Art. 1 Zweck
Diese Verordnung soll Menschen vor schädlicher oder lästiger nichtionisierender Strahlung schützen.
814.710
vom 23. Dezember 1999 (Stand am 1. Juni 2019)
Der Schweizerische Bundesrat,
gestützt auf die Artikel 12 Absatz 2, 13 Absatz 1, 16 Absatz 2, 38 Absatz 3
und 39 Absatz 1 des Umweltschutzgesetzes vom 7. Oktober 19831 (Gesetz)
und auf Artikel 3 des Raumplanungsgesetzes vom 22. Juni 19792,
verordnet:
1 SR 814.01
2 SR 700
Diese Verordnung soll Menschen vor schädlicher oder lästiger nichtionisierender Strahlung schützen.
1 Diese Verordnung regelt:
2 Sie regelt nicht die Begrenzung der Emissionen von Strahlung, die erzeugt werden:
3 Sie regelt auch nicht die Begrenzung der Einwirkungen von Strahlung auf elektrische oder elektronische medizinische Lebenshilfen wie Herzschrittmacher.
3 [AS 1996 987 1868, 1998 1496 Ziff. I, II. AS 2001 3487 Art. 28 Bst. a]. Siehe heute: die V vom 17. Okt. 2001 (SR 812.213).
1 Anlagen gelten als alt, wenn der Entscheid, der die Bauarbeiten oder die Aufnahme des Betriebs ermöglicht, bei Inkrafttreten dieser Verordnung rechtskräftig war. Anlagen nach Anhang 1 Ziffer 1, die mehrere Leitungen umfassen, gelten als alt, wenn mindestens eine Leitung bei Inkrafttreten dieser Verordnung rechtskräftig bewilligt war. 4
2 Anlagen gelten als neu, wenn sie:
3 Als Orte mit empfindlicher Nutzung gelten:
4 Technisch und betrieblich möglich sind Massnahmen zur Emissionsbegrenzung, die:
5 Wirtschaftlich tragbar sind Massnahmen zur Emissionsbegrenzung, die für einen mittleren und wirtschaftlich gesunden Betrieb der betreffenden Branche zumutbar sind. Gibt es in einer Branche sehr unterschiedliche Klassen von Betriebsgrössen, so ist von einem mittleren Betrieb der entsprechenden Klasse auszugehen.
6 Der Anlagegrenzwert ist eine Emissionsbegrenzung für die von einer Anlage allein erzeugte Strahlung.
7 Berührungsstrom ist der elektrische Strom, der fliesst, wenn ein Mensch ein nicht mit einer Spannungsquelle verbundenes, leitfähiges Objekt berührt, das durch ein elektrisches oder magnetisches Feld aufgeladen wird.
8 Körperableitstrom7 ist der elektrische Strom, der von einem in einem elektrischen Feld stehenden Menschen gegen die Erde abfliesst, ohne dass ein leitfähiges Objekt berührt wird.
9 Die äquivalente Strahlungsleistung (ERP) ist die einer Antenne zugeführte Sendeleistung, multipliziert mit dem Antennengewinn in Hauptstrahlrichtung, bezogen auf den Halbwellendipol.
4 Fassung gemäss Ziff. I der V vom 23. März 2016, in Kraft seit 1. Juli 2016 (AS 2016 1135).
5 Fassung gemäss Ziff. I der V vom 23. März 2016, in Kraft seit 1. Juli 2016 (AS 2016 1135).
6 Fassung gemäss Ziff. I der V vom 1. Juli 2009, in Kraft seit 1. Sept. 2009 (AS 2009 3565).
7 Ausdruck gemäss Ziff. I der V vom 23. März 2016, in Kraft seit 1. Juli 2016 (AS 2016 1135). Diese Änd. wurde im ganzen Erlass berücksichtigt.
1 Anlagen müssen so erstellt und betrieben werden, dass sie die in Anhang 1 festgelegten vorsorglichen Emissionsbegrenzungen einhalten.
2 Bei Anlagen, für die Anhang 1 keine Vorschriften enthält, ordnet die Behörde Emissionsbegrenzungen so weit an, als dies technisch und betrieblich möglich und wirtschaftlich tragbar ist.
1 Steht fest oder ist zu erwarten, dass ein oder mehrere Immissionsgrenzwerte nach Anhang 2 durch eine einzelne Anlage allein oder durch mehrere Anlagen zusammen überschritten werden, so ordnet die Behörde ergänzende oder verschärfte Emissionsbegrenzungen an.
2 Sie ordnet ergänzende oder verschärfte Emissionsbegrenzungen so weit an, bis die Immissionsgrenzwerte eingehalten werden.
3 Steht fest oder ist zu erwarten, dass der Immissionsgrenzwert nach Anhang 2 Ziffer 13 oder 225 für den Berührungsstrom beim Kontakt mit leitfähigen Objekten überschritten wird, so ordnet die Behörde in erster Linie Massnahmen an diesen Objekten an.
Wird eine neue Anlage nach ihrer Inbetriebnahme im Sinne von Anhang 1 geändert, so gelten die Vorschriften über die Emissionsbegrenzung bei neuen Anlagen.
1 Die Behörde sorgt dafür, dass alte Anlagen, die den Anforderungen der Artikel 4 und 5 nicht entsprechen, saniert werden.
2 Sie erlässt die erforderlichen Verfügungen und legt darin die Sanierungsfrist nach Artikel 8 fest. Notfalls verfügt sie für die Dauer der Sanierung Betriebseinschränkungen oder die Stilllegung der Anlage.
3 Auf die Sanierung kann verzichtet werden, wenn sich der Inhaber verpflichtet, die Anlage innert der Sanierungsfrist stillzulegen.
1 Die Frist für die Durchführung der vorsorglichen Emissionsbegrenzungen richtet sich nach den Vorschriften von Anhang 1. Enthält Anhang 1 keine Vorschriften, so gilt eine Frist von höchstens fünf Jahren. Die Behörde kann die Frist auf Gesuch hin um höchstens die Hälfte verlängern, wenn die Durchführung der Emissionsbegrenzungen innerhalb der ordentlichen Frist wirtschaftlich nicht tragbar wäre.
2 Für die ergänzenden oder verschärften Emissionsbegrenzungen beträgt die Sanierungsfrist höchstens drei Jahre. Die Behörde legt kürzere Fristen fest, mindestens aber drei Monate, wenn die Massnahmen ohne erhebliche Investitionen durchgeführt werden können.
Wird eine alte Anlage im Sinne von Anhang 1 geändert, so gelten die Vorschriften über die Emissionsbegrenzung bei neuen Anlagen, soweit Anhang 1 keine abweichenden Vorschriften enthält.
8 Fassung gemäss Ziff. I der V vom 23. März 2016, in Kraft seit 1. Juli 2016 (AS 2016 1135).
Der Inhaber einer Anlage ist verpflichtet, der Behörde auf Verlangen die für den Vollzug erforderlichen Auskünfte, namentlich Angaben nach Artikel 11 Absatz 2, zu erteilen. Nötigenfalls hat er Messungen oder andere Abklärungen durchzuführen oder zu dulden.
1 Der Inhaber einer Anlage, für die Anhang 1 Emissionsbegrenzungen festlegt, muss der für die Bewilligung zuständigen Behörde ein Standortdatenblatt einreichen, bevor die Anlage neu erstellt, an einen andern Standort verlegt, am bestehenden Standort ersetzt oder im Sinne von Anhang 1 geändert wird. Ausgenommen sind elektrische Hausinstallationen (Anh. 1 Ziff. 4).9
2 Das Standortdatenblatt muss enthalten:
9 Fassung gemäss Ziff. I der V vom 1. Juli 2009, in Kraft seit 1. Sept. 2009 (AS 2009 3565).
1 Die Behörde überwacht die Einhaltung der Emissionsbegrenzungen.
2 Zur Kontrolle der Einhaltung des Anlagegrenzwertes nach Anhang 1 führt sie Messungen oder Berechnungen durch, lässt solche durchführen oder stützt sich auf die Ermittlungen Dritter. Das Bundesamt für Umwelt (BAFU)10 empfiehlt geeignete Mess- und Berechnungsmethoden.
3 Wird wegen gewährter Ausnahmen der Anlagegrenzwert nach Anhang 1 bei neuen oder geänderten Anlagen überschritten, so misst die Behörde periodisch die von diesen Anlagen erzeugte Strahlung oder lässt diese messen. Sie kontrolliert innert sechs Monaten nach der Inbetriebnahme, ob:
10 Die Bezeichnung der Verwaltungseinheit wurde in Anwendung von Art. 16 Abs. 3 der Publikationsverordnung vom 17. Nov. 2004 (AS 2004 4937) angepasst. Die Anpassung wurde im ganzen Text vorgenommen.
1 Die Immissionsgrenzwerte nach Anhang 2 müssen überall eingehalten sein, wo sich Menschen aufhalten können.
2 Sie gelten nur für Strahlung, die gleichmässig auf den ganzen menschlichen Körper einwirkt.
1 Die Behörde ermittelt die Immissionen, wenn Grund zur Annahme besteht, dass Immissionsgrenzwerte nach Anhang 2 überschritten sind.
2 Sie führt dazu Messungen oder Berechnungen durch, lässt solche durchführen oder stützt sich auf die Ermittlungen Dritter. Das BAFU empfiehlt geeignete Mess- und Berechnungsmethoden.
3 Bei der Ermittlung der Strahlung in Betriebsräumen werden Immissionen aus betriebseigenen Quellen nicht berücksichtigt.
4 Die Immissionen werden als elektrische Feldstärke, magnetische Feldstärke, magnetische Flussdichte, Körperableitstrom oder Berührungsstrom für denjenigen Betriebszustand der Anlage ermittelt, bei dem sie am höchsten sind.
5 Soweit in Anhang 2 eine Mittelungsdauer festgelegt ist, werden die Immissionen während der Mittelungsdauer quadratisch gemittelt; andernfalls ist der höchste Effektivwert massgebend.
Die Behörde beurteilt, ob die Immissionen einen oder mehrere Immissionsgrenzwerte nach Anhang 2 überschreiten.
Bauzonen dürfen nur dort ausgeschieden werden, wo die Anlagegrenzwerte nach Anhang 1 von bestehenden und raumplanungsrechtlich festgesetzten geplanten Anlagen eingehalten sind oder mit planerischen oder baulichen Massnahmen eingehalten werden können.
Die Kantone vollziehen diese Verordnung unter Vorbehalt von Artikel 18.
Wenden Bundesbehörden andere Bundesgesetze oder völkerrechtliche Vereinbarungen oder Beschlüsse an, die Gegenstände dieser Verordnung betreffen, so vollziehen sie dabei auch diese Verordnung. Für die Mitwirkung des BAFU und der Kantone gilt Artikel 41 Absätze 2 und 4 des Gesetzes; gesetzliche Geheimhaltungspflichten bleiben vorbehalten.
1 Tragen mehrere Anlagen zur Überschreitung von Immissionsgrenzwerten nach Anhang 2 bei und sind für den Vollzug dieser Verordnung bei diesen Anlagen verschiedene Behörden zuständig, so bezeichnen die beteiligten Behörden die für die Koordination zuständige Behörde.
2 Die koordinierende Behörde geht nach den Koordinationsgrundsätzen des Raumplanungsgesetzes vom 22. Juni 1979 vor
Das BAFU gibt die minimalen Geodatenmodelle und Darstellungsmodelle für Geobasisdaten nach dieser Verordnung vor, für die es im Anhang 1 der Geoinformationsverordnung vom 21. Mai 200812 als Fachstelle des Bundes bezeichnet ist.
11 Eingefügt durch Anhang 2 Ziff. 12 der V vom 21. Mai 2008 über Geoinformation, in Kraft seit 1. Juli 2008 (AS 2008 2809).
12 SR 510.620
1 Das BAFU veröffentlicht periodisch eine nationale Übersicht über die Belastung der Bevölkerung durch Strahlung. Es kann dazu Erhebungen durchführen. Inhaber von Anlagen sowie Behörden des Bundes und der Kantone sind verpflichtet, dem BAFU auf Anfrage die erforderlichen Auskünfte zu erteilen.
2 Das BAFU informiert periodisch über den Stand der Wissenschaft und der Erfahrung über die Auswirkungen der Strahlung von ortsfesten Anlagen auf den Menschen und die Umwelt.
13 Eingefügt durch Ziff. I der V vom 17. April 2019, in Kraft seit 1. Juni 2019 (AS 2019 1491).
14 Fassung gemäss Ziff. I der V vom 1. Juli 2009, in Kraft seit 1. Sept. 2009 (AS 2009 3565).
Diese Verordnung tritt am 1. Februar 2000 in Kraft.
15 Bereinigt gemäss Ziff. IV 34 der V vom 22. Aug. 2007 zur formellen Bereinigung des Bundesrechts (AS 2007 4477), Ziff. I der V vom 1. Juli 2009 (AS 2009 3565), Beilage 2 Ziff. II 6 der V vom 16. Nov. 2011 (AS 2011 6233), Ziff. II der V vom 23. März 2016 (AS 2016 1135) und vom 17. April 2019, in Kraft seit 1. Juni 2019 (AS 2019 1491).
(Art. 4, 6, 8 Abs. 1, 9, 11, 12 und 16)
1 Die Bestimmungen dieser Ziffer gelten für folgende Anlagen mit einer Nennspannung von mehr als 1000 V:
2 Für die Fahrleitungsanlage von Eisenbahnen gilt Ziffer 5.
1 Ein Phasenleiter ist ein einzelner, unter Spannung stehender Leiter.
2 Ein Leitungsstrang umfasst alle Phasenleiter, die zum gleichen Stromkreis gehören. Es sind dies bei Dreiphasensystemen die drei Phasenleiter L1, L2 und L3, bei Einphasensystemen die beiden Phasenleiter U und V.
3 Eine Leitung besteht aus der Gesamtheit aller Phasen- und Erdleiter einschliesslich der Tragwerke bei Freileitungen oder der baulichen Umhüllungen bei Kabelleitungen. Sie kann einen oder mehrere Leitungsstränge umfassen.
4 Eine Anlage umfasst innerhalb eines zu beurteilenden Abschnittes entweder alle Freileitungen oder alle Kabelleitungen, die in einem engen räumlichen Zusammenhang stehen, unabhängig davon, in welcher Reihenfolge sie erstellt oder geändert werden.
5 In einem engen räumlichen Zusammenhang stehen zwei Freileitungen oder zwei Kabelleitungen, wenn sich ihre Nahbereiche berühren oder überlappen.
6 Der Nahbereich einer Leitung ist der Raum, in dem die von der Leitung allein erzeugte magnetische Flussdichte den Anlagegrenzwert überschreitet. Massgebend sind die Ströme nach Ziffer 13 Absätze 2 und 3 und die optimierte Phasenbelegung bei gleichläufiger Lastflussrichtung.
7 Als Änderung einer Anlage gelten:
8 Bei einer alten Anlage, die mehrere Leitungen umfasst, gelten der Ersatz einer Leitung durch eine Leitung gleicher Technologie oder der Rückbau einer Leitung als Änderung der Anlage, wenn dabei mindestens eine Leitung, die vor dem Inkrafttreten dieser Verordnung rechtskräftig bewilligt war, bestehen bleibt.
1 Als massgebender Betriebszustand gilt der gleichzeitige Betrieb aller Leitungsstränge mit den massgebenden Strömen in der am häufigsten vorkommenden Kombination der Lastflussrichtungen.
2 Als massgebender Strom gilt:
3 Die Behörde kann in der Plangenehmigungsverfügung für den massgebenden Strom einen niedrigeren Wert als nach Absatz 2 festlegen. Dieser muss während mindestens 98 Prozent der Zeit eines Jahres eingehalten werden.
16 International Standard IEC 60287, Electric cables – Calculation of the current rating. Die in dieser Verordnung genannten technischen Normen können beim Bundesamt für Umwelt, 3003 Bern, kostenlos eingesehen oder gegen Entgelt bei Electrosuisse (www.electrosuisse.ch) bezogen werden.
Der Anlagegrenzwert für den Effektivwert der magnetischen Flussdichte beträgt 1 µT.
1 Neue Anlagen müssen im massgebenden Betriebszustand an Orten mit empfindlicher Nutzung den Anlagegrenzwert einhalten.
2 Die Behörde bewilligt Ausnahmen, wenn der Inhaber der Anlage nachweist, dass:
3 Die Massnahmen nach Absatz 2 sind so auszuführen, dass im massgebenden Betriebszustand das Ausmass der Überschreitung des Anlagegrenzwerts minimiert wird.
1 Überschreitet die von einer alten Anlage erzeugte magnetische Flussdichte im massgebenden Betriebszustand an Orten mit empfindlicher Nutzung den Anlagegrenzwert, so ist die Phasenbelegung, soweit dies technisch und betrieblich möglich ist, so zu optimieren, dass das Ausmass der Überschreitung minimiert wird.
2 Die Sanierungsfrist nach Artikel 8 Absatz 1 beträgt höchstens drei Jahre.
1 Geänderte alte Anlagen müssen im massgebenden Betriebszustand an Orten mit empfindlicher Nutzung den Anlagegrenzwert einhalten.
2 Der Anlagegrenzwert darf überschritten werden, wenn der Inhaber der Anlage nachweist, dass:
3 Folgende Massnahmen müssen nicht getroffen werden:
4 Die Massnahmen nach Absatz 2 sind so auszuführen, dass im massgebenden Betriebszustand das Ausmass der Überschreitung des Anlagegrenzwerts minimiert wird.
Die Bestimmungen dieser Ziffer gelten für Anlagen zur Transformation von Hoch- auf Niederspannung.
1 Eine Anlage umfasst alle stromführenden Teile einer Transformatorenstation einschliesslich der Niederspannungsverbindungen und des Niederspannungsverteilers.
2 Als Änderung einer Anlage gilt die Erhöhung der Nennleistung.
Als massgebender Betriebszustand gilt der Betrieb mit Nennleistung.
Der Anlagegrenzwert für den Effektivwert der magnetischen Flussdichte beträgt 1 µT.
1 Neue und alte Anlagen müssen im massgebenden Betriebszustand an Orten mit empfindlicher Nutzung den Anlagegrenzwert einhalten.
2 Die Behörde bewilligt Ausnahmen, wenn der Inhaber der Anlage nachweist, dass alle Massnahmen zur Begrenzung der magnetischen Flussdichte, wie die Errichtung an einem anderen Standort oder Abschirmungen, getroffen werden, die technisch und betrieblich möglich und wirtschaftlich tragbar sind.
Die Bestimmungen dieser Ziffer gelten für Anlagen zur Transformation zwischen zwei verschiedenen Hochspannungsebenen sowie für Hochspannungsschaltanlagen.
1 Eine Anlage umfasst:
2 Als Änderung einer Anlage gilt die Erhöhung der Nennleistung oder die Verschiebung oder Erweiterung von Teilen, die unter Hochspannung stehen.
17 SR 742.141.1
1 Als massgebender Betriebszustand gilt der Betrieb mit Nennleistung.
2 Als massgebender Betriebszustand von Anlagen zur Speisung von Fahrleitungsanlagen nach Anhang 4 Buchstabe c EBV gilt die Kombination des Betriebszustands nach Absatz 1 für die Seite der Oberspannung und des Betriebszustands nach Ziffer 53 für die Seite der Unterspannung.
Der Anlagegrenzwert für den Effektivwert der magnetischen Flussdichte beträgt 1 µT.
1 Neue und alte Anlagen müssen im massgebenden Betriebszustand an Orten mit empfindlicher Nutzung den Anlagegrenzwert einhalten.
2 Die Behörde bewilligt Ausnahmen, wenn der Inhaber der Anlage nachweist, dass alle Massnahmen zur Begrenzung der magnetischen Flussdichte, wie die Errichtung an einem anderen Standort oder Abschirmungen, getroffen werden, die technisch und betrieblich möglich und wirtschaftlich tragbar sind.
1 Die Bestimmungen dieser Ziffer gelten für Hausinstallationen nach Artikel 14 des Elektrizitätsgesetzes vom 24. Juni 190218 unter Ausschluss von fest angeschlossenen sowie gesteckten ortsfesten Erzeugnissen.
2 Hausinstallationen sind nach dem anerkannten Stand der Technik so auszuführen, dass die magnetische Flussdichte an den Orten mit empfindlicher Nutzung minimiert wird.
3 Als anerkannter Stand der Technik gelten insbesondere die Vorschriften der Niederspannungs-Installationsnorm (NIN)19.
18 SR 734.0
19 SN 411000:2015
Die Bestimmungen dieser Ziffer gelten für Eisenbahnen, die mit Wechselstrom betrieben werden.
1 Eine Anlage umfasst innerhalb eines zu beurteilenden Streckenabschnitts die Fahrleitungsanlage sowie die Bahnrückstrom- und Erdungsanlage nach Anhang 4 Buchstaben c und d EBV.
2 Als Änderung einer Anlage gilt der Ausbau auf mehr elektrifizierte Streckengleise.
Als massgebender Betriebszustand gilt der vorgesehene Betrieb von Personen- und Güterzügen mit dem dazu erforderlichen, in die Fahrleitung eingespeisten und über 24 Stunden gemittelten Strom.
Der Anlagegrenzwert für den über 24 Stunden gemittelten Effektivwert der magnetischen Flussdichte beträgt 1 µT.
1 Neue Anlagen müssen im massgebenden Betriebszustand an Orten mit empfindlicher Nutzung den Anlagegrenzwert einhalten.
2 Die Behörde bewilligt Ausnahmen, wenn der Inhaber der Anlage nachweist, dass:
Überschreitet die von einer alten Anlage erzeugte magnetische Flussdichte im massgebenden Betriebszustand an Orten mit empfindlicher Nutzung den Anlagegrenzwert, so ist die Anlage mit einem Rückleiter auszurüsten.
1 Geänderte alte Anlagen müssen im massgebenden Betriebszustand folgende Anforderungen erfüllen:
2 Die Behörde bewilligt Ausnahmen, wenn die Voraussetzungen nach Ziffer 55 Absatz 2 erfüllt sind.
1 Die Bestimmungen dieser Ziffer gelten für Sendeanlagen für zellularen Mobilfunk und Sendeanlagen für drahtlose Teilnehmeranschlüsse; ausgenommen sind:
1 Eine Antennengruppe umfasst alle Sendeantennen, die am selben Mast oder an oder auf demselben Gebäude angebracht sind.
2 Antennengruppen, die aus einem engen räumlichen Zusammenhang senden, gelten als eine Anlage, unabhängig davon, in welcher Reihenfolge sie erstellt oder geändert werden.
3 Aus einem engen räumlichen Zusammenhang senden zwei Antennengruppen, wenn sich von jeder der beiden Antennengruppen mindestens eine Sendeantenne im Perimeter der anderen Antennengruppe befindet.
4 Der Perimeter einer Antennengruppe ist die horizontale Fläche aus Kreisen mit Radius r um jede Sendeantenne der Antennengruppe. Der Radius r in Metern beträgt: 
5 Als Änderung einer Anlage gilt:
6 Sendeantennen gelten als adaptiv, wenn ihre Senderichtung oder ihr Antennendiagramm automatisch in kurzen zeitlichen Abständen angepasst wird.
Als massgebender Betriebszustand gilt der maximale Gesprächs- und Datenverkehr bei maximaler Sendeleistung; bei adaptiven Antennen wird die Variabilität der Senderichtungen und der Antennendiagramme berücksichtigt.
Der Anlagegrenzwert für den Effektivwert der elektrischen Feldstärke beträgt:
Neue und alte Anlagen müssen im massgebenden Betriebszustand an Orten mit empfindlicher Nutzung den Anlagegrenzwert einhalten.
1 Die Bestimmungen dieser Ziffer gelten für Sendeanlagen des Rundfunks und übriger Funkanwendungen, die im massgebenden Betriebszustand nach Ziffer 73 insgesamt eine ERP von mehr als 6 W aufweisen und die während mindestens 800 Stunden pro Jahr am gleichen Standort senden.
2 Sie gelten nicht für Funkdienste nach Ziffer 6 und für Richtfunkanlagen.
1 Eine Anlage umfasst alle Sendeantennen, die am selben Mast angebracht sind oder die aus einem engen räumlichen Zusammenhang senden.
2 Als Änderung einer Anlage gilt:
Als massgebender Betriebszustand gilt der Betrieb mit der maximalen Sendeleistung.
Der Anlagegrenzwert für den Effektivwert der elektrischen Feldstärke beträgt:
1 Neue und alte Anlagen müssen im massgebenden Betriebszustand an Orten mit empfindlicher Nutzung den Anlagegrenzwert einhalten.
2 Die Behörde bewilligt Ausnahmen, wenn der Inhaber der Anlage nachweist, dass:
Die Bestimmungen dieser Ziffer gelten für Radarsendeanlagen, die im massgebenden Betriebszustand nach Ziffer 83 insgesamt eine über den Abtastzyklus gemittelte ERP von mehr als 6 W aufweisen und die während mindestens 800 Stunden pro Jahr am gleichen Standort senden.
1 Eine Anlage umfasst alle Radarsendeantennen, die aus einem engen räumlichen Zusammenhang senden.
2 Als Änderung einer Anlage gilt:
Als massgebender Betriebszustand gilt die Überwachung des vorgesehenen Luftraumes mit der maximalen Sendeleistung.
Der Anlagegrenzwert für den Effektivwert der elektrischen Feldstärke beträgt 5,5 V/m, gemessen als Mittelwert während eines vollständigen Abtastzyklus.
1 Neue und alte Anlagen müssen im massgebenden Betriebszustand an Orten mit empfindlicher Nutzung den Anlagegrenzwert einhalten.
2 Die Behörde bewilligt Ausnahmen, wenn der Inhaber der Anlage nachweist, dass:
(Art. 5, 13, 14, 15, 19)
1 Die Immissionsgrenzwerte für den Effektivwert der elektrischen Feldstärke, der magnetischen Feldstärke und der magnetischen Flussdichte betragen:
Frequenz | Immissionsgrenzwert für den Effektivwert der | Mittelungsdauer | ||
elektrischen Feldstärke EG,f (V/m) | magnetischen Feldstärke HG,f (A/m) | magnetischen Flussdichte BG,f (µT) | (Minuten) | |
< 1 Hz | – | 32 000 | 40 000 | –a |
1–8 Hz | 10 000 | 32 000 / f 2 | 40 000 / f 2 | –a |
8–25 Hz | 10 000 | 4000 / f | 5000 / f | –a |
0,025–0,8 kHz | 250 / f | 4 / f | 5 / f | –a |
0,8–3 kHz | 250 / f | 5 | 6,25 | –a |
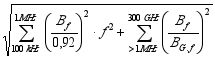
3–100 kHz | 87 | 5 | 6,25 | –a |
100–150 kHz | 87 | 5 | 6,25 | 6 |
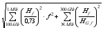
0,15–1 MHz | 87 | 0,73 / f | 0,92 / f | 6 |
1–10 MHz | 87 / | 0,73 / f | 0,92 / f | 6 |
10–400 MHz | 28 | 0,073 | 0,092 | 6 |
400–2000 MHz | 1,375 · | 0,0037 · | 0,0046 · | 6 |
2–10 GHz | 61 | 0,16 | 0,20 | 6 |
10–300 GHz | 61 | 0,16 | 0,20 | 68 / f 1.05 |
Dabei bedeutet f die Frequenz in der in der ersten Tabellenspalte angegebenen Einheit.
|
2 Zusätzlich zu Absatz 1 gelten bei gepulsten Immissionen für den während der Pulsdauer gemittelten Effektivwert der elektrischen Feldstärke, der magnetischen Feldstärke und der magnetischen Flussdichte die folgenden Immissionsgrenzwerte:
Frequenz | Immissionsgrenzwert für den Effektivwert der | Mittelungsdauer | ||
elektrischen Feldstärke EP,f (V/m) | magnetischen Feldstärke HP,f (A/m) | magnetischen Flussdichte BP,f (µT) | ||
10–400 MHz | 900 | 2,3 | 2,9 | Pulsdauer |
400–2000 MHz | 44 · | 0,12 · | 0,15 · | Pulsdauer |
2–300 GHz | 1950 | 5,1 | 6,4 | Pulsdauer |
|
Für Frequenzen zwischen 10 und 110 MHz beträgt der Immissionsgrenzwert für den Effektivwert des über eine Körper-Extremität abgeleiteten elektrischen Stroms 45 mA. Die Mittelungsdauer beträgt 6 Minuten.
Der Immissionsgrenzwert für den Effektivwert des Berührungsstroms beträgt:
Frequenz | Immissionsgrenzwert für den Effektivwert des Berührungsstroms I B,G,f (mA) |
< 2,5 kHz | 0,5 |
2,5–100 kHz | 0,2 f |
0,1–110 MHz | 20 |
|
1 Sind verschiedene Frequenzen gleichzeitig vorhanden, so werden die Immissionen für jede Frequenz einzeln ermittelt.
2 Die so ermittelten Immissionen werden nach Ziffer 22 mit einem frequenzabhängigen Faktor gewichtet und summiert.
3 Der Immissionsgrenzwert für jede der nach Ziffer 22 berechneten Summen beträgt 1.
Ziffer | Frequenzbereich | Physikalische Grösse | Summierungsvorschrift | Mittelungsdauer |
221 | 1 Hz–10 MHz | elektrische Feldstärke |
| –a |
magnetische Feldstärke |
| –a | ||
magnetische Flussdichte |
| –a | ||
222 | 100 kHz–300 GHz | elektrische Feldstärke |
| 6 Minuten |
magnetische Feldstärke |
| 6 Minuten | ||
magnetische Flussdichte |
| 6 Minuten | ||
223 | Zusätzlich bei gepulsten Immissionen | elektrische Feldstärke |
| Pulsdauer |
10 MHz–300 GHz | magnetische Feldstärke |
| Pulsdauer | |
magnetische Flussdichte |
| Pulsdauer | ||
224 | 10 MHz–110 MHz | Körperableitstrom |
| 6 Minuten |
225 | 1 Hz–110 MHz | Berührungsstrom |
| –a |
|
Die Summierung erfolgt jeweils innerhalb des beim Summenzeichen angegebenen Frequenzbereichs über alle Frequenzen f, bei denen Immissionen gleichzeitig vorhanden sind.
Dabei bedeuten:
f Frequenz in MHz
Ef Effektivwert der elektrischen Feldstärke in V/m bei der Frequenz f
EG,f Immissionsgrenzwert für den Effektivwert der elektrischen Feldstärke in V/m bei der Frequenz f nach Ziffer 11 Absatz 1
EP,f Immissionsgrenzwert für den Effektivwert der elektrischen Feldstärke in V/m bei der Frequenz f nach Ziffer 11 Absatz 2
Hf Effektivwert der magnetischen Feldstärke in A/m bei der Frequenz f
HG,f Immissionsgrenzwert für den Effektivwert der magnetischen Feldstärke in A/m bei der Frequenz f nach Ziffer 11 Absatz 1
HP,f Immissionsgrenzwert für den Effektivwert der magnetischen Feldstärke in A/m bei der Frequenz f nach Ziffer 11 Absatz 2
Bf Effektivwert der magnetischen Flussdichte in µT bei der Frequenz f
BG,f Immissionsgrenzwert für den Effektivwert der magnetischen Flussdichte in µT bei der Frequenz f nach Ziffer 11 Absatz 1
BP,f Immissionsgrenzwert für den Effektivwert der magnetischen Flussdichte in µT bei der Frequenz f nach Ziffer 11 Absatz 2
IK,f Effektivwert des über eine Körper-Extremität abgeleiteten elektrischen Stroms in mA bei der Frequenz f
IB,f Effektivwert des Berührungsstroms in mA bei der Frequenz f
IB,G,f Immissionsgrenzwert für den Effektivwert des Berührungsstroms in mA bei der Frequenz f nach Ziffer 13