Bei fehlenden oder nicht weiterverwertbaren Daten werden die Bestandteile des Ressourcenpotenzials geschätzt. Zur Bestimmung der Koeffizienten der Schätzgleichungen werden Regressionsanalysen mit den Daten der korrekt liefernden Kantone durchgeführt. Als Ersatzwert für fehlende Daten ab dem Bemessungsjahr 2003 wird die obere Grenze des 95 % Vertrauensintervalls verwendet. Als Ersatzwert für fehlende Daten der Globalbilanz (Bemessungsjahre 1998–2001) wird der Schätzwert verwendet. Die Koeffizienten für die Bemessungsjahre der Globalbilanz für das massgebende quellenbesteuerte Einkommen, das massgebende Vermögen sowie die massgebenden Gewinne der juristischen Personen werden auf der Basis des Mittelwerts der Daten der Jahre 2003 und 2004 berechnet.
1. Variablen
MEk,t Massgebendes Einkommen der natürlichen Personen pro Einwohner des Kantons k im Bemessungsjahr t
GMEt Wachstumsrate des massgebenden Einkommens pro Einwohner der
gesamten Schweiz im Jahr t
RMk,T Verhältnis zwischen massgebendem quellenbesteuertem Einkommen und massgebendem Einkommen der natürlichen Personen des Kantons k im Bemessungsjahr T
EAk,T Anzahl der Aufenthalter (inklusive Kurzaufenthalter >12 Monate) des Kantons k im Bemessungsjahr T
EKk,T Anzahl der Kurzaufenthalter (<12 Monate oder Saisonniers) des Kantons k im Bemessungsjahr T
ECHk,T Anzahl der Schweizer Einwohner der ständigen Wohnbevölkerung des Kantons k im Bemessungsjahr T
ENk,T Anzahl der niedergelassenen Ausländer des Kantons k im Bemessungsjahr T
Gewichtung der Bruttoeinkommen von Grenzgängern aus dem Nachbarstaat X des Kantons k im Bemessungsjahr T gemäss Anhang 3
Bruttoeinkommen von Grenzgängern aus dem Nachbarstaat X des Kantons k im Bemessungsjahr T gemäss Anhang 3
RVk,T Reinvermögen pro Einwohner des Kantons k im Bemessungsjahr T
EVk,T Ertrag der Vermögenssteuer pro Einwohner des Kantons k im
Bemessungsjahr T
tvk,T Durchschnittliche Vermögenssteuerbelastung des Kantons k im
Bemessungsjahr T
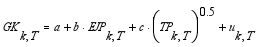
GKk,T Summe der vollständig besteuerten Gewinne der juristischen Personen pro Einwohner des Kantons k im Bemessungsjahr T
EJPk,T Ertrag der Gewinnsteuer pro Einwohner des Kantons k im Bemessungsjahr T
GDBk,T Gewinne gemäss direkter Bundessteuer (nach Beteiligungsabzug) pro Einwohner des Kantons k im Bemessungsjahr T

Faktor Beta des Gesellschaftstyps gemischte Gesellschaft im Bemessungsjahr T gemäss Anhang 6
WGDBt Wachstumsrate der Gewinne gemäss direkter Bundessteuer der gesamten Schweiz im Jahr t
2. Zu schätzende Parameter
a Konstante
b, c, d Koeffizienten für die unabhängigen Variablen
vk Zeitkonstante (strukturelle) kantonale Effekte (fixe Effekte) bei Schätzgleichungen, die Daten aus mehreren Zeitperioden umfassen («Panel»-Daten)
uk,t Residuen (Schätzfehler)
3. Schätzgleichungen:
Fall | Bestandteil Ressourcenpotenzial | Regressionsgleichung zur Bestimmung der Koeffizienten | |
1 | Massgebendes Einkommen natürliche Personen | 
| |
| | für | 
|
| | | | |
2 | Massgebende quellenbesteuerte Einkommen | 
| | |
| | mit | 
| |
| | | |
| | | 
| |
| | | |
| | | 
| |
| | | |
| | | 
| |
| | | |
3 | Massgebendes Vermögen natürliche Personen | 
| | |
| | mit | 
| |
| | | |
| | | 
| |
| | | |
4 | Massgebende Gewinne juristische Personen | Schritt 1: |
| |  
| |
| | | |
| | mit |  
| |
| | | |
| | Schritt 2: | |
| |  
| |
| | | |
| | | |
5 | Gewinne gemäss direkter Bundessteuer | 
| |
| | für | 
|
| | | |