grenzwert für einen durchschnittlich ressourcenschwachen Kanton negativ ist, d.h. dass eine Entlastung angestrebt wird.

3. Nettoergebnis in Prozent des standardisierten Steuerertrags

Das Nettoergebnis der Globalbilanz eines Kantons in Prozent des standardisierten Steuerertrags wird wie folgt berechnet:

Negative Werte bedeuten eine Nettoentlastung, positive Werte eine Nettobelastung.

4. Anfangsbeitrag aus dem Härteausgleich

Der Anfangsbeitrag eines Kantons k aus dem Härteausgleich richtet sich nach folgender Tabelle:

Bedingungen (wenn …,)

Härteausgleich (… dann)

HAk = 0

nesk ≤ gwk

HAk = 0

nesk > gwk

Bedingung 1: Ist der durchschnittliche Ressourcenindex in den Jahren 2004 und 2005 grösser als der Schweizer Durchschnitt,

,

so erhält der Kanton keinen Härteausgleich.

Bedingung 2: Ist der durchschnittliche Ressourcenindex in den Jahren 2004 und 2005 kleiner als der Schweizer Durchschnitt,

,

so muss zwischen zwei Fällen unterschieden werden:

Fall 2a: Ist das Nettoergebnis der Globalbilanz in Prozent des standardisierten Steuerertrags kleiner als der Grenzwert (d.h. ist die Nettoentlastung grösser als die angestrebte Entlastung), so erhält der Kanton keinen Härteausgleich.

all 2b: Ist das Nettoergebnis der Globalbilanz in Prozent des standardisierten Steuerertrags grösser als der Grenzwert (d.h. ist die Nettoentlastung kleiner als die angestrebte Entlastung oder weist der Kanton eine Nettobelastung auf), so erhält der Kanton Härteausgleich in der Höhe der Differenz zwischen dem Nettoergebnis und dem Grenzwert, multipliziert mit seinem durchschnittlichen standardisierten Steuerertrag in den Jahren 2004 und 2005:

5. Bestimmung des Faktors Epsilon

Der Faktor ε wird so bestimmt, dass die Summe aller Ausgleichszahlungen für die h im Härteausgleich anspruchsberechtigten Kantone z gleich dem für den Härteausgleich zur Verfügung stehenden Gesamtbetrag H entspricht:

.

Mit z werden jene ressourcenschwachen Kantone bezeichnet, welche Anspruch auf Härteausgleich haben, d.h. alle Kantone k, für welche das Nettoergebnis in Prozent des standardisierten Steuerertrags einen höheren Wert aufweist als der Grenzwert:

.

Der Faktor ε und die Kantone z werden mit einem Iterationsverfahren bestimmt.

6. Beiträge auf der Basis der Globalbilanz 2004/2005

+ = Belastung; – = Entlastung des Kantone

Kanton

Durchschnittlicher Ressourcenindex
2004/05

Grenzwert für
den Bezug von Härteausgleich
(in Prozent der standardisierten Steuererträge)

Nettoergebnis
der Globalbilanz 2004/05
(in Prozent der standardisierten Steuererträge)

Differenz zwischen
Nettoergebnis
der Globalbilanz
und Grenzwert
(in Prozent der standardisierten Steuererträge)

Ausgleichsbetrag
in Franken

Zürich

132.1

0.0 %

0.9 %

0.9 %

0

Bern

74.0

–1.9 %

–0.8 %

1.1 %

52 134 660

Luzern

77.0

–1.7 %

–0.4 %

1.3 %

23 692 069

Uri

67.0

–2.4 %

–15.1 %

–12.7 %

0

Schwyz

135.6

0.0 %

3.9 %

3.9 %

0

Obwalden

67.0

–2.4 %

3.8 %

6.2 %

9 441 566

Nidwalden

124.6

0.0 %

0.2 %

0.2 %

0

Glarus

96.1

–0.3 %

2.9 %

3.1 %

8 168 757

Zug

204.0

0.0 %

6.8 %

6.8 %

0

Freiburg

74.9

–1.8 %

9.1 %

11.0 %

137 280 030

Solothurn

75.8

–1.8 %

–6.8 %

–5.1 %

0

Basel-Stadt

148.6

0.0 %

0.0 %

0.0 %

0

Basel-Landschaft

110.2

0.0 %

0.4 %

0.4 %

0

Schaffhausen

92.9

–0.5 %

0.9 %

1.4 %

6 640 279

Appenzell A.Rh.

79.8

–1.5 %

–3.3 %

–1.8 %

0

Appenzell I.Rh.

82.7

–1.3 %

–6.1 %

–4.8 %

0

St. Gallen

77.0

–1.7 %

–7.4 %

–5.7 %

0

Graubünden

84.9

–1.1 %

–1.3 %

–0.2 %

0

Aargau

87.8

–0.9 %

–4.4 %

–3.5 %

0

Thurgau

76.5

–1.7 %

–5.3 %

–3.6 %

0

Tessin

102.8

0.0 %

0.2 %

0.2 %

0

Waadt

96.7

–0.2 %

1.3 %

1.5 %

64 876 643

Wallis

61.6

–2.8 %

–4.5 %

–1.7 %

0

Neuenburg

91.0

–0.7 %

9.5 %

10.2 %

108 832 726

Genf

155.4

0.0 %

1.9 %

1.9 %

0

Jura

66.5

–2.4 %

3.7 %

6.1 %

19 387 554

Total Kantone

100.0

430 454 285

7. Beiträge für das Jahr 2025: Bereinigung der Anspruchsberechtigung aufgrund des Ressourcenindex 2025

+  = Belastung Kanton;     –  = Entlastung Kanton

Kanton

Ressourcenindex

Bereinigter Härteausgleich in Franken

Auszahlung

Einzahlung

Saldo

Zürich

119.0

0

9 859 217

9 859 217

Bern

73.6

–26 067 330

7 692 673

–18 374 657

Luzern

92.5

–11 846 034

2 789 185

–9 056 849

Uri

70.6

0

279 595

279 595

Schwyz

184.5

0

1 032 186

1 032 186

Obwalden

110.9

0

259 756

259 756

Nidwalden

159.8

0

297 931

297 931

Glarus

72.1

–4 084 379

309 489

–3 774 890

Zug

280.7

0

792 552

792 552

Freiburg

71.9

–68 640 015

1 915 174

–66 724 841

Solothurn

71.8

0

1 959 097

1 959 097

Basel-Stadt

160.6

0

1 554 224

1 554 224

Basel-Landschaft

98.8

0

2 076 045

2 076 045

Schaffhausen

103.4

0

591 764

591 764

Appenzell A.Rh.

85.8

0

431 161

431 161

Appenzell I.Rh.

105.4

0

118 171

118 171

St. Gallen

80.7

0

3 621 184

3 621 184

Graubünden

89.6

0

1 522 861

1 522 861

Aargau

80.8

0

4 365 536

4 365 536

Thurgau

81.6

0

1 836 756

1 836 756

Tessin

90.4

0

2 479 215

2 479 215

Waadt

100.0

0

5 072 979

5 072 979

Wallis

66.4

0

2 204 890

2 204 890

Neuenburg

73.6

–54 416 363

1 345 660

–53 070 703

Genf

143.9

0

3 296 760

3 296 760

Jura

65.6

–9 693 777

545 238

–9 148 539

Total Kantone

100.0

–174 747 898

58 249 299

–116 498 599

Anhang 19102

102 Eingefügt durch Ziff. II Abs. 2 der V vom 6. Nov. 2019 (AS 2019 3823). Bereinigt gemäss Ziff. I 1 vom 27. Nov. 2024, in Kraft seit 1. Jan. 2025 (AS 2024 770).

(Art. 56a)

Temporäre Abfederungsmassnahmen

1. Berechnung der Ausgleichszahlungen

1.1
Beitragsberechtigt sind alle Kantone, welche in den Jahren 2021 bis zum aktuellen Referenzjahr nie einen Ressourcenindex ≥ 100 Punkten erreicht haben.
1.2
Alle beitragsberechtigten Kantone erhalten in den Jahren 2021–2025 einen einheitlichen Beitrag pro Einwohnerin und Einwohner. Dieser Beitrag wird so berechnet, dass die Gesamtsumme den Mitteln nach Artikel 19c Absatz 2
FiLaG entspricht.

2. Beiträge für das Jahr 2025

Kanton

Massgebende
Bevölkerung

Abfederungsmassnahme
in Franken

Zürich

0

0

Bern

1 046 974

16 249 654

Luzern

417 392

6 478 162

Uri

37 056

575 134

Schwyz

0

0

Obwalden

0

0

Nidwalden

0

0

Glarus

41 058

637 242

Zug

0

0

Freiburg

325 470

5 051 481

Solothurn

278 410

4 321 085

Basel-Stadt

0

0

Basel-Landschaft

291 882

4 530 186

Schaffhausen

0

0

Appenzell A.Rh.

55 486

861 175

Appenzell I.Rh.

0

0

St. Gallen

515 450

8 000 080

Graubünden

206 404

3 203 504

Aargau

694 710

10 782 306

Thurgau

283 003

4 392 366

Tessin

354 247

5 498 117

Waadt

0

0

Wallis

355 492

5 517 451

Neuenburg

177 572

2 756 017

Genf

0

0

Jura

73 840

1 146 040

Total Kantone

5 154 443

80 000 000

Anhang 20103

103 Eingefügt durch Ziff. II Abs. 2 der V vom 6. Nov. 2019 (AS 2019 3823). Bereinigt gemäss Ziff. I 1 vom 27. Nov. 2024, in Kraft seit 1. Jan. 2025 (AS 2024 770).

(Art. 57e)

Ergänzungsbeiträge

1. Definition der Variablen und Parameter

Ergänzungsbeitrag des ressourcenschwachen Kantons

Ergänzungsbeitrag pro Einwohnerin und Einwohner des ressourcenschwachen Kantons

Durchschnittliche mittlere ständige und nichtständige Wohnbevölkerung des ressourcenschwachen Kantons in den Bemessungsjahren

Zielwert des Ergänzungsbeitrags pro Einwohnerin und Einwohner

Standardisierter Steuerertrag pro Einwohnerin und Einwohner des ressourcenschwachen Kantons im Jahr 2023

Ausgleichszahlungen pro Einwohnerin und Einwohner des ressourcenschwachen Kantons

2. Berechnung

2.1
Ergänzungsbeiträge werden in den Jahren 2024–2030 ausgerichtet. Die Auszahlungen erfolgen ausschliesslich an ressourcenschwache Kantone. Grundlage für die Berechnung des Ergänzungsbeitrags sind die massgebenden eigenen Ressourcen jedes Kantons im Jahr 2023 (standardisierter Steuerertrag pro Einwohnerin und Einwohner vor Ausgleich, , dem letzten Referenzjahr, in welchem alle Bemessungsjahre aus dem alten System stammen. Dazu werden die Ausgleichszahlungen des aktuellen Referenzjahres addiert.
2.2
Die Mittel aus dem Ergänzungsbeitrag werden vollständig auf die ressourcenschwächsten Kantone aufgeteilt, sodass alle ressourcenschwachen Kantone mindestens den Zielwert des Ergänzungsbeitrags erreichen.
2.3
Die Summe der Ergänzungsbeiträge der ressourcenschwachen Kantone in den Jahren 2024–2030 beträgt je 180 000 000 Franken:

2.4
Der Ergänzungsbeitrag eines ressourcenschwachen Kantons ergibt sich aus der Multiplikation des Ergänzungsbeitrags pro Einwohnerin und Einwohner mit der Bevölkerung

2.5
Ist die Summe des standardisierten Steuerertrags pro Einwohnerin und Einwohner eines Kantonsim Jahr 2023, und der Ausgleichszahlungen pro Einwohnerin und Einwohner im aktuellen Referenzjahr, kleiner als der Zielwert des Ergänzungsbeitrags, , dann entspricht der Ergänzungsbeitrag pro Einwohnerin und Einwohner, , der Differenz zwischen dieser Summe und dem Zielwert. Im gegenteiligen Fall beträgt er Null.

2.6
Der Grenzwert des Ergänzungsbeitrags, , wird jährlich so festgelegt, dass die Gesamtbeiträge aller Kantone genau 180 Millionen Franken ergeben.

3. Beiträge für das Jahr 2025

Kanton

Ergänzungsbeitrag
in Franken

Zürich

0

Bern

0

Luzern

0

Uri

0

Schwyz

0

Obwalden

0

Nidwalden

0

Glarus

0

Zug

0

Freiburg

49 922 816

Solothurn

24 238 874

Basel-Stadt

0

Basel-Landschaft

0

Schaffhausen

0

Appenzell A.Rh.

0

Appenzell I.Rh.

0

St. Gallen

0

Graubünden

20 052 360

Aargau

0

Thurgau

0

Tessin

0

Waadt

0

Wallis

85 785 950

Neuenburg

0

Genf

0

Jura

0

Total Kantone

180 000 000