613.21

Verordnung
über den Finanz- und Lastenausgleich

(FiLaV)

vom 7. November 2007 (Stand am 1. Januar 2021)

Der Schweizerische Bundesrat,

gestützt auf das Bundesgesetz vom 3. Oktober 20031 über den Finanz- und
Lastenausgleich (FiLaG),

verordnet:

1. Titel: Ressourcenausgleich durch Bund und Kantone

1. Kapitel: Ressourcenpotenzial

1. Abschnitt: Begriffe

Art. 1 Ressourcenpotenzial und aggregierte Steuerbemessungsgrundlage

1 Das Ressourcenpotenzial eines Kantons ist in Anhang 1 festgelegt. Es basiert auf der aggregierten Steuerbemessungsgrundlage des Kantons. Diese entspricht der Summe:

a.
der massgebenden Einkommen der natürlichen Personen;
b.
der massgebenden quellenbesteuerten Einkommen;
c.
der massgebenden Vermögen der natürlichen Personen;
d.
der massgebenden Gewinne der juristischen Personen ohne besonderen Steuer­status;
e.
der massgebenden Gewinne der juristischen Personen mit besonderem
Steuerstatus;
f.
der massgebenden Steuerrepartitionen der direkten Bundessteuer.

2 Das Ressourcenpotenzial der Schweiz entspricht der Summe der Ressourcenpoten­ziale aller Kantone.

Art. 2 Referenz- und Bemessungsjahr

1 Das Referenzjahr des Ressourcenpotenzials ist das Jahr, für welches das Ressour­cenpotenzial als Grundlage für den Ressourcenausgleich dient.

2 Das Ressourcenpotenzial eines Referenzjahres entspricht dem Durchschnitt der aggregierten Steuerbemessungsgrundlage aus drei aufeinander folgenden Jahren (Bemessungsjahre).

3 Das erste Bemessungsjahr liegt gegenüber dem Referenzjahr um sechs, das letzte um vier Jahre zurück.

Art. 32 Ressourcenpotenzial pro Kopf der Einwohnerinnen und Einwohner

Das Ressourcenpotenzial pro Kopf der Einwohnerinnen und Einwohner ist in Anhang 1 festgelegt. Es entspricht dem Verhältnis zwischen dem Ressourcen­potenzial und dem Durchschnitt der mittleren ständigen und nichtständigen Wohnbevölkerung in den Bemessungsjahren des Ressourcenpotenzials.

2 Fassung gemäss Ziff. I der V vom 4. Nov. 2015, in Kraft seit 1. Jan. 2016 (AS 2015 4753).

Art. 4 Ressourcenindex

1 Der Ressourcenindex eines Kantons ist in Anhang 1 festgelegt. Er entspricht dem mit Faktor 100 multiplizierten Verhältnis zwischen dem Ressourcenpotenzial pro Kopf der Einwohnerinnen und Einwohner des Kantons und dem Ressourcenpoten­zial pro Kopf der Einwohnerinnen und Einwohner der gesamten Schweiz.

2 ...3

3 Der Ressourcenindex der gesamten Schweiz beträgt 100 Indexpunkte.

4 Kantone, deren Ressourcenindex den Wert von 100 übersteigt, gelten als ressour­censtark. Die übrigen Kantone gelten als ressourcenschwach.

3 Aufgehoben durch Ziff. I der V vom 30. Okt. 2013, mit Wirkung seit 1. Jan. 2014 (AS 2013 3809).

Art. 5 Standardisierter Steuerertrag und Steuersatz

1 Der standardisierte Steuerertrag eines Kantons entspricht seinen massgebenden eigenen Ressourcen. Dieser Ertrag ergibt sich aus der Anwendung eines für alle Kantone einheitlichen proportionalen Steuersatzes (standardisierter Steuersatz) auf das Ressourcenpotenzial.4

2 Der standardisierte Steuerertrag der Schweiz umfasst:5

a.6
die Steuereinnahmen, die alle Kantone und Gemeinden im Durchschnitt der Bemessungsjahre laut Finanzstatistik der öffentlichen Haushalte nach Statistikerhebungsverordnung vom 30. Juni 19937 erzielt haben;
b.
die Anteile der Kantone an den Einnahmen der direkten Bundessteuer ge­mäss Artikel 196 Absatz 1 des Bundesgesetzes vom 14. Dezember 19908 über die direkte Bundessteuer (DBG) im Durchschnitt der Bemessungsjahre.

3 Der standardisierte Steuersatz entspricht dem Verhältnis zwischen dem standardi­sierten Steuerertrag und dem Ressourcenpotenzial der Schweiz.

4 Der Index der standardisierten Steuererträge pro Einwohnerin und Einwohner entspricht dem Ressourcenindex.

5 Die Berechnung des standardisierten Steuerertrags sowie der standardisierte Steuersatz sind in Anhang 1 festgelegt.9

4 Fassung gemäss Ziff. I der V vom 4. Nov. 2015, in Kraft seit 1. Jan. 2016 (AS 2015 4753).

5 Fassung gemäss Ziff. I der V vom 4. Nov. 2015, in Kraft seit 1. Jan. 2016 (AS 2015 4753).

6 Fassung gemäss Ziff. I der V vom 6. Nov. 2019, in Kraft seit 1. Jan. 2020 (AS 2019 3823).

7 SR 431.012.1

8 SR 642.11

9 Eingefügt durch Ziff. I der V vom 4. Nov. 2015, in Kraft seit 1. Jan. 2016 (AS 2015 4753).

2. Abschnitt: Massgebende Einkommen der natürlichen Personen

Art. 6 Berechnungsgrundlage für die einzelne natürliche Person

1 Das massgebende Einkommen einer natürlichen steuerpflichtigen Person entspricht ihrem steuerbaren Einkommen nach DBG10 abzüglich eines einheitlichen Frei­be­trags.

2 Der Freibetrag entspricht dem tiefsten steuerbaren Betrag für Ehepaare nach Artikel 36 Absätze 2 und 3 DBG des entsprechenden Bemessungsjahres.11

3 Ist das steuerbare Einkommen einer steuerpflichtigen Person kleiner als der Frei­betrag, so ist ihr massgebendes Einkommen Null.

10 SR 642.11

11 Fassung gemäss Ziff. I der V vom 6. Nov. 2019, in Kraft seit 1. Jan. 2020 (AS 2019 3823).

Art. 7 Berechnungsgrundlage für den Kanton

Das massgebende Einkommen der natürlichen Personen eines Kantons ist in An­hang 2 festgelegt. Es entspricht der Summe der massgebenden Einkommen der im betreffenden Kanton steuerpflichtigen natürlichen Personen gemäss DBG12.

3. Abschnitt: Massgebende quellenbesteuerte Einkommen

Art. 8 Berechnungsgrundlage

Das massgebende quellenbesteuerte Einkommens wird aufgrund der jährlichen Erhebung der Bruttolöhne der an der Quelle besteuerten natürlichen Personen und der Anzahl steuerpflichtige Personen gemäss den Artikeln 83 ff. und 91 ff. DBG13 berechnet.

Art. 9 Zusammensetzung

Das massgebende quellenbesteuerte Einkommen eines Kantons ist in Anhang 3 festgelegt. Es setzt sich zusammen aus der Summe der massgebenden quellen­­be­steuerten Einkommen:

a.
der gebietsansässigen Ausländerinnen und Ausländer gemäss Artikel 83 DBG14;
b.
der ausländischen Verwaltungsrätinnen und Verwaltungsräte gemäss Arti­kel 93 DBG;
c.
der vollständig besteuerten Grenzgängerinnen und Grenzgänger gemäss Arti­kel 91 DBG;
d.
der begrenzt besteuerten Grenzgängerinnen und Grenzgänger gemäss Arti­kel 83 DBG und den Doppelbesteuerungsabkommen mit Österreich, Deutschland, Frankreich und Italien.
Art. 1015 Berechnung

1 Die massgebenden quellenbesteuerten Einkommen eines Kantons werden nach Anhang 3 berechnet. Die Umrechnung der Bruttolöhne auf das Niveau der ordentlich besteuerten Einkommen erfolgt mittels des Faktors Gamma.

2 Der Faktor Gamma entspricht dem Verhältnis zwischen dem massgebenden Einkommen der natürlichen Personen der Schweiz und dem Primäreinkommen der privaten Haushalte der Schweiz. Grundlage für die Berechnung ist das Verhältnis im letzten verfügbaren Bemessungsjahr. Der Faktor wird auf drei Kommastellen gerundet.

3 Der Faktor Gamma wird jeweils für das letzte Bemessungsjahr nach Artikel 2 Absatz 3 neu berechnet. Für die anderen Bemessungsjahre werden die Faktoren Gamma aus dem Vorjahr übernommen.

15 Fassung gemäss Ziff. I der V vom 6. Nov. 2019, in Kraft seit 1. Jan. 2020 (AS 2019 3823).

4. Abschnitt: Massgebende Vermögen der natürlichen Personen

Art. 11 Berechnungsgrundlage

1 Das massgebende Vermögen der natürlichen Personen wird aufgrund der Steuer­bemessungsgrundlage für die kantonale Vermögenssteuer berechnet.

2 In die Berechnung miteinbezogen werden:

a.
das Reinvermögen der unbeschränkt steuerpflichtigen Personen mit Wohn­sitz im Kanton, abzüglich des Anteils, welcher anderen Kantonen oder dem Ausland zusteht; und
b.
das Reinvermögen der beschränkt steuerpflichtigen Personen im Liegen­schafts- oder Betriebsstättenkanton, einschliesslich der vom Kanton steuer­lich erfassten Reinvermögensteile von Personen mit Wohnsitz im Ausland.
Art. 12 Massgebendes Vermögen einer steuerpflichtigen Person

1 Das massgebende Vermögen einer steuerpflichtigen Person ist das mit dem Ge­wichtungsfaktor Alpha multiplizierte Reinvermögen der steuerpflichtigen Person.

2 Ist das Reinvermögen einer steuerpflichtigen Person negativ, so ist das massge­bende Vermögen Null.

Art. 1316 Berechnung des Faktors Alpha

1 Der Faktor Alpha entspricht der steuerlichen Ausschöpfung der Vermögen im Verhältnis zur steuerlichen Ausschöpfung der Einkommen. Grundlage für die Berechnung ist der Durchschnitt dieses Verhältnisses in den letzten verfügbaren sechs Bemessungsjahren. Der Faktor wird auf drei Kommastellen gerundet. Die Berechnung richtet sich nach Anhang 4.

2 Der Faktor Alpha wird jeweils für das letzte Bemessungsjahr nach Artikel 2 Absatz 3 neu berechnet. Für die anderen Bemessungsjahre werden die Faktoren Alpha aus den jeweiligen Vorjahren übernommen.

16 Fassung gemäss Ziff. I der V vom 6. Nov. 2019, in Kraft seit 1. Jan. 2020 (AS 2019 3823).

5. Abschnitt: Massgebende Gewinne der juristischen Personen ohne besonderen Steuerstatus



Art. 15 Berechnung für die einzelne juristische Person

1 Der massgebende Gewinn einer juristischen Person ohne besonderen Steuerstatus entspricht dem steuerbaren Reingewinn nach Artikel 58 DBG17 abzüglich des Netto­ertrags aus Beteiligungen gemäss DBG.

2 Ist der Nettoertrag aus Beteiligungen grösser als der steuerbare Reingewinn, so ist der massgebende Gewinn null.

Art. 16 Berechnung für den Kanton

Die massgebenden Gewinne der juristischen Personen ohne besonderen Steuerstatus eines Kantons sind in Anhang 5 festgelegt. Sie entsprechen der Summe der massge­benden Gewinne der im Kanton steuerpflichtigen juristischen Personen ohne beson­deren Steuerstatus.

6. Abschnitt: Massgebende Gewinne der juristischen Personen mit besonderem Steuerstatus



Art. 17 Berechnung für die einzelne juristische Person

Der massgebende Gewinn einer juristischen Person mit besonderem Steuerstatus entspricht der Summe:

a.
des steuerbaren Gewinns aus den Einkünften aus der Schweiz gemäss Arti­kel 28 Absätze 2–4 des Bundesgesetzes vom 14. Dezember 199018 über die Harmonisierung der direkten Steuern der Kantone und Gemeinden (StHG);
b.
des steuerbaren Reingewinns gemäss Artikel 58 DBG19, abzüglich des Netto­ertrags aus Beteiligungen gemäss DBG und des steuerbaren Gewinns aus der Schweiz gemäss Buchstabe a, gewichtet mit dem Faktor Beta.
Art. 18 Berechnung für den Kanton

Der massgebende Gewinn der juristischen Personen mit besonderem Steuerstatus eines Kantons ist in Anhang 6 festgelegt. Er entspricht der Summe der massgeben­den Gewinne der im Kanton steuerpflichtigen juristischen Personen mit besonderem Steuerstatus.

Art. 19 Berechnung der Faktoren Beta

1 Es wird für juristische Personen nach Artikel 28 Absätze 2–4 StHG20 je ein Faktor Beta berechnet. Sie sind in Anhang 6 festgelegt.

2 Die Faktoren Beta sind für alle Kantone gleich.

3 Die Faktoren Beta gelten für eine Vierjahresperiode des Ressourcenausgleichs. Grundlage sind die Zahlen der Bemessungsjahre der vergangenen Vierjahresperiode des Ressourcenausgleichs.

4 Die Faktoren Beta entsprechen der Summe aus je einem Basisfaktor und je einem Zuschlagsfaktor.

5 Für juristische Personen mit besonderem Steuerstatus, die nicht definitiv veranlagt sind, beträgt der Faktor Beta 1, es sei denn, dass provisorische Angaben in gleichwertiger Qualität wie die definitiv veranlagten Angaben geliefert werden können.21

6 Eine provisorische Angabe ist von gleichwertiger Qualität, wenn im Zeitpunkt, in dem die Daten eines Bemessungsjahres erhoben werden, aufgrund der Steuererklärung die steuerbaren Einkünfte nach Artikel 17 bekannt sind.22

20 SR 642.14

21 Fassung gemäss Ziff. I der V vom 4. Nov. 2015, in Kraft seit 1. Jan. 2016 (AS 2015 4753).

22 Eingefügt durch Ziff. I der V vom 4. Nov. 2015, in Kraft seit 1. Jan. 2016 (AS 2015 4753).

Art. 20 Basis- und Zusatzfaktor

1 Der Basisfaktor entspricht für:

a.
juristische Personen mit besonderem Steuerstatus gemäss Artikel 28 Ab­satz 2 StHG23: 0;
b.
juristische Personen mit besonderem Steuerstatus gemäss Artikel 28 Ab­satz 3 StHG: dem ersten Quartil der steuerbaren Anteile der übrigen Ein­künfte aus dem Ausland aller juristischen Personen in der Schweiz, die ge­mäss Artikel 28 Absatz 3 StHG besteuert werden.
c.
juristische Personen mit besonderem Steuerstatus gemäss Artikel 28 Ab­satz 4 StHG: dem ersten Quartil der steuerbaren Anteile der übrigen Ein­künfte aus dem Ausland aller juristischen Personen in der Schweiz, die ge­mäss Artikel 28 Absatz 4 StHG besteuert werden.

2 Die Berechnung der Zuschlagsfaktoren richtet sich nach Anhang 6.

7. Abschnitt: Massgebende Steuerrepartitionen

Art. 21

1 Die massgebenden Steuerrepartitionen eines Kantons (Anhang 7) entsprechen dem gewichteten Saldo zwischen:

a.
der Summe der Gutschriften der direkten Bundessteuer, die in den Bemes­sungsjahren in anderen Kantonen zu seinen Gunsten verbucht wurden; und
b.
der Summe der Gutschriften der direkten Bundessteuer, die er in den Bemes­sungsjahren zugunsten anderer Kantone verbucht hat.

2 Der Gewichtungsfaktor eines Kantons entspricht dem Verhältnis zwischen der Summe der massgebenden Einkommen und Gewinne des Kantons gemäss den Abschnitten 2, 3, 5 und 6 und dem Steueraufkommen der direkten Bundessteuer des Kantons in den Bemessungsjahren.

8. Abschnitt: Datenerhebung

Art. 22

Das EFD erlässt Weisungen für die Erhebung und die Lieferung der erforderlichen Daten durch die Kantone sowie für deren Verarbeitung durch die Bundesämter. Es lädt die Kantone und die eidgenössische Finanzkontrolle zur Stellungnahme ein.

2. Kapitel: Ausgleichszahlungen

Art. 22a24 Beiträge an die ressourcenschwachen Kantone

1 Die Progression nach Artikel 3a Absatz 2 Buchstabe b FiLaG wird so festgelegt, dass:

a.
die garantierte Mindestausstattung (Art. 3a Abs. 2 Bst. a FiLaG) mit möglichst wenig finanziellen Mitteln erreicht werden kann;
b.
die Rangfolge der Kantone bezüglich der standardisierten Steuererträge pro Einwohnerin und Einwohner zuzüglich dem Beitrag aus dem Ressourcen­ausgleich pro Einwohnerin und Einwohner nicht verändert wird.

2 Die Berechnung der Beiträge an die ressourcenschwachen Kantone richtet sich nach Anhang 7a.

24 Eingefügt durch Ziff. I der V vom 6. Nov. 2019, in Kraft seit 1. Jan. 2020 (AS 2019 3823).

Art. 2426 Leistung der ressourcenstarken Kantone

1 Die Gesamtleistung der ressourcenstarken Kantone entspricht 40 Prozent der notwendigen Mittel nach Artikel 22a.

2 Der Beitrag pro Einwohnerin und Einwohner eines ressourcenstarken Kantons ist proportional zur Differenz zwischen seinem Ressourcenindex und dem Ressourcenindex der gesamten Schweiz.

3 Die Berechnung der Beiträge der ressourcenstarken Kantone richtet sich nach Anhang 8.

26 Fassung gemäss Ziff. I der V vom 6. Nov. 2019, in Kraft seit 1. Jan. 2020 (AS 2019 3823).

2. Titel: Lastenausgleich durch den Bund

1. Kapitel: Datengrundlagen

Art. 27 Datengrundlage

Datengrundlage sind Statistiken des Bundes gemäss dem Bundesstatistikgesetz vom 9. Oktober 199228, dem Bundesgesetz vom 26. Juni 199829 über die eidgenössische Volkszählung und den dazugehörigen Verordnungen des jeweils letzten verfügbaren Jahres.

28 SR 431.01

29 [AS 1999 917. 2007 6743 Art. 16]. Siehe heute: das BG vom 22. Juni 2007 (SR 431.112).

Art. 28 Datenlieferungspflicht

1 Die Kantone sorgen dafür, dass die Daten zur Verfügung gestellt werden.

2 Das Eidgenössische Departement des Innern erlässt Weisungen für die Erhebung und Lieferung der Daten durch die Kantone. Es lädt die Kantone zur Stellungnahme ein.

2. Kapitel: Geografisch-topografischer Lastenausgleich

1. Abschnitt: Massgebende Sonderlasten

Art. 29 Teilindikatoren

1 Der geografisch-topografische Lastenausgleich basiert auf folgenden vier Teil­indikatoren der Kantone:

a.30
Siedlungshöhe: Anteil der ständigen Wohnbevölkerung mit einer Wohnhöhe von über 800 Metern über Meer an der gesamten ständigen Wohnbevölkerung;
b.
Steilheit des Geländes: Höhenmedian der produktiven Fläche gemäss Arealsta­tistik;
c.31
Siedlungsstruktur: Anteil der ständigen Wohnbevölkerung mit Wohnsitz ausserhalb des Hauptsiedlungsgebietes (Anhang 10) an der gesamten ständigen Wohnbevölkerung;
d.32
geringe Bevölkerungsdichte: Gesamtfläche in Hektaren pro Kopf der ständigen Einwohnerinnen und Einwohner gemäss Arealstatistik.

2 ...33

30 Fassung gemäss Ziff. I der V vom 30. Okt. 2013, in Kraft seit 1. Jan. 2014 (AS 2013 3809).

31 Fassung gemäss Ziff. I der V vom 30. Okt. 2013, in Kraft seit 1. Jan. 2014 (AS 2013 3809).

32 Fassung gemäss Ziff. I der V vom 4. Nov. 2015, in Kraft seit 1. Jan. 2016 (AS 2015 4753).

33 Aufgehoben durch Ziff. I der V vom 4. Nov. 2015, mit Wirkung seit 1. Jan. 2016 (AS 2015 4753).

Art. 30 Lastenindizes und massgebende Sonderlasten

1 Für jeden Teilindikator werden ein Lastenindex und die massgebenden Sonderlas­ten der Kantone berechnet.

2 Der Lastenindex eines Kantons entspricht dem mit dem Faktor 100 multiplizierten Verhältnis zwischen dem Teilindikatorwert des Kantons und dem entsprechenden Teilindikatorwert der gesamten Schweiz. Er wird auf eine Kommastelle gerundet.

3 Der Lastenindex der gesamten Schweiz beträgt 100 Indexpunkte.

4 Die massgebenden Sonderlasten eines Kantons entsprechen der gewichteten Diffe­renz zwischen dem Lastenindex des Kantons und dem entsprechenden Lastenindex der gesamten Schweiz. Die Gewichte unterscheiden sich nach dem zu Grunde lie­genden Teilindikator und lauten wie folgt:

a.34
für den Teilindikator Siedlungshöhe: ständige Wohnbevölkerung des Kantons mit Wohnhöhe von über 800 Metern über Meer;
b.
für den Teilindikator Steilheit des Geländes: produktive Fläche des Kantons gemäss Arealstatistik;
c.35
für den Teilindikator Siedlungsstruktur: ständige Wohnbevölkerung mit Wohnsitz ausserhalb der Hauptsiedlungsgebiete des Kantons;
d.36
für den Teilindikator geringe Bevölkerungsdichte: ständige Wohnbevölkerung des Kantons.

5 Ist der Lastenindex eines Kantons kleiner als der Lastenindex der gesamten Schweiz, so sind die massgebenden Sonderlasten des Kantons Null.

6 ...37

34 Fassung gemäss Ziff. I der V vom 30. Okt. 2013, in Kraft seit 1. Jan. 2014 (AS 2013 3809).

35 Fassung gemäss Ziff. I der V vom 30. Okt. 2013, in Kraft seit 1. Jan. 2014 (AS 2013 3809).

36 Fassung gemäss Ziff. I der V vom 4. Nov. 2015, in Kraft seit 1. Jan. 2016 (AS 2015 4753).

37 Aufgehoben durch Ziff. I der V vom 4. Nov. 2015, mit Wirkung seit 1. Jan. 2016 (AS 2015 4753).

2. Abschnitt: Ausgleichszahlungen

Art. 3138 Festlegung

Der Ausgleichsbetrag für den geografisch-topografischen Lastenausgleich entspricht dem Ausgleichsbetrag des Vorjahres angepasst gemäss der Veränderungsrate des Landesindexes der Konsumentenpreise gegenüber dem Vorjahresmonat zum Zeitpunkt der Berechnung.

38 Fassung gemäss Ziff. I der V vom 6. Nov. 2019, in Kraft seit 1. Jan. 2020 (AS 2019 3823).

Art. 32 Verwendung

Der Ausgleichsbetrag wird wie folgt verwendet:

a.
ein Drittel für die Abgeltung der massgebenden Sonderlasten aufgrund der Siedlungshöhe;
b.
ein Drittel für die Abgeltung der massgebenden Sonderlasten aufgrund der Steilheit des Geländes;
c.
ein Sechstel für die Abgeltung der massgebenden Sonderlasten aufgrund der Siedlungsstruktur;
d.39
ein Sechstel für die Abgeltung der massgebenden Sonderlasten aufgrund der geringen Bevölkerungsdichte.

39 Fassung gemäss Ziff. I der V vom 4. Nov. 2015, in Kraft seit 1. Jan. 2016 (AS 2015 4753).

Art. 33 Beiträge an die Kantone

1 Die Beiträge an einen Kanton für die einzelnen Sonderlasten sind proportional zu seinem Anteil an der Summe der entsprechenden Sonderlasten aller Kantone.

2 Sie sind in Anhang 12 aufgelistet.

3. Kapitel: Soziodemografischer Lastenausgleich

1. Abschnitt: Massgebende Sonderlasten aufgrund der Bevölkerungsstruktur


Art. 34 Teilindikatoren

1 Der Ausgleich von soziodemografischen Sonderlasten aufgrund der Bevölkerungs­struktur basiert auf folgenden drei Teilindikatoren der Kantone:

a.
Armut: Anteil der Empfängerinnen und Empfänger von Leistungen der Sozial­hilfe im weiteren Sinne an der ständigen Wohnbevölkerung;
b.
Altersstruktur: Anteil der Einwohnerinnen und Einwohner mit einem Alter von 80 Jahren und mehr an der ständigen Wohnbevölkerung;
c.
Ausländerintegration: Anteil der ausländischen Einwohnerinnen und Einwoh­ner, die nicht aus Nachbarstaaten stammen und maximal seit 12 Jah­ren in der Schweiz leben, an der ständigen Wohnbevölkerung.

2 Als Leistungen der Sozialhilfe im weiteren Sinn gelten bedarfsorientierte Geld­leistungen, sofern sie personen- beziehungsweise haushaltsbezogen gewährt werden und soweit sie in der Statistik der Sozialhilfeempfängerinnen und Sozialhilfeempfänger gemäss Statistikerhebungsverordnung vom 30. Juni 199340 aufgeführt sind. Dazu gehören insbesondere:

a.
wirtschaftliche Sozialhilfe gemäss den kantonalen Sozialhilfegesetzen;
b.
kantonal geregelte Bevorschussung von Alimenten;
c.
Ergänzungsleistungen des Bundes, gewichtet mit dem kantonalen Finanzierungsanteil gemäss Artikel 13 Absatz 1 des Bundesgesetzes vom 6. Oktober 200641 über Ergänzungsleistungen zur Alters-, Hinterlassenen- und Invalidenversicherung;
d.
kantonale Alters- und Invaliditätsbeihilfen;
e.
kantonale Bedarfsleistungen im Zusammenhang mit Arbeitslosigkeit;
f.
kantonale Mutterschaftsbeihilfen sowie Unterhaltszuschüsse an Familien mit Kindern;
g.
kantonale Wohngelder beziehungsweise Wohnkostenzuschüsse.42

3 Weist eine Leistung der Sozialhilfe im weiteren Sinn einen im gesamtschweizerischen Vergleich tiefen jährlichen Unterstützungsbeitrag pro Kopf der Empfängerinnen und Empfänger auf, so wird die Anzahl der Empfängerinnen und Empfänger dieser Leistung gewichtet. Die Finanzstatistik der Sozialhilfe im weiteren Sinn nach Statistikerhebungsverordnung bildet die Datengrundlage für die Gewichtung.43

4 Mehrfachbezüge werden einfach gezählt.44

40 SR 431.012.1

41 SR 831.30

42 Fassung gemäss Ziff. I der V vom 4. Nov. 2015, in Kraft seit 1. Jan. 2017 (AS 2015 4753).

43 Fassung gemäss Ziff. I der V vom 6. Nov. 2019, in Kraft seit 1. Jan. 2020 (AS 2019 3823).

44 Fassung gemäss Ziff. I der V vom 4. Nov. 2015, in Kraft seit 1. Jan. 2017 (AS 2015 4753).

Art. 35 Lastenindex und massgebende Sonderlasten

1 Die Teilindikatoren der Kantone werden standardisiert und mit Hilfe von Gewich­ten zu einem Lastenindex zusammengefasst. Die Gewichte werden mit der Haupt­komponentenanalyse festgelegt und jedes Jahr überprüft. Die Berechnung richtet sich nach Anhang 13.

2 Der Lastenindex eines Kantons wird auf drei Kommastellen gerundet.

3 Aus dem Lastenindex eines Kantons wird eine Masszahl für die Lasten pro Ein­wohnerin und Einwohner berechnet. Diese Masszahl entspricht der Differenz zwi­schen dem Lastenindex des Kantons und dem Lastenindex desjenigen Kantons mit dem tiefsten Indexwert.

4 Die massgebenden Sonderlasten eines Kantons entsprechen der mit der ständigen Wohnbevölkerung gewichteten Differenz zwischen den Lasten pro Einwohnerin und Einwohner des Kantons und dem entsprechenden Mittelwert der Lasten pro Ein­wohnerin und Einwohner aller Kantone. Sind die Lasten pro Einwohnerin und Einwohner des Kantons kleiner als der Mittelwert, so sind die massgebenden Son­derlasten des Kantons Null.

5 ...45

45 Aufgehoben durch Ziff. I der V vom 4. Nov. 2015, mit Wirkung seit 1. Jan. 2016 (AS 2015 4753).

2. Abschnitt: Massgebende Sonderlasten der Kernstädte

Art. 36 Teilindikatoren

Die Sonderlasten der Kernstädte werden aufgrund folgender drei Teilindikatoren der Gemeinden ausgeglichen:

a.
Gemeindegrösse: ständige Wohnbevölkerung;
b.
Siedlungsdichte: ständige Wohnbevölkerung und Anzahl Beschäftigte im Verhältnis zur produktiven Fläche der Gemeinde;
c.
Beschäftigungsquote: Anzahl Beschäftigte im Verhältnis zur ständigen Wohn­bevölkerung der Gemeinde.
Art. 37 Lastenindex und massgebende Sonderlasten

1 Die Teilindikatoren werden standardisiert und mit Hilfe einer Hauptkomponenten­analyse zu einem Lastenindex zusammengefasst. Der Lastenindex einer Gemeinde entspricht der ersten standardisierten Hauptkomponente der standardisierten Teilin­dikatoren. Die Berechnung richtet sich nach Anhang 14.

2 Der Lastenindex eines Kantons entspricht dem gewichteten Mittelwert der Las­tenindizes seiner Gemeinden. Als Gewicht dient die ständige Wohnbevölkerung der Gemeinden. Der Lastenindex des Kantons wird auf drei Kommastellen gerundet.

3 Aus dem Lastenindex eines Kantons wird eine Masszahl für die Lasten pro Ein­wohnerin und Einwohner des Kantons berechnet. Diese Masszahl entspricht der Differenz zwischen dem Lastenindex des Kantons und dem Lastenindex desjenigen Kantons mit dem tiefsten Indexwert.

4 Die für einen Kanton massgebenden Sonderlasten der Kernstädte entsprechen der mit der ständigen Wohnbevölkerung gewichteten Differenz zwischen den Lasten pro Einwohnerin und Einwohner des Kantons und dem Mittelwert der Lasten pro Ein­wohnerin und Einwohner aller Kantone. Sind die Lasten pro Einwohnerin und Einwohner des Kantons kleiner als der Mittelwert der Kantone, so sind die massge­benden Sonderlasten des Kantons Null.

5 ...46

46 Aufgehoben durch Ziff. I der V vom 4. Nov. 2015, mit Wirkung seit 1. Jan. 2016 (AS 2015 4753).

3. Abschnitt: Ausgleichszahlungen

Art. 3847 Festlegung

1 Der Ausgleichsbetrag für den soziodemografischen Lastenausgleich entspricht dem Ausgleichsbetrag des Vorjahres angepasst gemäss der Veränderungsrate des Landesindexes der Konsumentenpreise gegenüber dem Vorjahresmonat zum Zeitpunkt der Berechnung.

2 Die Erhöhung der Beiträge nach Artikel 9 Absatz 2bis FiLaG wird nicht der Teuerung angepasst.

47 Fassung gemäss Ziff. I der V vom 6. Nov. 2019, in Kraft seit 1. Jan. 2020 (AS 2019 3823).

Art. 39 Verwendung

Der Ausgleichsbetrag wird wie folgt verwendet:

a.
zwei Drittel für die Abgeltung der massgebenden Sonderlasten aufgrund der Bevölkerungsstruktur;
b.
ein Drittel für die Abgeltung der massgebenden Sonderlasten der Kernstädte.
Art. 40 Beiträge an die Kantone

1 Die Beiträge, die ein Kanton für Sonderlasten aufgrund der Bevölkerungsstruktur und der Kernstädte erhält, sind proportional zu seinem Anteil an der Summe der entsprechenden Sonderlasten aller Kantone.

2 Die Beiträge an die Kantone sind in Anhang 15 aufgelistet.

3. Titel: Qualitätssicherung

Art. 41 Datenkontrolle und Berichterstattung

1 Das für die Erhebung der Daten zuständige Bundesamt plausibilisiert die Daten.

2 Stellt es bei den Daten Mängel fest, so weist es die Daten zur Überarbeitung inner­halb einer angemessenen Frist an den betroffenen Kanton zurück.

3 Anschliessend übermittelt es die Daten der eidgenössischen Finanzverwaltung (EFV) und erstattet Bericht über die Erhebung, Plausibilisierung und Überarbeitung der Daten.

Art. 42 Massnahmen bei ungenügender Datenqualität

1 Bei fehlerhaften, fehlenden oder nicht weiter verwertbaren Daten zum Ressour­cenpotenzial treffen die eidgenössische Steuerverwaltung (ESTV) und die EFV folgende Massnahmen:

a.
Die ESTV korrigiert angemessen qualitativ ungenügende, aber weiterverwert­bare Daten.
b.
Bei fehlenden oder nicht weiterverwertbaren Daten schätzt die EFV das Res­sourcenpotenzial gemäss Anhang 16.

2 Bei fehlerhaften, fehlenden oder nicht weiter verwertbaren Daten zu den Lastenin­dizes nimmt das Bundesamt für Statistik (BFS) in Zusammenarbeit mit der EFV Korrekturen oder Schätzungen vor.

3 Die Erkenntnisse zur Datenqualität und die getroffenen Massnahmen werden dem betroffenen Kanton und der Konferenz der kantonalen Finanzdirektorinnen und ‑direktoren (FDK) mitgeteilt. Der betroffene Kanton hat Gelegenheit, sich innerhalb einer kurzen Frist zu den vorgenommenen Korrekturen und Schätzungen zu äussern.

Art. 42a48 Nachträgliche Berichtigung von Ausgleichszahlungen

1 Die Ausgleichszahlungen werden nachträglich berichtigt, wenn der Fehler der Ausgleichszahlungen bei einem Kanton pro Einwohnerin oder Einwohner min­destens 0,17 Prozent des durchschnittlichen Pro-Kopf-Ressourcenpotenzials der Schweiz entspricht (Erheblichkeitsgrenze).49

2 Für die Berechnung der Erheblichkeitsgrenze ist das Ressourcenpotenzial des vom Fehler betroffenen Referenzjahres massgebend.

3 Ausgleichszahlungen werden nur für ein Referenzjahr berichtigt, in welchem der Fehler die Erheblichkeitsgrenze erreicht.

48 Eingefügt durch Ziff. I der V vom 16. Nov. 2011, in Kraft seit 1. Jan. 2012 (AS 2011 5823).

49 Fassung gemäss Ziff. I der V vom 7. Nov. 2018, in Kraft seit 1. Jan. 2019 (AS 2018 4653).

Art. 43 Dokumentation

Die Korrekturen der Daten und die Schätzungen sind zu dokumentieren. Die Nach­vollziehbarkeit ist sicherzustellen.

Art. 44 Fachgruppe Qualitätssicherung

1 Das EFD setzt zur Qualitätssicherung der Berechnungsgrundlagen für das Res­sourcenpotenzial und die Lastenindizes eine begleitende, zwischen Bund und Kan­tonen paritätisch zusammengesetzte Fachgruppe ein.

2 Die Fachgruppe setzt sich zusammen aus:

a.
zwei Vertreterinnen oder Vertretern der EFV;
b.
je einer Vertreterin oder einem Vertreter der ESTV und des BFS;
c.
je zwei Vertreterinnen oder Vertretern der ressourcenstarken und der ressour­censchwachen Kantone.

3 Von den Vertreterinnen oder Vertretern der Kantone gemäss Absatz 2 Buchstabe c stammen mindestens eine Vertreterin oder ein Vertreter aus einem Kanton mit geografisch-topografischen Sonderlasten und einem Kanton mit soziodemogra­fischen Sonderlasten.

4 Die eidgenössische Finanzkontrolle ist mit einer Beobachterin oder einem Beob­achter in der Fachgruppe vertreten.

5 Die Sekretärin oder der Sekretär der FDK nimmt als Beobachterin bzw. als Beob­achter Einsitz in die Fachgruppe.

6 Die Fachgruppe wird von einer Vertreterin oder einem Vertreter der Kantone gemäss Absatz 2 Buchstabe c geleitet.

7 Die EFV führt ihr Sekretariat.

Art. 45 Aufgaben der Fachgruppe

1 Die Fachgruppe begleitet die zuständigen Bundesstellen bei folgenden Aufgaben:

a.
Kontrolle der Datenerfassung des Ressourcen- und Lastenausgleichs in den Kantonen;
b.
Plausibilisierung und Überarbeitung der Daten;
c.
Korrekturen oder Schätzungen bei fehlerhaften, fehlenden oder nicht weiter­verwertbaren Daten.

2 Die Fachgruppe erstattet dem EFD und den Kantonen jährlich Bericht über ihre Tätigkeit.

4. Titel: Wirksamkeitsbericht

Art. 46 Inhalt

1 Der Wirksamkeitsbericht hat folgenden Inhalt:

a.
Er gibt Auskunft über:
1.
den Vollzug des Finanzausgleichs, insbesondere die Beschaffung der Da­ten für den Ressourcen- und Lastenausgleich,
2.
die jährliche Volatilität der Beiträge der ressourcenstarken Kantone an den horizontalen Ressourcenausgleich und der Ausgleichszahlungen an die ressourcenschwachen Kantone innerhalb der Berichtsperiode.
b.
Er analysiert, inwieweit die Ziele des Finanz- und Lastenausgleichs in der Berichtsperiode erreicht wurden.
c.50
Er erörtert mögliche Massnahmen, namentlich:
1.
die Anpassung der garantierten Mindestausstattung des Ressourcenausgleichs (Art. 3a Abs. 2 Bst. a FiLaG),
2.
die Anpassung der Dotation des Lastenausgleichs (Art. 9 FiLaG),
3.
die vollständige oder teilweise Aufhebung des Härteausgleichs (Art. 19 Abs. 4 FiLaG).

2 Er kann Empfehlungen für die Überprüfung der Bemessungsgrundlagen des Res­sourcen- und Lastenausgleichs enthalten.

3 Er enthält zudem in einer gesonderten Darstellung Angaben über die Wirkungen der interkantonalen Zusammenarbeit mit Lastenausgleich gemäss Artikel 18 Ab­satz 3 in Verbindung mit Artikel 11 FiLaG.

4 Der Wirksamkeitsbericht stützt sich bei der Beurteilung der Ziele insbesondere auf die Kriterien gemäss Anhang 17 ab und berücksichtigt anerkannte Standards der Evaluation.

5 Er gibt allfällige abweichende Meinungen innerhalb der paritätischen Fachgruppe wieder.

50 Fassung gemäss Ziff. I der V vom 6. Nov. 2019, in Kraft seit 1. Jan. 2020 (AS 2019 3823).

Art. 47 Datengrundlagen

1 Für die Überprüfung der Wirksamkeit werden Statistiken des Bundes und der Kantone sowie, soweit zweckmässig, verwaltungsexterne Daten und Analysen heran­gezogen.

2 Die Kantone stellen dem Bund die notwendigen Daten zur Verfügung.

Art. 48 Fachgruppe Wirksamkeitsbericht

1 Eine Fachgruppe, die sich paritätisch aus Vertreterinnen und Vertretern von Bund und Kantonen zusammensetzt, begleitet die Erarbeitung des Wirksamkeitsberichts. Sie äussert sich namentlich zur Auftragsvergabe an externe Gutachterinnen und Gutachter und zur Erarbeitung von Empfehlungen für den Ressourcen-, Lasten- und Härteausgleich.

2 Die Kantone sorgen für eine ausgewogene Zusammensetzung ihrer Delegation in der Fachgruppe, insbesondere sind die verschiedenen Sprachgruppen, Stadt- und Landregionen sowie die ressourcenstarken und ressourcenschwachen Kantone angemessen zu berücksichtigen.

3 Das EFD bestimmt die Zusammensetzung der Bundesdelegation, darunter die Vertreterinnen und Vertreter der EFV. Eine Vertreterin oder ein Vertreter der EFV leitet die Fachgruppe.

4 Das Sekretariat der Fachgruppe wird durch die EFV wahrgenommen.

Art. 4951 Vernehmlassung

Der Wirksamkeitsbericht wird den Kantonen in die Ver­nehmlassung gegeben.

51 Fassung gemäss Ziff. I der V vom 6. Nov. 2019, in Kraft seit 1. Jan. 2020 (AS 2019 3823).

5. Titel: Fälligkeit der Beiträge

Art. 50

Die Beiträge des Ressourcen-, Lasten- und Härteausgleichs sind halbjährlich jeweils am Ende des Halbjahres zu bezahlen.

6. Titel: Übergangsbestimmungen

1. Abschnitt: ...

2. Abschnitt: Härteausgleich

Art. 55 Globalbilanz

1 Grundlage für die Ausgleichszahlungen des Härteausgleichs ist die Globalbilanz der Neugestaltung des Finanzausgleichs und der Aufgabenteilung zwischen Bund und Kantonen (NFA).

2 Die Globalbilanz der NFA zeigt die geschätzte finanzielle Nettobelastung oder Nettoentlastung des Bundes und der Kantone, die sich im Durchschnitt der Jahre 2004 und 2005 ergibt gemäss:

a.
dem Bundesbeschluss vom 3. Oktober 200354 zur Neugestaltung des Finanz­ausgleichs und der Aufgabenteilung zwischen Bund und Kantonen;
b.
dem Bundesgesetz vom 6. Oktober 200655 über die Schaffung und die Ände­rungen von Erlassen zur Neugestaltung des Finanzausgleichs und der Auf­gabenteilung zwischen Bund und Kantonen;
c.
den Artikeln 3–9 und 23 FiLaG.
Art. 56 Beiträge an die Kantone

1 Mit dem Härteausgleich wird angestrebt, dass in der Globalbilanz jeder Kanton, dessen Ressourcenindex im Durchschnitt der Jahre 2004 und 2005 unter dem Wert von 100 liegt, eine finanzielle Nettoentlastung in Prozent des standardisierten Steuerertrags aufweist, die mindestens so gross ist wie der Grenzwert des Kantons.

2 Der Grenzwert des Kantons ist abhängig von seinem Ressourcenindex im Durch­schnitt der Jahre 2004 und 2005 und dem für den Härteausgleich zur Verfügung stehenden Gesamtbetrag. Er berechnet sich nach Anhang 18.

3 Kantone, deren Ressourcenindex im Durchschnitt der Jahre 2004 und 2005 tiefer ist als 100 Punkte und deren Nettoentlastung in Prozent des standardisierten Steuer­ertrags in der Globalbilanz tiefer ist als der Grenzwert, erhalten in den Jahren 2008 bis 2015 einen Beitrag in der Höhe der Differenz zwischen der Nettoentlastung und dem Grenzwert (Anhang 18). Die restlichen Kantone erhalten keinen Beitrag.

4 Ab dem neunten Jahr ab Inkrafttreten der Verordnung reduziert sich der Beitrag um jährlich fünf Prozent des Anfangsbetrags.

5 Ein Kanton verliert seinen Anspruch auf den Härteausgleich ab dem Referenzjahr, in welchem sein Ressourcenindex auf über 100 Punkte steigt. Die Gesamtsumme des Härteausgleichs reduziert sich entsprechend.

2a. Abschnitt:56 Temporäre Abfederungsmassnahmen

56 Eingefügt durch Ziff. I der V vom 6. Nov. 2019, in Kraft seit 1. Jan. 2021 (AS 2019 3823).

Art. 56a

1 Der Anteil eines berechtigten Kantons an den Mitteln nach Artikel 19c Absatz 2 FiLaG entspricht der Anzahl der Einwohnerinnen und Einwohner des Kantons, dividiert durch die Summe der Einwohnerinnen und Einwohner aller berechtigten Kantone.

2 Die Ausgleichsbeiträge der Abfederungsmassnahmen richten sich nach Anhang 19.

3. Abschnitt: Wirksamkeitsbericht

Art. 5757

1 Der Wirksamkeitsbericht für die Periode 2020–2025 umfasst eine zusätzliche Darstellung zur Umsetzung des Bundesgesetzes vom 28. September 201858 über die Steuerreform und die AHV-Finanzierung in den Kantonen, namentlich der Instrumente des Abzugs von Forschungs- und Entwicklungsaufwand und des Abzugs für Eigenfinanzierung.

2 Die Kantone stellen dem Bund die notwendigen Informationen zur Verfügung.

57 Fassung gemäss Ziff. I der V vom 6. Nov. 2019, in Kraft seit 1. Jan. 2020 (AS 2019 3823).

58 AS 2019 2395

3a. Abschnitt:59 Berechnung der massgebenden Gewinne der juristischen Personen

59 Eingefügt durch Ziff. I der V vom 6. Nov. 2019, in Kraft seit 1. Jan. 2020 (AS 2019 3823).


Art. 57b Weiteranwendung der Faktoren Beta

1 Bei Gesellschaften, die ihren besonderen Steuerstatus nach Artikel 28 Absätze 2–4 StHG61 in der bis 31. Dezember 2019 geltenden Fassung verloren haben, werden in den Bemessungsjahren 2020–2024 die Faktoren Beta nach Artikel 23a Absatz 1 FiLaG auf den Gewinnanteil nach Artikel 17 Buchstabe b dieser Verordnung in der bis 31. Dezember 2025 geltenden Fassung angewendet. Dies gilt ebenso für Gesellschaften, die auf ihren Steuerstatus verzichtet haben, für die Bemessungsjahre 2017–2024. Die Gewinnanteile aus den Einkünften aus der Schweiz fliessen zu 100 Prozent in die Bemessungsgrundlage ein.

2 und 3 ...62

61 SR 642.14

62 Treten am 1. Jan. 2024 in Kraft.

Art. 57c Datenerhebung zur Weiteranwendung der Faktoren Beta

1 Die Kantone identifizieren die juristischen Personen, für die nach Artikel 57b die Faktoren Beta weiter angewendet werden.

2 Für den Gewinn dieser juristischen Personen richtet sich die Berechnung des mit dem entsprechenden Faktor Beta multiplizierten Gewinnanteils nach Artikel 57b Absatz 1 nach dem gewichteten Durchschnitt der letzten drei Jahre als juristische Person mit besonderem Steuerstatus.

3 Ist eine juristische Person mit besonderem Steuerstatus Gegenstand einer Umstrukturierung, so wird die Gewichtung nach Artikel 57b anteilsmässig berücksichtigt.

7. Titel: Schlussbestimmungen

Art. 58 Aufhebung bisherigen Rechts

Folgende Verordnungen werden aufgehoben:

1.
Verordnung vom 21. Dezember 197364 über die Abstufung der Bundesbei­träge nach der Finanzkraft der Kantone.
2.
Verordnung vom 27. November 198965 über den Finanzausgleich mit dem Kantonsanteil an der direkten Bundessteuer.

64 [AS 1974 146]

65 [AS 1989 2470, 2002 3069]

Anhang 166

66 Fassung gemäss Ziff. I 1 der V vom 5. Nov. 2014 (AS 2014 3825). Bereinigt gemäss Ziff. II Abs. 2 der V vom 4. Nov. 2015 (AS 2015 4753) Ziff. II Abs. 4 der V vom 6. Nov. 2019 (AS 2019 3823) und Ziff. I Abs. 2 der V vom 11. Nov. 2020, in Kraft seit 1. Jan. 2021 (AS 2020 5227).

(Art. 1–5)

Ressourcenpotenzial und standardisierter Steuerertrag

1. Ressourcenpotenzial

Kantonswerte für das Referenzjahr 2021

Kanton

Ressourcen-
potenzial

(in 1000 Fr.)

Mittlere ständige
und nichtständige
Wohnbevölkerung
(Mittelwert 2015–2017)

Ressourcen­-
potenzial
pro Kopf
(in Fr.)

Ressourcen-
index

Zürich

63 734 639

1 490 464

42 762

122.4

Bern

28 752 304

1 028 768

27 948

80.0

Luzern

12 723 719

404 324

31 469

90.1

Uri

923 022

36 563

25 245

72.2

Schwyz

9 609 925

156 368

61 457

175.9

Obwalden

1 533 598

37 567

40 824

116.8

Nidwalden

2 300 125

42 833

53 700

153.7

Glarus

1 016 972

40 522

25 097

71.8

Zug

11 062 593

124 672

88 734

253.9

Freiburg

8 218 019

311 554

26 378

75.5

Solothurn

6 739 411

270 113

24 950

71.4

Basel-Stadt

9 793 800

195 507

50 094

143.4

Basel-Landschaft

9 773 262

285 917

34 182

97.8

Schaffhausen

2 665 351

81 300

32 784

93.8

Appenzell A.Rh.

1 627 360

54 940

29 621

84.8

Appenzell I.Rh.

532 035

16 086

33 075

94.6

St. Gallen

14 275 844

504 132

28 318

81.0

Graubünden

5 927 960

204 900

28 931

82.8

Aargau

18 892 997

664 316

28 440

81.4

Thurgau

7 430 022

270 964

27 421

78.5

Tessin

12 023 942

355 527

33 820

96.8

Waadt

27 678 122

788 441

35 105

100.5

Wallis

7 812 498

345 046

22 642

64.8

Neuenburg

5 085 302

179 497

28 331

81.1

Genf

23 653 167

490 847

48 188

137.9

Jura

1 654 362

73 262

22 581

64.6

Total Kantone

295 440 352

8 454 426

34 945

100.0

2. Standardisierter Steuerertrag

Kommentar zur Berechnung

Der standardisierte Steuerertrag der Schweiz entspricht den durchschnittlichen Steuereinnahmen aller Kantone und Gemeinden. Diese bestehen aus dem gesamten Fiskalertrag der Kantone und Gemeinden abzüglich der Debitorenverluste und zuzüglich des Kantonsanteils am Ertrag der direkten Bundessteuer (17 %).

Der standardisierte Steuersatz ist für alle Kantone gleich hoch und basiert auf dem Ressourcenpotenzial und den Steuereinnahmen der Gesamtheit der Kantone.

Wert des standardisierten Steuersatzes für das Referenzjahr 2021

Standardisierter Steuersatz für das Referenzjahr 2021 = 25,9%

Anhang 267

67 Fassung gemäss Ziff. I Abs. 1 der V vom 11. Nov. 2020, in Kraft seit 1. Jan. 2021 (AS 2020 5227).

(Art. 7)

Massgebendes Einkommen der natürlichen Personen

Kantonswerte für das Referenzjahr 2021

Kanton

Massgebendes Einkommen der natürlichen
Personen (in 1000 Fr.)

Zürich

39 345 985

Bern

17 744 729

Luzern

7 620 301

Uri

557 447

Schwyz

5 747 274

Obwalden

1 011 307

Nidwalden

1 257 921

Glarus

618 472

Zug

5 181 337

Freiburg

5 318 925

Solothurn

4 998 993

Basel-Stadt

5 104 253

Basel-Landschaft

7 162 228

Schaffhausen

1 414 397

Appenzell A.Rh.

1 029 467

Appenzell I.Rh.

329 877

St. Gallen

8 406 513

Graubünden

3 558 754

Aargau

13 127 915

Thurgau

4 960 954

Tessin

6 949 908

Waadt

17 704 049

Wallis

5 251 355

Neuenburg

2 937 751

Genf

13 166 387

Jura

1 001 973

Total Kantone

181 508 472

Anhang 368

68 Fassung gemäss Ziff. II Abs. 3 der V vom 6. Nov. 2019 (AS 2019 3823). Bereinigt gemäss Ziff. I Abs. 2 der V vom 11. Nov. 2020, in Kraft seit 1. Jan. 2021 (AS 2020 5227).

(Art. 9 und 10)

Massgebendes quellenbesteuertes Einkommen

1. Definition der Variablen und Parameter

BQA Bruttoeinkommen der gebietsansässigen Ausländerinnen und Ausländer und der ausländischen Verwaltungsrätinnen und Verwaltungsräte

BQB Bruttoeinkommen der vollständig besteuerten Grenzgängerinnen und Grenzgänger

BQC Bruttoeinkommen der begrenzt besteuerten Grenzgängerinnen und Grenzgänger aus Österreich

BQD Bruttoeinkommen der begrenzt besteuerten Grenzgängerinnen und Grenzgänger aus Deutschland

BQE Bruttoeinkommen der begrenzt besteuerten Grenzgängerinnen und Grenzgänger aus Frankreich mit Besteuerung durch den Kanton Genf

BQF Bruttoeinkommen der begrenzt besteuerten Grenzgängerinnen und Grenzgänger aus Frankreich mit Besteuerung durch Frankreich

BQG Bruttoeinkommen der begrenzt besteuerten Grenzgängerinnen und Grenzgänger aus Italien

TC Anteil des Österreich zustehenden Fiskalausgleichs gemäss DBA-A

TD Maximaler Schweizer Steuersatz auf den Bruttoeinkünften der begrenzt besteuerten Grenzgängerinnen und Grenzgänger aus Deutschland gemäss Artikel 15a DBA-D

TE Anteil der durch den Kanton Genf an Frankreich zurückerstatteten Brutto­lohnsumme der begrenzt besteuerten Grenzgängerinnen und Grenzgänger aus Frankreich mit Besteuerung durch den Kanton Genf gemäss Abkommen des Kantons Genf mit Frankreich vom 29.1.1973

TF Maximaler Anteil (Steuersatz) der durch Frankreich zurückerstatteten Bruttolohnsumme der begrenzt besteuerten Grenzgängerinnen und Grenz­gänger aus Frankreich mit Besteuerung durch Frankreich gemäss dem Abkommen der Kantone Bern, Solothurn, Basel-Stadt, Basel-Landschaft, Waadt, Wallis und Neuenburg vom 11.4.1983

TG Anteil der an Italien zurückerstatteten Bruttosteuereinnahmen von begrenzt besteuerten Grenzgängerinnen und Grenzgängern aus Italien gemäss Artikel 14a DBA-I und der Vereinbarung der Kantone Graubünden, Tessin und Wallis mit Italien

Letzter verfügbarer standardisierter Steuersatz für das Bemessungsjahr t (d.h. Bemessungsjahr + 3 Jahre)

γ Faktor Gamma: Auf drei Stellen gerundetes Verhältnis zwischen dem massgebenden Einkommen der natürlichen Personen der Schweiz und dem Primäreinkommen der privaten Haushalte der Schweiz in den Bemessungsjahren. Der Faktor Gamma wird jährlich berechnet.

δ Faktor Delta: Faktor, der die Lasten der Grenzgänger berücksichtigt und deren Einkommen BQB, BQC, BQD, BQE, BQF und BQG tiefer gewichtet.

2. Berechnungsformeln

(1)

Massgebendes quellenbesteuertes Einkommen der gebietsansässigen Ausländerinnen und Ausländer und ausländischen Verwaltungsrätinnen und Verwaltungsräte eines Kantons:

γ · BQA

(2)

Massgebendes quellenbesteuertes Einkommen der vollständig besteuerten Grenzgängerinnen und Grenzgänger eines Kantons:

γ · δ ·BQB

(3)

Massgebendes quellenbesteuertes Einkommen der begrenzt besteuerten Grenzgängerinnen und Grenzgänger aus Österreich:

(4)

Massgebendes quellenbesteuertes Einkommen der begrenzt besteuerten Grenzgängerinnen und Grenzgänger aus Deutschland:

(5)

Massgebendes quellenbesteuertes Einkommen der begrenzt besteuerten Grenzgängerinnen und Grenzgänger aus Frankreich mit Besteuerung durch den Kanton Genf:

(6)

Massgebendes quellenbesteuertes Einkommen der begrenzt besteuerten Grenzgängerinnen und Grenzgänger aus Frankreich mit Besteuerung durch Frankreich:

(7)

Massgebendes quellenbesteuertes Einkommen der begrenzt besteuerten Grenzgängerinnen und Grenzgänger aus Italien:

3. Parameterwerte für das Referenzjahr 2021

Parameter

Wert

γ2015

0.368

γ2016

0.372

γ2017

0.379

δ

0.750

SST2018

0.263

SST2019

0.261

SST2020

0.261

TC

0.125

TD

0.045

TE

0.035

TF

0.045

TG

0.4

4. Kommentar zur Berechnung

4.1 Das massgebende quellenbesteuerte Einkommen setzt sich zusammen aus dem Einkommen der gebietsansässigen Ausländerinnen und Ausländer und der auslän­dischen Verwaltungsrätinnen und Verwaltungsräte (BQA), dem Einkommen der vollständig besteuerten Grenzgängerinnen und Grenzgänger (BQB) sowie dem Einkommen der begrenzt besteuerten Grenzgängerinnen und Grenzgänger (BQC, BQD, BQE, BQF und BQG).

4.2 Erfasst werden die entsprechenden Bruttoeinkommen. Mit dem Faktor werden die Bruttoeinkommen in eine mit dem steuerbaren Einkommen vergleichbare Grösse umgerechnet. Bei den gebietsansässigen Ausländerinnen und Ausländern und den ausländischen Verwaltungsrätinnen und Verwaltungsräten ist zur Bestimmung des massgebenden Einkommens lediglich eine Multiplikation der entsprechenden Bruttoeinkommen mit dem Faktor erforderlich [Berechnungsformel (1)].

4.3 Zusätzlich zum Faktor werden die Bruttolöhne der Grenzgängerinnen und Grenzgänger mit einem Faktor δ von 0,75 gewichtet. Damit fliessen die mit dem Faktor δ gewichteten Bruttolöhne der Grenzgängerinnen und Grenzgänger nur zu 75 Prozent in die Berechnung der massgebenden quellenbesteuerten Einkommen ein. Dies gilt für sämtliche Grenzgänger-Kategorien.

4.3.1 Formel (2), vollständig besteuerte Grenzgängerinnen und Grenzgänger: Das massgebende steuerbare Einkommen beträgt γ  δ . BQB.

4.4 Mit den Berechnungsformeln (3)–(7) werden die begrenzt besteuerten Grenzgänger­einkommen auf der Basis der entsprechenden Doppelbesteuerungsabkommen mit Österreich, Deutschland, Frankreich und Italien umgerechnet.

4.4.1 Formel (3), Grenzgängerinnen und Grenzgänger aus Österreich: Die Bruttoeinkommen werden in der Schweiz besteuert und davon Österreich ein Fiskalausgleich in der Höhe von 12,5 Prozent ihres Steueraufkommens geleistet. Das massgebende steuerbare Einkommen, γ  δ . BQC, wird um den Österreich zustehenden Anteil, TC, korrigiert.

4.4.2 Formel (4), Grenzgängerinnen und Grenzgänger aus Deutschland: Die Bruttoeinkommen der Grenzgängerinnen und Grenzgänger werden zu einem Satz von maximal 4,5 Prozent besteuert. Der in der Schweiz steuerbare Ein­kommensanteil wird durch Division des Steuerertrags, TD  δ . BQD, mit dem entsprechenden standardisierten Steuersatz, SSTt+3, ermittelt.

4.4.3 Formel (5), Grenzgängerinnen und Grenzgänger aus Frankreich in Genf: Die Besteuerung erfolgt in der Schweiz mit einer Rückerstattung an Frank­reich von 3,5 Prozent der Bruttolohnsumme. Vom massgebenden steuerba­ren Einkommen bei vollständiger Besteuerung durch Genf, γ  δ . BQE, wird der Anteil abgezogen, der Frankreich abzuliefern ist. Dieser Anteil wird berechnet, indem die an Frankreich abzuliefernde Steuer, TE  δ . BQE, durch Division mit dem entsprechenden standardisierten Steuersatz, SSTt+3, auf das steuerbare Einkommen hochgerechnet wird.

4.4.4 Formel (6), Grenzgängerinnen und Grenzgänger aus Frankreich (ohne Grenzgängerinnen und Grenzgänger aus Frankreich in Genf): Die Besteue­rung erfolgt durch Frankreich, die Schweiz erhält maximal 4,5 Prozent des Bruttoeinkommens. Der in der Schweiz steuerlich ausgeschöpfte Einkom­mensanteil wird durch Division des Steuerertrags, TF  δ . BQF, mit dem entsprechenden standardisierten Steuersatz, SSTt+3, ermittelt.

4.4.5 Formel (7), Grenzgängerinnen und Grenzgänger aus Italien: Rückver­gütung von 40 Prozent der Steuereinnahmen an Italien. Das massgebende steuerbare Einkommen, γ  δ . BQG, wird um den Italien zustehenden Anteil, TG, korrigiert.

5. Kantonswerte für das Referenzjahr 2021

Kanton

Massgebende quellenbesteuerte Einkommen (in 1000 Fr.)

Zürich

2 330 086

Bern

601 242

Luzern

298 925

Uri

30 755

Schwyz

157 520

Obwalden

37 794

Nidwalden

40 258

Glarus

45 727

Zug

246 310

Freiburg

261 154

Solothurn

200 869

Basel-Stadt

776 112

Basel-Landschaft

419 529

Schaffhausen

157 278

Appenzell A.Rh.

23 311

Appenzell I.Rh.

10 000

St. Gallen

465 428

Graubünden

406 955

Aargau

717 531

Thurgau

296 472

Tessin

1 101 054

Waadt

1 376 084

Wallis

452 389

Neuenburg

289 718

Genf

2 477 460

Jura

106 719

Total Kantone

13 326 681

Anhang 469

69 Fassung gemäss Ziff. II Abs. 3 der V vom 6. Nov. 2019 (AS 2019 3823). Bereinigt gemäss Ziff. I Abs. 2 der V vom 11. Nov. 2020, in Kraft seit 1. Jan. 2021 (AS 2020 5227).

(Art. 13 und 14)

Massgebendes Vermögen der natürlichen Personen

1. Definition der Variablen und Parameter

Vermögenssteuereinnahmen der Kantone und Gemeinden

Reinvermögen

Einkommenssteuereinnahmen der Kantone und Gemeinden

Quellensteuereinnahmen der Kantone und Gemeinden

Kantonsanteil an der direkten Bundessteuer nach Artikel 196 Absatz 1 DBG70

Einkommenssteuereinnahmen der direkten Bundessteuer

Massgebende Einkommen der natürlichen Personen

Massgebende quellenbesteuerte Einkommen der natürlichen Personen

2. Berechnung des Faktors Alpha

2.1 Der Faktor Alpha nach Artikel 13 wird gemäss folgender Formel berechnet:

2.2 Der Faktor Alpha wird jährlich berechnet und basiert auf den letzten verfügbaren sechs Bemessungsjahren.

3. Faktor Alpha für die Bemessungsjahre 2015–17

2015

2016

2017

Faktor Alpha

0.014

0.014

0.014

4. Kommentar zur Berechnung des Faktors Alpha

Der Faktor Alpha berechnet sich, indem die Ausschöpfung der Vermögen durch die Ausschöpfung der Einkommen dividiert wird. Die Ausschöpfung der Vermögen entspricht den gesamten Vermögenssteuereinnahmen der Kantone und Gemeinden dividiert durch die gesamten Reinvermögen der Schweiz. Für die Ausschöpfung der Einkommen werden die gesamten Einkommens- und Quellensteuereinnahmen der Kantone und Gemeinden inklusive dem Kantonsanteil an der direkten Bundessteuer auf Einkommen verwendet und durch die massgebenden Einkommen der natürlichen Personen gemäss Anhang 2 und den massgebenden quellenbesteuerten Einkommen gemäss Anhang 3 dividiert.

5. Kantonswerte für das Referenzjahr 2021

Kanton

Massgebendes Vermögen der natürlichen
Personen (in 1000 Fr.)

Zürich

5 764 797

Bern

2 417 992

Luzern

1 239 182

Uri

95 486

Schwyz

1 630 336

Obwalden

177 540

Nidwalden

454 010

Glarus

109 427

Zug

922 281

Freiburg

431 785

Solothurn

393 844

Basel-Stadt

788 441

Basel-Landschaft

636 003

Schaffhausen

193 321

Appenzell A.Rh.

208 035

Appenzell I.Rh.

75 088

St. Gallen

1 521 548

Graubünden

878 161

Aargau

1 674 557

Thurgau

806 405

Tessin

957 516

Waadt

2 090 123

Wallis

756 244

Neuenburg

272 522

Genf

1 776 011

Jura

104 353

Total Kantone

26 375 009

Anhang 571

71 Fassung gemäss Ziff. I Abs. 1 der V vom 11. Nov. 2020, in Kraft seit 1. Jan. 2021 (AS 2020 5227).

(Art. 16)

Massgebende Gewinne der juristischen Personen ohne besonderen Steuerstatus

Kantonswerte für das Referenzjahr 2021

Kanton

Massgebende Gewinne der juristischen
Personen ohne besonderen Steuerstatus
(in 1000 Fr.)

Zürich

15 409 647

Bern

7 452 512

Luzern

3 509 628

Uri

233 721

Schwyz

1 901 802

Obwalden

290 271

Nidwalden

507 885

Glarus

209 405

Zug

3 354 533

Freiburg

1 883 516

Solothurn

1 096 427

Basel-Stadt

2 399 919

Basel-Landschaft

1 320 799

Schaffhausen

410 270

Appenzell A.Rh.

357 588

Appenzell I.Rh.

112 232

St. Gallen

3 557 344

Graubünden

879 275

Aargau

3 283 662

Thurgau

1 339 600

Tessin

2 666 289

Waadt

4 287 625

Wallis

1 268 822

Neuenburg

899 746

Genf

4 828 471

Jura

396 992

Total Kantone

63 857 978

Anhang 672

72 Fassung gemäss Ziff. II Abs. 3 der V vom 6. Nov. 2019, in Kraft bis zum 31. Dez. 2025 (AS 2019 3823). Bereinigt gemäss Ziff. I Abs. 2 der V vom 11. Nov. 2020, in Kraft seit 1. Jan. 2021 (AS 2020 5227).

(Art. 18–20)

Massgebende Gewinne der juristischen Personen mit besonderem Steuerstatus


Zuschlagsfaktoren für die Berechnungen der Faktoren Beta

1. Definition der Variablen und Parameter

π Kantonsanteil an der direkten Bundessteuer gemäss Artikel 196 Absatz 1 DBG73

TDBG Gewinnsteuersatz der direkten Bundessteuer gemäss Artikel 68 DBG

β* Basisfaktor gemäss Artikel 20 Absatz 1

ω Reduktionsfaktor (Entgelt an die Kantone für die Erhebung der direkten Bundessteuer)

SST2019 Standardisierter Steuersatz für das Referenzjahr 2019

2. Berechnung der Zuschlagsfaktoren

Die Zuschlagsfaktoren gemäss Artikel 20 Absatz 2 werden gemäss folgender Formel berechnet:

3. Parameterwerte für Referenzjahre ab 2020

Parameter

Wert

π

0.17

TDBG

0.085

SST2019

0.261

ω

0.5

4. Faktoren Beta für Referenzjahre ab 2020

Basisfaktor β*

Zuschlagsfaktor

Faktor β

Holdinggesellschaften

  0.0 %

2.8 %

  2.8 %

Domizilgesellschaften

  9.9 %

2.5 %

12.4 %

gemischte Gesellschaften

10.0 %

2.5 %

12.5 %

5. Kommentar zur Berechnung der Zuschlagsfaktoren

Die Faktoren Beta berechnen sich aus einem Basisfaktor β* und einem Zuschlags­faktor. Der Zuschlagsfaktor berechnet sich wie folgt: In einem ersten Schritt wird der Gewinnsteuersatz der direkten Bundessteuer, TDBG, mit dem Kantonsanteil, , multipliziert (TDBG · π). Anschliessend erfolgt eine Korrektur um den Teil, der bereits im Basisfaktor enthalten ist (1–β*). Mit einer weiteren Korrektur (1–) wird dem Umstand Rechnung getragen, dass der Kantonsanteil an der direkten Bundes­steuer zumindest teilweise einer Bezugsprovision an die Kantone gleichkommt. In einem letzten Schritt wird dieser bereinigte Steuersatz durch die Division mit dem standardisierten Steuersatz des Jahres 2019, SST2019, auf einen auf die Gewinne anwendbaren Faktor hochgerechnet.

6. Kantonswerte für das Referenzjahr 2021

Kanton

Massgebende Gewinne der juristischen
Personen mit besonderem Steuerstatus (in 1000 Fr.)

Zürich

1 027 691

Bern

739 439

Luzern

179 511

Uri

828

Schwyz

177 767

Obwalden

15 495

Nidwalden

35 477

Glarus

24 776

Zug

1 351 132

Freiburg

452 402

Solothurn

31 022

Basel-Stadt

790 551

Basel-Landschaft

252 964

Schaffhausen

467 313

Appenzell A.Rh.

15 697

Appenzell I.Rh.

1 513

St. Gallen

320 879

Graubünden

96 428

Aargau

36 770

Thurgau

11 985

Tessin

263 556

Waadt

2 217 052

Wallis

7 555

Neuenburg

610 152

Genf

1 286 815

Jura

24 016

Total Kantone

10 438 785

Anhang 774

74 Fassung gemäss Ziff. I Abs. 1 der V vom 11. Nov. 2020, in Kraft seit 1. Jan. 2021 (AS 2020 5227).

(Art. 21)

Massgebende Steuerrepartitionen der direkten Bundessteuer

Kantonswerte für das Referenzjahr 2021

Kanton

Massgebende Steuerrepartitionen der
direkten Bundessteuer (in 1000 Fr.)

Zürich

–143 567

Bern

–203 610

Luzern

–123 828

Uri

4 785

Schwyz

–4 775

Obwalden

1 192

Nidwalden

4 573

Glarus

9 164

Zug

6 999

Freiburg

–129 763

Solothurn

18 257

Basel-Stadt

–65 476

Basel-Landschaft

–18 261

Schaffhausen

22 772

Appenzell A.Rh.

–6 738

Appenzell I.Rh.

3 324

St. Gallen

4 133

Graubünden

108 387

Aargau

52 563

Thurgau

14 608

Tessin

85 618

Waadt

3 189

Wallis

76 133

Neuenburg

75 412

Genf

118 023

Jura

20 309

Total Kantone

–66 573

Anhang 7a75

75 Eingefügt durch Ziff. II Abs. 2 der V vom 6. Nov. 2019 (AS 2019 3823). Bereinigt gemäss Ziff. I Abs. 2 der V vom 11. Nov. 2020, in Kraft seit 1. Jan. 2021 (AS 2020 5227).

(Art. 22a)

Beiträge an die ressourcenschwachen Kantone

1. Definition der Variablen und Parameter

Beitrag an den ressourcenschwachen Kanton r

durchschnittliche mittlere ständige und nichtständige Wohnbevölkerung des ressourcenschwachen Kantons r in den Bemessungsjahren

Ressourcenindex des ressourcenschwachen Kantons r

Indexwert der garantierten Mindestausstattung

Standardisierter Steuerertrag der Schweiz pro Einwohnerin und Einwohner

2. Berechnung

2.1 Der Beitrag an einen ressourcenschwachen Kanton r berechnet sich wie folgt:

2.2 Der Werte der Parameter p und t werden wie folgt berechnet:

3. Parameterwerte für das Referenzjahr 2021

Parameter

Wert

9 066

87.1

4. Kommentar zur Berechnung

4.1 Die Berechnung richtet sich nach der Höhe des Ressourcenindexes. Bei einem Ressourcenindex von kleiner als 70 Punkten wird der Ausgleichsbetrag so festgelegt, dass der Kanton nach Ausgleich genau die garantierte Mindestausstattung erreicht.

4.2
Bei Ressourcenindizes ab 70 Punkten steigt der resultierende Index nach Ausgleich progressiv an. Bei einem Ressourcenindex von genau 70 Punkten soll eine Erhöhung des standardisierten Steuerertrags um eine Einheit den Ausgleichsbetrag um 90 Prozent dieser Einheit reduzieren (Grenzabschöpfung). Die Stärke der Progression wird durch die Parameter p und t definiert, welche abhängig sind von der Höhe der garantierten Mindestausstattung , der Grenze von 70 Punkten, ab der die Progression beginnt, und der Grenzabschöpfung von 90 Prozent.

5. Auszahlung für das Jahr 2021

Kanton

Ressourcen-
index

Ressourcenausgleich in Franken

horizontal

vertikal

Total

Zürich

122.4

0

0

0

Bern

80.0

336 900 106

505 350 159

842 250 265

Luzern

90.1

43 871 907

65 807 860

109 679 767

Uri

72.2

20 055 915

30 083 873

50 139 788

Schwyz

175.9

0

0

0

Obwalden

116.8

0

0

0

Nidwalden

153.7

0

0

0

Glarus

71.8

22 766 582

34 149 873

56 916 455

Zug

253.9

0

0

0

Freiburg

75.5

140 475 297

210 712 945

351 188 242

Solothurn

71.4

155 333 344

233 000 016

388 333 360

Basel-Stadt

143.4

0

0

0

Basel-Landschaft

97.8

2 829 646

4 244 469

7 074 115

Schaffhausen

93.8

4 164 626

6 246 939

10 411 565

Appenzell A.Rh.

84.8

11 688 669

17 533 004

29 221 673

Appenzell I.Rh.

94.6

656 026

984 039

1 640 065

St. Gallen

81.0

151 542 605

227 313 907

378 856 512

Graubünden

82.8

52 837 551

79 256 326

132 093 877

Aargau

81.4

193 916 439

290 874 658

484 791 097

Thurgau

78.5

99 526 987

149 290 481

248 817 468

Tessin

96.8

6 497 496

9 746 245

16 243 741

Waadt

100.5

0

0

0

Wallis

64.8

279 117 019

418 675 528

697 792 547

Neuenburg

81.1

53 787 488

80 681 233

134 468 721

Genf

137.9

0

0

0

Jura

64.6

59 723 871

89 585 806

149 309 677

Total Kantone

100.0

1 635 691 574

2 453 537 361

4 089 228 935

Anhang 876

76 Bereinigt gemäss Ziff. II Abs. 2 der V vom 4. Nov. 2015 (AS 2015 4753), Ziff. II Abs. 4 der V vom 6. Nov. 2019 (AS 2019 3823) und Ziff. I Abs. 2 der V vom 11. Nov. 2020, in Kraft seit 1. Jan. 2021 (AS 2020 5227).

(Art. 24)

Beiträge der ressourcenstarken Kantone

1. Definition der Variablen und Parameter

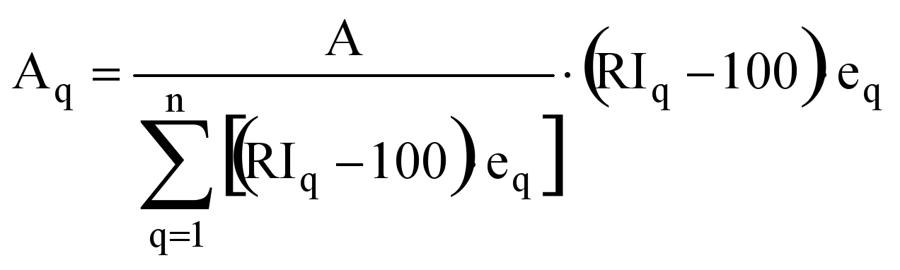
A gesamter Beitrag der ressourcenstarken Kantone

Aq Beitrag eines ressourcenstarken Kantons q

eq durchschnittliche mittlere ständige und nichtständige Wohnbevölkerung eines ressourcenstarken Kantons q in den Bemessungsjahren

RIq Ressourcenindex eines ressourcenstarken Kantons q

n Anzahl ressourcenstarke Kantone

2. Berechnung

Der Beitrag eines ressourcenstarken Kantons q berechnet sich wie folgt:

3. Kommentar zur Berechnung

Zur Festlegung des Beitrags eines ressourcenstarken Kantons q wird sein 100 Punkte übersteigender Ressourcenindex, RIq-100, mit seiner mittleren ständigen und nichtständigen Wohnbevölkerung, eq, multipliziert. Dieser Wert wird anschliessend in Beziehung gesetzt zur Summe der Werte aller n ressourcenstarken Kantone,

Daraus ergibt sich sein Anteil am gesamten Beitrag der ressourcenstarken Kantone, A.

4. Einzahlung für das Jahr 2021

Kanton

Ressourcenindex

Beiträge
in Franken

Zürich

122.4

575 469 393

Bern

80.0

0

Luzern

90.1

0

Uri

72.2

0

Schwyz

175.9

204 774 800

Obwalden

116.8

10 908 200

Nidwalden

153.7

39 680 674

Glarus

71.8

0

Zug

253.9

331 241 365

Freiburg

75.5

0

Solothurn

71.4

0

Basel-Stadt

143.4

146 298 185

Basel-Landschaft

97.8

0

Schaffhausen

93.8

0

Appenzell A.Rh.

84.8

0

Appenzell I.Rh.

94.6

0

St. Gallen

81.0

0

Graubünden

82.8

0

Aargau

81.4

0

Thurgau

78.5

0

Tessin

96.8

0

Waadt

100.5

6 225 155

Wallis

64.8

0

Neuenburg

81.1

0

Genf

137.9

321 093 802

Jura

64.6

0

Total Kantone

100.0

1 635 691 574

Anhang 977

77 Aufgehoben durch Ziff. II Abs. 1 der V vom 6. Nov. 2019, mit Wirkung seit 1. Jan. 2020 (AS 2019 3823).

Anhang 1078

78 Fassung gemäss Ziff. II der V vom 30. Okt. 2013, in Kraft seit 1. Jan. 2014 (AS 2013 3809).

(Art. 29)

Definition des Begriffs Hauptsiedlungsgebiet und Datenbasis

1.
Im Rahmen des geografisch-topografischen Lastenausgleichs werden als Hauptsiedlungsgebiet zusammenhängende Ortsteile mit einer Mindestbevölkerung von 200 Personen bezeichnet.
2.
Datenbasis für die Bestimmung des Hauptsiedlungsgebiets sind die Hektardaten der Volkszählung.
3.
Als zusammenhängende Ortsteile werden aneinandergrenzende bewohnte Hektaren bezeichnet.

Anhang 1179

79 Aufgehoben durch Ziff. II Abs. 3 der V vom 4. Nov. 2015, mit Wirkung seit 1. Jan. 2016 (AS 2015 4753).

Anhang 1280

80 Fassung gemäss Ziff. I Abs. 1 der V vom 11. Nov. 2020, in Kraft seit 1. Jan. 2021 (AS 2020 5227).

(Art. 33)

Geografisch-topografischer Lastenausgleich: Ausgleichszahlungen 2021

Kanton

Ausgleichsbeträge in Franken

Siedlungshöhe

Steilheit des
Geländes

Siedlungsstruktur

Geringe Bevölkerungsdichte

Total

Zürich

0

0

0

0

0

Bern

1 915 836

1 335 048

20 990 875

4 008 543

28 250 302

Luzern

0

0

6 080 440

0

6 080 440

Uri

516 740

5 660 841

1 680 667

3 759 198

11 617 446

Schwyz

2 498 233

2 095 068

1 721 808

577 929

6 893 039

Obwalden

488 138

2 833 873

1 431 662

1 284 699

6 038 372

Nidwalden

0

525 985

506 794

279 882

1 312 660

Glarus

0

3 276 073

5 292

2 045 700

5 327 066

Zug

0

0

0

0

0

Freiburg

1 925 361

0

6 114 145

546 480

8 585 987

Solothurn

0

0

0

0

0

Basel-Stadt

0

0

0

0

0

Basel-Landschaft

0

0

0

0

0

Schaffhausen

0

0

0

0

0

Appenzell A.Rh.

17 520 513

191 768

2 097 902

0

19 810 183

Appenzell I.Rh.

5 219 242

371 065

2 692 792

394 400

8 677 499

St. Gallen

0

0

1 747 994

0

1 747 994

Graubünden

39 175 414

62 370 082

9 407 517

25 659 240

136 612 252

Aargau

0

0

0

0

0

Thurgau

0

0

3 561 208

0

3 561 208

Tessin

0

9 985 263

0

4 611 639

14 596 903

Waadt

59 131

0

0

0

59 131

Wallis

28 950 969

29 392 147

551 738

14 868 884

73 763 738

Neuenburg

20 914 979

2 073 252

5 112

0

22 993 344

Genf

0

0

0

0

0

Jura

925 909

0

1 459 287

2 018 640

4 403 835

Total Kantone

120 110 466

120 110 466

60 055 233

60 055 233

360 331 399

Anhang 1381

81 Bereinigt gemäss Ziff. II Abs. 2 der V vom 4. Nov. 2015 (AS 2015 4753), Ziff. II Abs. 4 der V vom 6. Nov. 2019 (AS 2019 3823) und Ziff. I Abs. 2 der V vom 11. Nov. 2020, in Kraft seit 1. Jan. 2021 (AS 2020 5227).

(Art. 35)

Massgebende Sonderlasten aufgrund der Bevölkerungsstruktur

Berechnung des Lastenindex

a) Variablen und Parameter:

Teilindikator «Armut» des Kantons k

Teilindikator «Altersstruktur» des Kantons k

Teilindikator «Ausländerintegration» des Kantons k

Mittelwert der Teilindikatoren «Armut» der Kantone

Mittelwert der Teilindikatoren «Altersstruktur» der Kantone

Mittelwert der Teilindikatoren «Ausländerintegration» der Kantone

Standardabweichung der Teilindikatoren «Armut» der Kantone

Standardabweichung der Teilindikatoren «Altersstruktur» der Kantone

Standardabweichung der Teilindikatoren «Ausländerintegration» der Kantone

Standardisierter Teilindikator «Armut» des Kantons k

Standardisierter Teilindikator «Altersstruktur» des Kantons k

Standardisierter Teilindikator «Ausländerintegration» des Kantons k

Gewicht für den standardisierten Teilindikator «Armut»

Gewicht für den standardisierten Teilindikator «Altersstruktur»

Gewicht für den standardisierten Teilindikator «Ausländerintegration»

Lastenindex für Sonderlasten der Bevölkerungsstruktur des Kantons k

b) Die standardisierten Teilindikatoren werden wie folgt berechnet:

,

,

.

Die Standardisierung erfolgt, indem die Abweichungen der Teilindikatoren zum jeweiligen Schweizer Mittelwert mit der Standardabweichung dividiert werden.

c) Der Lastenindex für Sonderlasten der Bevölkerungsstruktur eines Kantons k berechnet sich wie folgt:

d) Die Gewichte werden mit Hilfe einer Hauptkomponentenanalyse berechnet. Für die Gewichte gilt deshalb:

,

mit

µLS Vektor der Gewichte

λZS höchster Eigenwert der Korrelationsmatrix der standardisierten Teilindi­katoren

xZS Eigenvektor des Eigenwerts λZS

e) Gewichte für das Jahr 2021:

μZSA

0.56

μZSS

0.18

μZSI

0.48

Anhang 1482

82 Bereinigt gemäss Ziff. II Abs. 2 der V vom 4. Nov. 2015 (AS 2015 4753), Ziff. II Abs. 4 der V vom 6. Nov. 2019 (AS 2019 3823) und Ziff. I Abs. 2 der V vom 11. Nov. 2020, in Kraft seit 1. Jan. 2021 (AS 2020 5227).

(Art. 37)

Massgebende Sonderlasten der Kernstädte

1. Berechnung des Lastenindex der Gemeinden

a) Variablen und Parameter:

Teilindikator «Gemeindegrösse» der Gemeinde g

Teilindikator «Siedlungsdichte» der Gemeinde g

Teilindikator «Beschäftigungsquote» der Gemeinde g

Mittelwert der Teilindikatoren «Gemeindegrösse» der Gemeinden

Mittelwert der Teilindikatoren «Siedlungsdichte» der Gemeinden

Mittelwert der Teilindikatoren «Beschäftigungsquote» der Gemeinden

Standardabweichung der Teilindikatoren «Gemeindegrösse» der
Gemeinden

Standardabweichung der Teilindikatoren «Siedlungsdichte» der Gemeinden

Standardabweichung der Teilindikatoren «Beschäftigungsquote» der Gemeinden

Standardisierter Teilindikator «Gemeindegrösse» der Gemeinde g

Standardisierter Teilindikator «Siedlungsdichte» der Gemeinde g

Standardisierter Teilindikator «Beschäftigungsquote» der Gemeinde g

Gewicht für den standardisierten Teilindikator «Gemeindegrösse»

Gewicht für den standardisierten Teilindikator «Siedlungsdichte»

Gewicht für den standardisierten Teilindikator «Beschäftigungsquote»

Lastenindex für Sonderlasten der Kernstädte für Gemeinde g

b) Die standardisierten Teilindikatoren werden wie folgt berechnet:

,

,

.

Die Standardisierung erfolgt, indem die Abweichungen der Teilindikatoren zum jeweiligen Schweizer Mittelwert mit der Standardabweichung dividiert werden.

c) Der Lastenindex für Sonderlasten der Kernstädte einer Gemeinde berechnet sich wie folgt:

d) Die Gewichte werden mit Hilfe einer Hauptkomponentenanalyse berechnet. Für die Gewichte gilt deshalb:

,

mit

µZF Vektor der Gewichte

λZF höchster Eigenwert der Korrelationsmatrix der standardisierten Teilindi­katoren

xZF Eigenvektor des Eigenwerts λZF

e) Gewichte für das Jahr 2021:

µZFG

0.47

µZFS

0.49

µZFB

0.34

2. Berechnung des Lastenindex der Kantone

a) Variablen und Parameter:

LFg,k Lastenindex für Sonderlasten der Kernstädte für Gemeinde g im Kanton k

LFk Lastenindex für Sonderlasten der Kernstädte für Kanton k

eg,k Ständige Wohnbevölkerung der Gemeinde g im Kanton k

ek Ständige Wohnbevölkerung des Kantons k

Gk Anzahl Gemeinden im Kanton k

b) Berechnung:

Der Lastenindex eines Kantons ist der mit der Bevölkerung gewichtete Durchschnitt der Lastenindizes seiner Gemeinden. Er ist somit gegeben durch die Summe der mit der ständigen Wohnbevölkerung multiplizierten Lastenindizes der Gemeinden im Kanton, dividiert durch die ständige Wohnbevölkerung des Kantons:

Anhang 1583

83 Fassung gemäss Ziff. I Abs. 1 der V vom 11. Nov. 2020, in Kraft seit 1. Jan. 2021 (AS 2020 5227).

(Art. 40)

Soziodemografischer Lastenausgleich: Ausgleichszahlungen 2021


Kanton

Ausgleichsbeträge in Franken

Sonderlasten der
Bevölkerungsstruktur

Sonderlasten
der Kernstädte

Total

Zürich

7 854 095

81 763 872

89 617 967

Bern

4 030 483

0

4 030 483

Luzern

0

0

0

Uri

0

0

0

Schwyz

0

0

0

Obwalden

0

0

0

Nidwalden

0

0

0

Glarus

0

0

0

Zug

463 744

0

463 744

Freiburg

0

0

0

Solothurn

7 372 205

0

7 372 205

Basel-Stadt

41 775 402

21 414 421

63 189 823

Basel-Landschaft

0

0

0

Schaffhausen

1 197 608

0

1 197 608

Appenzell A.Rh.

0

0

0

Appenzell I.Rh.

0

0

0

St. Gallen

0

0

0

Graubünden

0

0

0

Aargau

0

0

0

Thurgau

0

0

0

Tessin

11 049 092

0

11 049 092

Waadt

96 582 070

4 445 114

101 027 184

Wallis

11 274 094

0

11 274 094

Neuenburg

14 735 852

0

14 735 852

Genf

97 026 920

39 153 726

136 180 646

Jura

192 701

0

192 701

Total Kantone

293 554 266

146 777 133

440 331 399

Anhang 1684

84 Bereinigt gemäss Ziff. III der V vom 16. Nov. 2011, in Kraft seit 1. Jan. 2012 (AS 2011 5823).

(Art. 42)

Schätzung des Ressourcenpotenzials bei fehlenden oder nicht weiterverwertbaren Daten


Bei fehlenden oder nicht weiterverwertbaren Daten werden die Bestandteile des Ressourcenpotenzials geschätzt. Zur Bestimmung der Koeffizienten der Schätzglei­chungen werden Regressionsanalysen mit den Daten der korrekt liefernden Kantone durchgeführt. Als Ersatzwert für fehlende Daten ab dem Bemessungsjahr 2003 wird die obere Grenze des 95 % Vertrauensintervalls verwendet. Als Ersatzwert für fehlende Daten der Globalbilanz (Bemessungsjahre 1998–2001) wird der Schätzwert verwendet. Die Koeffizienten für die Bemessungsjahre der Globalbilanz für das massgebende quellenbesteuerte Einkommen, das massgebende Vermögen sowie die massgebenden Gewinne der juristischen Personen werden auf der Basis des Mittel­werts der Daten der Jahre 2003 und 2004 berechnet.

1. Variablen

MEk,t Massgebendes Einkommen der natürlichen Personen pro Einwohner des Kantons k im Bemessungsjahr t

GMEt Wachstumsrate des massgebenden Einkommens pro Einwohner der
gesamten Schweiz im Jahr t

RMk,T Verhältnis zwischen massgebendem quellenbesteuertem Einkommen und massgebendem Einkommen der natürlichen Personen des Kantons k im Bemessungsjahr T

EAk,T Anzahl der Aufenthalter (inklusive Kurzaufenthalter >12 Monate) des Kantons k im Bemessungsjahr T

EKk,T Anzahl der Kurzaufenthalter (<12 Monate oder Saisonniers) des Kantons k im Bemessungsjahr T

ECHk,T Anzahl der Schweizer Einwohner der ständigen Wohnbevölkerung des Kantons k im Bemessungsjahr T

ENk,T Anzahl der niedergelassenen Ausländer des Kantons k im Bemessungsjahr T

Gewichtung der Bruttoeinkommen von Grenzgängern aus dem Nachbar­staat X des Kantons k im Bemessungsjahr T gemäss Anhang 3

Bruttoeinkommen von Grenzgängern aus dem Nachbarstaat X des Kantons k im Bemessungsjahr T gemäss Anhang 3

RVk,T Reinvermögen pro Einwohner des Kantons k im Bemessungsjahr T

EVk,T Ertrag der Vermögenssteuer pro Einwohner des Kantons k im
Bemessungsjahr T

tvk,T Durchschnittliche Vermögenssteuerbelastung des Kantons k im
Bemessungsjahr T

GKk,T Summe der vollständig besteuerten Gewinne der juristischen Personen pro Einwohner des Kantons k im Bemessungsjahr T

EJPk,T Ertrag der Gewinnsteuer pro Einwohner des Kantons k im Bemessungs­jahr T

GDBk,T Gewinne gemäss direkter Bundessteuer (nach Beteiligungsabzug) pro Einwohner des Kantons k im Bemessungsjahr T

Faktor Beta des Gesellschaftstyps gemischte Gesellschaft im Bemessungsjahr T gemäss Anhang 6

WGDBt Wachstumsrate der Gewinne gemäss direkter Bundessteuer der gesamten Schweiz im Jahr t

2. Zu schätzende Parameter

a Konstante

b, c, d Koeffizienten für die unabhängigen Variablen

vk Zeitkonstante (strukturelle) kantonale Effekte (fixe Effekte) bei Schätz­gleichungen, die Daten aus mehreren Zeitperioden umfassen («Panel»-Daten)

uk,t Residuen (Schätzfehler)

3. Schätzgleichungen:

Fall

Bestandteil
Ressourcenpotenzial

Regressionsgleichung zur Bestimmung der Koeffizienten

1

Massgebendes
Einkommen
natürliche
Personen

für

2

Massgebende
quellenbesteuerte
Einkommen

mit

3

Massgebendes
Vermögen
natürliche
Personen

mit

4

Massgebende
Gewinne
juristische
Personen

Schritt 1:

mit

Schritt 2:

5

Gewinne
gemäss direkter
Bundessteuer

für

Anhang 1785

85 Bereinigt gemäss Ziff. II Abs. 4 der V vom 6. Nov. 2019, in Kraft seit 1. Jan. 2020 (AS 2019 3823).

(Art. 46)

Wirksamkeitsbericht

Kriterien und Messgrössen zur Beurteilung der Wirksamkeit

Verhältnis zwischen zweckgebundenen und zweckfreien Transferzahlungen des Bundes an die Kantone
Transferzahlungen der Kantone an den Bund
Verhältnis zwischen Kostenbeiträgen und Pauschal- und Globalbeiträgen
Unterschiede beim Ressourcenpotenzial pro Einwohner der Kantone
Unterschiede beim standardisierten Steuerertrag pro Einwohnerin und Einwoh­ner der Kantone vor und nach erfolgtem Ressourcenausgleich
Standardisierter Steuerertrag pro Einwohnerin und Einwohner des ressourcen­schwächsten Kantons im Verhältnis zum Schweizer Mittelwert vor und nach erfolgtem Ressourcenausgleich
Höhe des Freibetrags zur Berechnung der massgebenden Einkommen der natürlichen Personen
Sonderlasten pro Einwohnerin und Einwohner
Verhältnis zwischen Lastenausgleich und Sonderlasten
Einnahmen, Ausgaben und Schulden der Kantone
Unterschiede in der Steuerbelastung
Staats- und Fiskalquoten der Kantone und Gemeinden im nationalen und inter­nationalen Vergleich
Steuererleichterungen aufgrund des Bundesgesetzes vom 6. Oktober 199586 zugunsten wirtschaftlicher Erneuerungsgebiete («Lex Bonny»)
Zu- und Abwanderungen von Steuerpflichtigen im nationalen und inter­natio­nalen Verhältnis
Effektive Grenz- und Durchschnittssteuerbelastungen der Kantone im nationa­len und internationalen Vergleich
Anzahl Gesellschaften mit ermässigter Besteuerung von Gewinnen aus Patenten und vergleichbaren Rechten nach Artikel 24b Absatz 1 StHG87
Interdependenz zwischen Steuerbelastung in einem Kanton und dem Immobi­lienmarkt in diesem Kanton
Auswirkungen wichtiger fiskalpolitischer Entscheide auf andere Kantone
Auswirkungen des Härteausgleichs auf die standardisierten Steuererträge der Kantone
Entwicklung des Volumens der interkantonalen Lastenausgleichszahlungen und Anteil der Abgeltung der Spillovers

86 [AS 1996 1918, 2001 1911, 2006 2197 Anhang Ziff. 144 4301. AS 2007 681 Anhang Ziff. I 4]. Siehe heute: das BG vom 6. Okt. 2006 über die Regionalpolitik (SR 901.0).

87 SR 642.14

Anhang 1888

88 Bereinigt gemäss Ziff. I 2 der V vom 15. Nov. 2017 (AS 2017 6287), Ziff. II Abs. 4 der V vom 6. Nov. 2019 (AS 2019 3823) und Ziff. I Abs. 2 der V vom 11. Nov. 2020, in Kraft seit 1. Jan. 2021 (AS 2020 5227).

(Art. 56)

Härteausgleich

1. Variablen und Parameter

gwk

Grenzwert für die zu erreichende Mindestentlastung eines Kantons in Prozent des standardisierten Steuerertrags des Kantons k

ε

Faktor zur Bestimmung der mit dem Härteausgleich angestrebten
Entlastung in Abhängigkeit des Ressourcenindex

Standardisierter Steuerertrag des Kantons k des Jahres 2004

Standardisierter Steuerertrag des Kantons k des Jahres 2005

Ressourcenindex des Kantons k des Jahres 2004

Ressourcenindex des Kantons k des Jahres 2005

Nettoergebnis des Kantons k in der Globalbilanz 2004 (positive Werte: Belastung, negative Werte: Entlastung)

Nettoergebnis des Kantons k in der Globalbilanz 2005 (positive Werte: Belastung, negative Werte: Entlastung)

nesk

Nettoergebnis des Kantons k in Prozent des standardisierten Steuerertrags des Kantons k (positive Werte: Belastung, negative Werte: Entlastung)

HAk

Anfangsbeitrag aus dem Härteausgleich für den Kanton k

2. Grenzwert für den Bezug von Härteausgleich

Der Grenzwert für den Bezug von Härteausgleich berechnet sich wie folgt:

Der Grenzwert eines Kantons berechnet sich durch die Multiplikation des Faktors Epsilon, , mit der durchschnittlichen Abweichung des Ressourcenindex des Kan­tons vom Schweizer Durchschnitt in den Jahren 2004 und 2005. Negative Werte bedeuten eine Entlastung, positive Werte eine Belastung. Aus der Formel ergibt sich, dass der Grenzwert für einen durchschnittlich ressourcenschwachen Kanton negativ ist, d.h. dass eine Entlastung angestrebt wird.

3. Nettoergebnis in Prozent des standardisierten Steuerertrags

Das Nettoergebnis der Globalbilanz eines Kantons in Prozent des standardisierten Steuerertrags wird wie folgt berechnet:

Negative Werte bedeuten eine Nettoentlastung, positive Werte eine Nettobelastung.

4. Anfangsbeitrag aus dem Härteausgleich

Der Anfangsbeitrag eines Kantons k aus dem Härteausgleich richtet sich nach fol­gender Tabelle:

Bedingungen (wenn ...,)

Härteausgleich (... dann)

HAk = 0

nesk ≤ gwk

HAk = 0

nesk > gwk

Bedingung 1: Ist der durchschnittliche Ressourcenindex in den Jahren 2004 und 2005 grösser als der Schweizer Durchschnitt,

,

so erhält der Kanton keinen Härteausgleich.

Bedingung 2: Ist der durchschnittliche Ressourcenindex in den Jahren 2004 und 2005 kleiner als der Schweizer Durchschnitt,

,

so muss zwischen zwei Fällen unterschieden werden:

Fall 2a: Ist das Nettoergebnis der Globalbilanz in Prozent des standardisierten Steuerertrags kleiner als der Grenzwert (d.h. ist die Nettoentlastung grösser als die angestrebte Entlastung), so erhält der Kanton keinen Härteausgleich.

all 2b: Ist das Nettoergebnis der Globalbilanz in Prozent des standardisierten Steuer­ertrags grösser als der Grenzwert (d.h. ist die Nettoentlastung kleiner als die ange­strebte Entlastung oder weist der Kanton eine Nettobelastung auf), so erhält der Kanton Härteausgleich in der Höhe der Differenz zwischen dem Nettoergebnis und dem Grenzwert, multipliziert mit seinem durchschnittlichen standardisierten Steuer­ertrag in den Jahren 2004 und 2005:

5. Bestimmung des Faktors Epsilon

Der Faktor wird so bestimmt, dass die Summe aller Ausgleichszahlungen für die h im Härteausgleich anspruchsberechtigten Kantone z gleich dem für den Härteaus­gleich zur Verfügung stehenden Gesamtbetrag H entspricht:

.

Mit z werden jene ressourcenschwachen Kantone bezeichnet, welche Anspruch auf Härteausgleich haben, d.h. alle Kantone k, für welche das Nettoergebnis in Prozent des standardisierten Steuerertrags einen höheren Wert aufweist als der Grenzwert:

.

Der Faktor und die Kantone z werden mit einem Iterationsverfahren bestimmt.

6. Beiträge auf der Basis der Globalbilanz 2004/2005

+ = Belastung; – = Entlastung des Kantone

Kanton

Durch­schnittlicher Ressourcen­index
2004/05

Grenzwert für
den Bezug von Härteausgleich
(in Prozent der standardisierten Steuererträge)

Nettoergebnis
der Globalbilanz 2004/05
(in Prozent der standardisierten Steuererträge)

Differenz zwischen
Nettoergebnis
der Globalbilanz
und Grenzwert
(in Prozent der standardisierten Steuererträge)

Ausgleichsbetrag
in Franken

Zürich

132.1

0.0 %

0.9 %

0.9 %

0

Bern

74.0

–1.9 %

–0.8 %

1.1 %

52 134 660

Luzern

77.0

–1.7 %

–0.4 %

1.3 %

23 692 069

Uri

67.0

–2.4 %

–15.1 %

–12.7 %

0

Schwyz

135.6

0.0 %

3.9 %

3.9 %

0

Obwalden

67.0

–2.4 %

3.8 %

6.2 %

9 441 566

Nidwalden

124.6

0.0 %

0.2 %

0.2 %

0

Glarus

96.1

–0.3 %

2.9 %

3.1 %

8 168 757

Zug

204.0

0.0 %

6.8 %

6.8 %

0

Freiburg

74.9

–1.8 %

9.1 %

11.0 %

137 280 030

Solothurn

75.8

–1.8 %

–6.8 %

–5.1 %

0

Basel-Stadt

148.6

0.0 %

0.0 %

0.0 %

0

Basel-Landschaft

110.2

0.0 %

0.4 %

0.4 %

0

Schaffhausen

92.9

–0.5 %

0.9 %

1.4 %

6 640 279

Appenzell A.Rh.

79.8

–1.5 %

–3.3 %

–1.8 %

0

Appenzell I.Rh.

82.7

–1.3 %

–6.1 %

–4.8 %

0

St. Gallen

77.0

–1.7 %

–7.4 %

–5.7 %

0

Graubünden

84.9

–1.1 %

–1.3 %

–0.2 %

0

Aargau

87.8

–0.9 %

–4.4 %

–3.5 %

0

Thurgau

76.5

–1.7 %

–5.3 %

–3.6 %

0

Tessin

102.8

0.0 %

0.2 %

0.2 %

0

Waadt

96.7

–0.2 %

1.3 %

1.5 %

64 876 643

Wallis

61.6

–2.8 %

–4.5 %

–1.7 %

0

Neuenburg

91.0

–0.7 %

9.5 %

10.2 %

108 832 726

Genf

155.4

0.0 %

1.9 %

1.9 %

0

Jura

66.5

–2.4 %

3.7 %

6.1 %

19 387 554

Total Kantone

100.0

430 454 285

7. Beiträge für das Jahr 2021: Bereinigung der Anspruchsberechtigung aufgrund des Ressourcenindex 2021

+  = Belastung Kanton;     –  = Entlastung Kanton

Kanton

Ressourcen-
index

Bereinigter Härteausgleich in Franken

Auszahlung

Einzahlung

Saldo

Zürich

122.4

0

13 802 904

13 802 904

Bern

80.0

–36 494 262

10 769 742

–25 724 520

Luzern

90.1

–16 584 448

3 904 859

–12 679 589

Uri

72.2

0

391 432

391 432

Schwyz

175.9

0

1 445 061

1 445 061

Obwalden

116.8

0

363 659

363 659

Nidwalden

153.7

0

417 103

417 103

Glarus

71.8

–5 718 130

433 285

–5 284 845

Zug

253.9

0

1 109 573

1 109 573

Freiburg

75.5

–96 096 021

2 681 244

–93 414 777

Solothurn

71.4

0

2 742 735

2 742 735

Basel-Stadt

143.4

0

2 175 913

2 175 913

Basel-Landschaft

97.8

0

2 906 464

2 906 464

Schaffhausen

93.8

0

828 469

828 469

Appenzell A.Rh.

84.8

0

603 625

603 625

Appenzell I.Rh.

94.6

0

165 440

165 440

St. Gallen

81.0

0

5 069 658

5 069 658

Graubünden

82.8

0

2 132 005

2 132 005

Aargau

81.4

0

6 111 751

6 111 751

Thurgau

78.5

0

2 571 458

2 571 458

Tessin

96.8

0

3 470 901

3 470 901

Waadt

100.5

0

7 102 171

7 102 171

Wallis

64.8

0

3 086 846

3 086 846

Neuenburg

81.1

–76 182 909

1 883 924

–74 298 985

Genf

137.9

0

4 615 464

4 615 464

Jura

64.6

–13 571 288

763 333

–12 807 955

Total Kantone

100.0

–244 647 058

81 549 019

–163 098 039

Anhang 1989

89 Eingefügt durch Ziff. II Abs. 2 der V vom 6. Nov. 2019 (AS 2019 3823). Bereinigt gemäss Ziff. I Abs. 2 der V vom 11. Nov. 2020, in Kraft seit 1. Jan. 2021 (AS 2020 5227).

(Art. 56a)

Temporäre Abfederungsmassnahmen

1. Berechnung der Ausgleichszahlungen

1.1 Beitragsberechtigt sind alle Kantone, welche in den Jahren 2021 bis zum aktuellen Referenzjahr nie einen Ressourcenindex ≥ 100 Punkten erreicht haben.

1.2 Alle beitragsberechtigten Kantone erhalten in den Jahren 2021–2025 einen einheitlichen Beitrag pro Einwohnerin und Einwohner. Dieser Beitrag wird so berechnet, dass die Gesamtsumme den Mitteln nach Artikel 19c Absatz 2
FiLaG entspricht.

2. Beiträge für das Jahr 2021

Kanton

Massgebende
Bevölkerung

Abfederungsmassnahme in Franken

Zürich

0

0

Bern

1 028 768

16 050 271

Luzern

404 324

6 308 039

Uri

36 563

570 431

Schwyz

0

0

Obwalden

0

0

Nidwalden

0

0

Glarus

40 522

632 205

Zug

0

0

Freiburg

311 554

4 860 694

Solothurn

270 113

4 214 152

Basel-Stadt

0

0

Basel-Landschaft

285 917

4 460 712

Schaffhausen

81 300

1 268 395

Appenzell A.Rh.

54 940

857 144

Appenzell I.Rh.

16 086

250 962

St. Gallen

504 132

7 865 188

Graubünden

204 900

3 196 737

Aargau

664 316

10 364 294

Thurgau

270 964

4 227 424

Tessin

355 527

5 546 729

Waadt

0

0

Wallis

345 046

5 383 216

Neuenburg

179 497

2 800 411

Genf

0

0

Jura

73 262

1 142 996

Total Kantone

5 127 728

80 000 000